相关产品推荐更多 >
万千商家帮你免费找货
0 人在求购买到急需产品
- 详细信息
- 文献和实验
- 技术资料
- 库存:
47
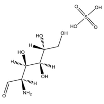
- 英文名:
Glucosamine sulfate
- CAS号:
29031-19-4
- 供应商:
上海莼试
- 规格:
20mg
| 货号 | CS-01Y64156 | 规格 | 20mg |
| CAS号 | 29031-19-4 | 分子量 | 277.25 |
| 含量 | >98.00% | 别名 | |
| 分子式 | 化学名 | (2R,3R,4S,5R)-2-amino-3,4,5,6-tetrahydroxyhexanal sulfate | |
| 产地 | 国产 | 用途 | 仅供科研研究实验 |
分子式:
分子量:277.25
溶解度:
储存条件:
General tips:For obtaining a higher solubility , please warm the tube at 37 ℃ and shake it in the ultrasonic bath for a while.
Shipping Condition:Evaluation sample solution : ship with blue ice All other available size: ship with RT , or blue ice upon request
Extracted from synthetic product;Store the product in sealed, cool and dry condition
注意事项:
抗逆滴加序列
每次向板内滴加抗原时,移液器滴头要与平面45度悬空,不要触碰到孔内的液体,由后向前依次滴加(即浓度由低往高滴加)。
抗感染反应期
抗原抗体在室温20~25℃下,必须反应30min以上,若环境温度低于室温,可将微量反应板置于恒温培养箱中,使二者充分反应。
旅游温度
磷酸盐缓冲液的pH值要在高压灭菌后进行滴定,往往在高压后pH值会有所改变,所以高压后再调一次pH值更为准确。磷酸盐缓冲液一经使用保存期不要超过3周。当pH<5.8时,红细胞会产生自凝现象;当pH>7.8时,图形洗脱加快,易造成肉眼观察产生误差;p H=7.2时,红细胞沉降最充分,图形最清晰。
当滴注 1%红细胞悬液时,应经常摇晃红细胞悬液,使红细胞均匀地分布在磷酸缓冲液中,以防止红细胞下降。
反应时间及温度
加入鸡红血球之后,反应板在室温(20~25℃)静置30~40min,对照孔血球下沉于孔底,即可判定结果。若室温达不到实验要求,需相应调整反应时间。当环境温度低于4℃时,红细胞发生自凝;高于37℃时,会发生反应物分离和红细胞溶血。
使用方法:
1.本蛋白酶抑制剂混合物为100×的储存液,使用时按照1:100的比例加入到裂解液中(例如,1ml裂解液中加入10μl蛋白酶抑制剂混合物),混匀后即可使用。根据需要,0.5M的EDTA也按照1:100的比例加入到裂解液中(如用于检测金属蛋白酶活性,则不宜添加EDTA)。含有蛋白酶抑制剂混合物的裂解液宜现用现配,不宜配制后冻存待后续使用。
2. 待所需的抑制剂添加完毕混匀后,就可以开始进行哺乳动物组织的裂解和蛋白提取。
公司正在出售的产品:
| H-Cys(tBu)-OH.HCl | Ac-Gly-OH |
| Fmoc-3-(2-Pyridyl)-D-Alanine | 人活化凝血因子XELISA试剂盒 |
| H-Tyr(tBu)-OH | 人活性依赖性神经保护因子ELISA试剂盒 |
| m-NH2-Tyr-OH.2HCl | 人肌钙蛋白IELISA试剂盒 |
| Boc-Orn(2-Cl-Z)-OH | 人饥饿素ELISA试剂盒 |
| 5-Ethyltio-1H-Tetrazole | 人肌钙蛋白TELISA试剂盒 |
| H-Alaninol | 人肌腱蛋白RELISA试剂盒 |
| Fmoc-Tyr(3,5-I2)-OH | 人肌球蛋白轻链激酶ELISA试剂盒 |
| Fmoc-Met-OH | 人活化凝血因子ⅫELISA试剂盒 |
| Fmoc-Phe-Wang resin | 人活化蛋白CELISA试剂盒 |
| 3-Tritylmercapto-Propionicacid | 人黄嘌呤氧化酶ELISA试剂盒 |
| DCC | 人黄嘌呤脱氢酶ELISA试剂盒 |
| H-Isoleucinol | Glucosamine sulfate人缓激肽ELISA试剂盒 |
| Ansatrienin B | 人环磷酸腺苷ELISA试剂盒 |
| 人CD44分子ELISA试剂盒 | 人环磷酸鸟苷ELISA试剂盒 |
风险提示:丁香通仅作为第三方平台,为商家信息发布提供平台空间。用户咨询产品时请注意保护个人信息及财产安全,合理判断,谨慎选购商品,商家和用户对交易行为负责。对于医疗器械类产品,请先查证核实企业经营资质和医疗器械产品注册证情况。
文献和实验代表性的氨基糖。为己糖胺的一种。自然界中的 D型主要以 N-乙酰葡糖胺的形态存在于几丁质、粘液多糖、糖蛋白质、糖脂质和细菌的细胞壁的胞壁质( murein),脂多糖中,作为复合多糖的组成糖分布最广。化学系统称为α -氨基 -2-去氧 -D-葡萄糖。肝素中含有 N-硫酸比 D-葡糖胺。链霉素中含有 N-甲基 -L-葡糖胺。从 D-葡萄糖,经 6-磷酸果糖,再藉谷氨酰胺的转氨基反应,生物合成 6-磷酸葡糖胺。该转移反应受抗生
Glucosamine Rapid Assay MRTHOD: Place sample (containing 0.5 - 10 µg GlcN) in a Pyrex screw capped tube. Add HCl to a final concentration of 2N and a final volume of 0.6 ml. Flush with nitrogen. Stopper
Metabolic Labeling with Sulfate
of proteins make it possible to determine where a protein normally resides or to follow its transport through the cell. One such modification is addition of sulfate either to tyrosine residues or to carbohydrate side chains. Labeling studies with [35 S
技术资料暂无技术资料 索取技术资料









