相关产品推荐更多 >
万千商家帮你免费找货
0 人在求购买到急需产品
- 详细信息
- 文献和实验
- 技术资料
- 库存:
999
- 英文名:
CY7-Dextran
- 保质期:
一年
- 供应商:
深圳市魅罗科技有限公司
- 保存条件:
﹣20°保存
- 规格:
50mg
关键产品信息
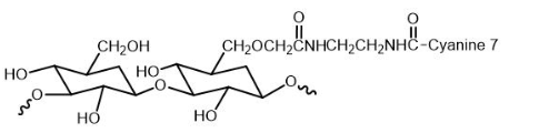
中文名称:花菁染料Cy7-葡聚糖
简称 : CY7-Dextran
品牌: 魅罗科技(MeloPEG)
结构
纯度:95%
荧光波长:750nm-770nm
注意事项
保持干燥
存储条件
-20℃以下冰冻、干燥
应用
Cy7-Dextran(花菁染料Cy7标记葡聚糖)结合了葡聚糖的生物相容性与Cy7这种近红外荧光染料的特性,使其在生物医学和药物递送研究领域中具有独特的应用价值。Cy7染料属于近红外区域,通常具有较高的组织穿透性和低的生物体内自发荧光背景,因此特别适用于体内成像和药代动力学研究。
Cy7-Dextran在药物递送和药代动力学研究中的作用
体内药物追踪
药物递送系统的追踪:Cy7-Dextran可用于实时追踪药物递送系统在体内的分布和积聚。通过近红外成像,研究者可以直观地观察药物载体如何在体内移动,以及它们在特定组织或病灶中的局部化情况。
评估药物释放
控制释放评估:在开发缓释或控释药物递送系统时,Cy7-Dextran可以帮助研究者评估药物从载体中释放的动态过程。这种评估对于优化药物释放曲线和确保治疗效果至关重要。
药代动力学分析
生物分布研究:通过成像Cy7-Dextran的分布,研究者可以获得药物在体内分布的定量数据,包括其在不同器官和组织中的浓度,以及药物如何被吸收、分布、代谢和排泄(ADME)。
靶向递送研究
靶向效果评估:Cy7-Dextran特别适用于评估靶向药物递送系统的效果,尤其是在肿瘤治疗中,可以用来确认药物是否有效靶向肿瘤组织,以及靶向递送的精确性和效率。
肿瘤微环境探究
肿瘤成像:由于Cy7的深组织穿透能力,Cy7-Dextran可以用于研究肿瘤微环境,包括肿瘤血管的形态和功能,以及药物如何在肿瘤中分布和作用。
相关目录:
Cy7-Dextran 花菁染料Cy7标记葡聚糖
Cy5-Dextran 花菁染料Cy5标记葡聚糖
Cy5.5-Dextran 花菁染料Cy5.5标记葡聚糖
Cy3-Dextran 花菁染料Cy3标记葡聚糖
HA-CY5.5 透明质酸-CY5.5
FITC-Dextran 荧光素-葡聚糖
RB-Dextran 罗丹明-葡聚糖
风险提示:丁香通仅作为第三方平台,为商家信息发布提供平台空间。用户咨询产品时请注意保护个人信息及财产安全,合理判断,谨慎选购商品,商家和用户对交易行为负责。对于医疗器械类产品,请先查证核实企业经营资质和医疗器械产品注册证情况。
文献和实验[1]为细菌性多糖之一。是由在蔗糖溶液中培养的细菌 [肠膜明串珠菌( Leuconostoc mesentero-des),葡聚糖明串珠菌( L. dextranicum) ]的葡聚糖蔗糖酶催化下列反应而生成的: n蔗糖→葡聚糖 n果糖。 在氧化葡糖杆菌工业亚种( Gluconobacter ox-ydans subsp. industrius) [以前将含有这种物质的菌称为粘稠醋杆菌( Acetobacter viscosum)和荚膜醋杆菌( A. capsulatum) ]中
DEAE-Dextran Transfection of Mammalian Cultured Cells
DEAE-dextran transfection is one of the oldest chemical, nonviral methods developed to transfer RNA or DNA to cultured mammalian cells (1 ,2 ). Early transfection studies used viral RNA (1 ) and DNA (2 ), which were easy to propagate
Use of Charged PEG and Dextran Derivatives for Biomolecule Partitioning
(PEG)-dextran systems, PEG has been used as the carrier of ion charge (1 ). This molecule has two functional groups-the two terminal hydroxyl groups-that can be used for introducing the charged elements. number of ways to synthesize such derivatives
技术资料暂无技术资料 索取技术资料










