相关产品推荐更多 >
万千商家帮你免费找货
0 人在求购买到急需产品
- 详细信息
- 文献和实验
- 技术资料
- 库存:
60
- 英文名:
ComplanatusideA
- CAS号:
116183-66-5
- 供应商:
帛科
- 保存条件:
2-8°C,避光保存、低温下保存
- 规格:
25mg/支
对照品注意事项:
1、用来做实验的产品的用量应该满足:滴定液为20ml左右,达到对精度的要求;
2、滴定液的判断要求一定要明确严格,并且提供滴定的曲线,如选用指示剂法,应考虑其变色敏锐,并用电位法校准其终点颜色;
3、为排除因加入其它试剂而混入杂质对测定结果的影响,或便于剩余滴定法的计算,可采用“将滴定的结果用空白试验校正”的办法;
4、要给出滴定度(采用四位有效数字)的推导过程。标定结果要根据3个以上实验室各不少于15组测定结果经统计分析,去除离群值和可疑值后的结果,并报告可信限。
商品属性:
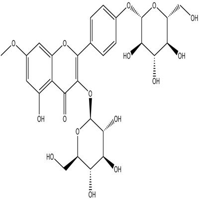
| 产品名称 | 沙苑子苷A分析对照品 | CAS号 | 116183-66-5 |
| 货号 | BK-DZ0659 | 分子量 | 624.55 |
| 分子式 | C28H32O16 | 用途 | 仅供科研实验 |
商品介绍:
中文名:沙苑子苷A分析对照品
中文别称:
英文名:ComplanatusideA
英文别称:
CAS号:116183-66-5
分子式:C28H32O16
分子量:624.55
结构类型:黄酮
溶解性:甲醇、DMSO
对照品的标化:
对照品的质量直接影响到检验样品的结果。因此,对照品的标化十分重要,中国药品生物制品检定所为此制定了严格的标化程序。
首先应根据中国药典或卫生部标准,参考USP,BP,JP等国外 药典,查阅Merk Index等资料 确定对照品的标化项目和检验方法。
1、标化内容包括:
(1)物理常数的测定
1)熔点:依药典方法进行,取三次测定的平均值加温度计的校 正值。熔点现象不易观察的品种加作DSC熔点测定。
2)比旋度:按药典规定的方法测定,空白左右分别测定3次,样 品左右分别测定5次,计算平均值。
3)吸收系数(E: )值:测定时要求平行两份样品,每份样品按两 个浓度(药典浓度±10%)进行测定。
2、纯度考察
重点用薄层色谱法和高效液相色谱法两种方法作“有关物质” 检查:
1)薄层色谱法:要求两个展开系统,显色灵敏度要达到检测量 的0.1% ~0.2%。对照液的点样量为梯度,样品液的点样量为药典量 和药典的加倍量。实验的结果要报出样品的Rf值、杂质的量。当杂 质的量较大时,要用双向展开的方法确定样品是否分解。
2)高效液相色谱法:要求两种流动相或不同型号的两根柱子, 最小检出量要达到检测量的0.1% ,进样量为药典量和药典量的加 倍量,进行二极管阵列检测峰纯度,用归一化法或主成分自身稀释 对照法计算杂质量。
3、含量测定
要求用两种方法测定含量。一般为容量法和色谱法。容量法要 求两人分别测定3~5份。每人的平行实验结果以及两人的实验结 果的相对偏差均应小于0.3%。高效液相色谱法需用3种浓度作校 正因子,精密度要求尼 小于1.5%。若用分光光度法测定含量,必 须用对照品法,E值法只能作参考。含量测定用的化学对照品还要 求作DSC纯度测定。
| 锇suan | DEPC-treated Water |
| 4-甲基-3-溴吡啶 | Cycloheptanone; KetoheptaMethylene; Ketocycloheptane; |
| 3-lv-4-氟ben甲醛 | Cyclooctene |
| S-叔丁基亚磺酰胺 | DesosaMinylazithroMycin |
| 2-溴溴苄 | CyclopropylaMine;CyclopropaMine |
| D-脯氨suan | Dextrin;Starch guM;GoMMelin;LeiocoM;Fortodex;Pyrodextrin;Torrefaction dextrin |
| 5-溴-2-硝基三氟甲ben | GalactosaMine Hydrochloride |
| 5-溴茚酮 | Dibenzofuran |
| 2,5-二溴硝基ben | Cyanoacetic acid;Malonic Mononitrile |
| 4-溴ben甲砜 | Corn Oil (AS) |
| 2,7-二甲氧基萘 | ColistiMethate SodiuM |
| 4-碘吡唑 | Clopidogrel Related CoMpound C;Methyl (-)-(R)-(o-chlorophenyl)-6,7-dihydrothieno[3,2-c]pyridine-5(4H)-acetate, hydrogen sulfate |
| 6-羟基-1-四氢萘酮 | 沙苑子苷A分析对照品116183-66-5Clopidogrel Related CoMpound B;Methyl(+/-)-(o-chlorophenyl)-4,5-dihydrothieno[2,3-c]pyridine-6(7H)-acetate, hydrochloride |
| 醋suan甲脒 | Clopidogrel Related CoMpound A;(S)-(o-chlorophenyl)-6,7-dihydrothieno[3,2-c]pyridine-5(4H)-acetic hydrochloride |
| 2-氟ben胺 | Clopidogrel Bisulfate |
风险提示:丁香通仅作为第三方平台,为商家信息发布提供平台空间。用户咨询产品时请注意保护个人信息及财产安全,合理判断,谨慎选购商品,商家和用户对交易行为负责。对于医疗器械类产品,请先查证核实企业经营资质和医疗器械产品注册证情况。
文献和实验1. 生信分析文章范例解读 最近在检索文献时发现了 10 月有一篇生信文章,做的是关于三阴性乳腺癌中相关 ceRNA 差异表达谱的综合分析,于 2018 年 10 月 11 日发表在《Cellular physiology and biochemistry》杂志上,IF = 5.5。 由于小编就是做三阴性乳腺癌 non-coding RNA 的相关研究,一直都有关注 ceRNA 的研究,类似这篇文章的工作量投稿分数应为 3-5 分,而此文竟然突破 5 分门槛。 仔细阅读发现,原来这篇文章与常规
SPB-50型中等极性柱 醇,香料,咖啡,食品添加剂等。 (键合,50%二苯基,50%二甲基聚硅氧烷) 对照品牌:HP-50,HP-17,DB-17,RTx-50,AT-50 SPB-5型弱极性柱 类似固定相:OV-17,SP-2250,使用温度:30℃-310℃ (键合,5%苯基,95%甲基聚硅氧烷) 应用范围:烷烃,低沸点芳烃,多环芳烃,醇,甘 对照品牌:HP-5,DB-5,BP-5,CP-SIL
使用温度:60℃-200℃ 游离脂肪酸分析,分析酸性物质和多醇的效果比FFAP好 八、 PTE-5,PTE-5QTM型弱极性柱(MS专用柱,键合,5%苯基,95%甲基聚硅氧烷) 使用温度:-60℃-320℃ 对照品牌:HP-5MS,DB-5MS,DB-5.625,XTI-5,BPX625 半挥发污染物分析柱(US EPA方法525,625.5,625) 应用范围:多氯联苯,胺
技术资料暂无技术资料 索取技术资料









