相关产品推荐更多 >
万千商家帮你免费找货
0 人在求购买到急需产品
- 详细信息
- 文献和实验
- 技术资料
- 库存:
999
- 英文名:
CY3-Heparin
- 保质期:
一年
- 供应商:
深圳市魅罗科技有限公司
- 保存条件:
-20°保存
- 规格:
50mg
关键产品信息
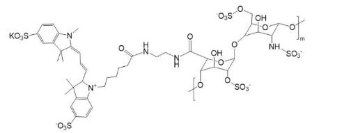
中文名称:花菁染料Cy3-肝素
简称 : CY3-Heparin
品牌: 魅罗科技(MeloPEG)
结构
纯度:95%
注意事项
保持干燥
存储条件
-20℃以下冰冻、干燥
应用
Cy3-Heparin是一种将Cy3(Cyanine3)荧光染料与肝素分子结合的复合物。Cy3是一种广泛使用的荧光标记物,以其明亮的荧光和光稳定性而受到生物医学研究领域的青睐。
Cy3的化学性质
Cy3属于花青染料系列,具有以下特点:
强烈的荧光:Cy3发射鲜明的橙红色荧光,适用于多种荧光成像技术。
高光稳定性:Cy3的荧光稳定,较少受到光漂白的影响,适合长时间的成像研究。
宽波长吸收和发射:Cy3的吸收光谱和发射光谱较宽,使其可以使用多种激发光源进行成像。
Cy3-Heparin的应用
将Cy3标记到肝素上后,可以扩展其在以下领域的应用:
细胞成像:Cy3-Heparin可以用于实时监测和成像肝素在细胞和组织中的分布,提供肝素与细胞相互作用的视觉信息,有助于研究肝素在生物体中的作用和代谢途径。
生物传感器:利用Cy3-Heparin的荧光特性,可以开发用于检测肝素水平和活性的生物传感器,这对于临床监测和治疗中的肝素剂量调整至关重要。
药物递送研究:通过追踪Cy3-Heparin的荧光信号,研究人员可以详细了解药物递送系统中肝素的释放动态和靶向性能,特别是在探索肝素为基础的治疗策略时。
基础研究和教育:在基础科学研究和教学中,Cy3-Heparin可用作工具来揭示和教授肝素的生物学性质及其在人体中的作用
相关目录:
Cy7-Heparin 花菁染料Cy7标记肝素
Cy5-Heparin 花菁染料Cy5标记肝素
Cy5.5-Heparin 花菁染料Cy5.5标记肝素
Cy3-Heparin 花菁染料Cy3标记肝素
FITC-Heparin 荧光素-肝素
RB-Heparin 罗丹明-肝素
风险提示:丁香通仅作为第三方平台,为商家信息发布提供平台空间。用户咨询产品时请注意保护个人信息及财产安全,合理判断,谨慎选购商品,商家和用户对交易行为负责。对于医疗器械类产品,请先查证核实企业经营资质和医疗器械产品注册证情况。
文献和实验动物的肥大细胞合成的粘多糖的一种。原来是从肝中得到的抗凝血的物质。作为医药是由肠粘膜等加工而得到的不含蛋白的制剂,已知在生物体内是和其他粘多糖一样,是以与蛋白结合的蛋白聚糖形态而存在,但不象硫酸软骨素那样的细胞外间质成分,似乎可以说它是细胞内成分。肝素的抑制作用必须有辅助因子(co-factor),但它是靠与蛋白质或其他带正电荷的高分子电解质的结合性而实现的,例如凝血酶和肝素辅因子结合成复合体则起抑制凝固作用。多糖链是由L-艾杜糖醛酸、D-葡萄糖醛酸、D-葡萄糖胺组成,硫酸
Heparin-Induced Thrombocytopenia
Heparin-induced thrombocytopenia (HIT) is caused by platelet-activating immunoglobulin (Ig) G antibodies that recognize multimolecular complexes of platelet factor 4 (PF4) bound to heparin or other polyanions. Most laboratory assays for HIT
2 variants are further subtyped into three categories depending on whether the mutation has its effect on the reactive site (RS), the heparin binding site (HBS) or has multiple or pleiotropic effects (PE). Thus, the last update of the antithrombin database
技术资料暂无技术资料 索取技术资料










