相关产品推荐更多 >
万千商家帮你免费找货
0 人在求购买到急需产品
- 详细信息
- 文献和实验
- 技术资料
- 库存:
48
- 英文名:
Prostaglandin E3
- CAS号:
802-31-3
- 供应商:
上海莼试
- 保存条件:
Store at -20°C
- 规格:
50μg 100μg 500μg 1mg
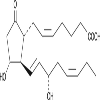
分子式:C20H30O5
分子量:350.5
溶解度:>100 mg/ml (from PGE2) in DMSO, >100 mg/ml (from PGE2) in DMF, >100 mg/ml (from PGE2) in Ethanol
储存条件:Store at -20°C
General tips:For obtaining a higher solubility , please warm the tube at 37 ℃ and shake it in the ultrasonic bath for a while.
Shipping Condition:Evaluation sample solution : ship with blue ice All other available size: ship with RT , or blue ice upon request
Prostaglandin E3 (PGE3) is formed via the cyclooxygenase (COX) metabolism of eicosapentaenoic acid. [1] In human ocular tissue, it comprises 2.4% of the COX products formed. [1] When applied to the eyes of a rabbit, a 1 µg dose of PGE3 decreases intraocular pressure from 21 mmHg to about 17 mmHg.[2]
商品属性:
| 货号 | CS-01Y77147 | 规格 | 50μg 100μg 500μg 1mg |
| CAS号 | 802-31-3 | 分子量 | 350.5 |
| 含量 | >98.00% | 别名 | PGE3 |
| 分子式 | C20H30O5 | 化学名 | 9-oxo-11α,15S-dihydroxy-prosta-5Z,13E,17Z-trien-1-oic acid |
| 产地 | 国产 | 用途 | 仅供科研研究实验 |
抗逆滴加序列
每次向板内滴加抗原时,移液器滴头要与平面45度悬空,不要触碰到孔内的液体,由后向前依次滴加(即浓度由低往高滴加)。
抗感染反应期
抗原抗体在室温20~25℃下,必须反应30min以上,若环境温度低于室温,可将微量反应板置于恒温培养箱中,使二者充分反应。
旅游温度
磷酸盐缓冲液的pH值要在高压灭菌后进行滴定,往往在高压后pH值会有所改变,所以高压后再调一次pH值更为准确。磷酸盐缓冲液一经使用保存期不要超过3周。当pH<5.8时,红细胞会产生自凝现象;当pH>7.8时,图形洗脱加快,易造成肉眼观察产生误差;p H=7.2时,红细胞沉降最充分,图形最清晰。
当滴注 1%红细胞悬液时,应经常摇晃红细胞悬液,使红细胞均匀地分布在磷酸缓冲液中,以防止红细胞下降。
反应时间及温度
加入鸡红血球之后,反应板在室温(20~25℃)静置30~40min,对照孔血球下沉于孔底,即可判定结果。若室温达不到实验要求,需相应调整反应时间。当环境温度低于4℃时,红细胞发生自凝;高于37℃时,会发生反应物分离和红细胞溶血。
公司正在出售的产品:
| Biotinyl-KR-12 (human) | Myristoleic Acid |
| Myristoyl Coenzyme A (hydrate) | β2微球蛋白检测试剂盒 |
| Myrothecine A | β氨基己糖苷酶A检测试剂盒 |
| Myr-ZIP | β淀粉样蛋白1-40检测试剂盒 |
| Myxochelin A | β半乳糖苷酶检测试剂盒 |
| MZ1 | β淀粉样蛋白1-42检测试剂盒 |
| MZP-54 | β干扰素检测试剂盒 |
| MZP-55 | Mouse Pyruvate kinase ELISA Kit,Pyruvate kinase,PK |
| N-(1-(3,4-Dihydroxyphenyl)propan-2-yl)oleamide | α葡萄糖苷酶检测试剂盒 |
| N-(2,6-Dimethylphenyl)-2-(ethylmethylamino)acetamide (hydroc | α谷胱甘肽S转移酶检测试剂盒 |
| N-(2-hydroxyethyl)-Naphthalimide | α干扰素检测试剂盒 |
| N-(2-phenylethyl)-Indomethacin amide | αL岩藻糖苷酶检测试剂盒 |
| N-(3-hydroxy-7-cis tetradecenoyl)-L-Homoserine lactone | Prostaglandin E3αL艾杜糖苷酸酶检测试剂盒 |
| Amylose | α1酸性糖蛋白检测试剂盒 |
| Toll样受2检测试剂盒 | Toll样受4检测试剂盒 |
1.本蛋白酶抑制剂混合物为100×的储存液,使用时按照1:100的比例加入到裂解液中(例如,1ml裂解液中加入10μl蛋白酶抑制剂混合物),混匀后即可使用。根据需要,0.5M的EDTA也按照1:100的比例加入到裂解液中(如用于检测金属蛋白酶活性,则不宜添加EDTA)。含有蛋白酶抑制剂混合物的裂解液宜现用现配,不宜配制后冻存待后续使用。
2. 待所需的抑制剂添加完毕混匀后,就可以开始进行哺乳动物组织的裂解和蛋白提取。
风险提示:丁香通仅作为第三方平台,为商家信息发布提供平台空间。用户咨询产品时请注意保护个人信息及财产安全,合理判断,谨慎选购商品,商家和用户对交易行为负责。对于医疗器械类产品,请先查证核实企业经营资质和医疗器械产品注册证情况。
文献和实验Reconstitution of CHIP E3 Ubiquitin Ligase Activity
CHIP, the carboxyl-terminus of Hsp70 interacting protein, is both an E3 ubiquitin ligase and an Hsp70 co-chaperone and is implicated in the degradation of cytosolic quality control and numerous disease substrates. CHIP has been shown
广泛存在于哺乳动物和人体的一组重要的活性物质。 1930年,尤勒( von Enler)发现,人、猴、羊的精液中存在一种使平滑肌兴奋和血压降低的物质,当时设想此物质可能是由前列腺所分泌,命名为前列腺素。但实际上,前列腺分泌物中所含前列腺活性物质不多,为误称。现证明,精液中前列腺素主要来自精囊,并证明前列腺素是内分泌中的一大类。 前列腺素的化学本质为具 20个碳原子的不饱和脂肪酸。构成 PG的基本骨架为前列烷酸,具一个环五烷核心和两条侧链。根据五元环或整个
Construction of Mutations in the Adenovirus Early Region 3 (E3) Transcription Units
The E3 transcription unit of the well-studied subgroup C adenoviruses (Ad) (prototypic serotypes 2 [Ad2] and 5 [Ad5]) is located between map units 76–86 ( see Fig. 1 ). The E3 region is surrounded by the genes for virion
技术资料暂无技术资料 索取技术资料









