相关产品推荐更多 >
万千商家帮你免费找货
0 人在求购买到急需产品
- 详细信息
- 文献和实验
- 技术资料
- 库存:
999
- 英文名:
Heparin-PLA
- 保质期:
一年
- 供应商:
深圳市魅罗科技有限公司
- 保存条件:
-20°保存
- 规格:
50mg
关键产品信息
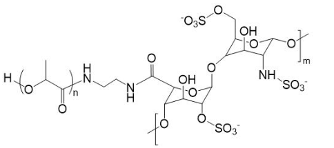
中文名称:肝素-聚乳酸
简称 : Heparin-PLA
品牌: 魅罗科技(MeloPEG)
结构
纯度:95%
注意事项
保持干燥
存储条件
-20℃以下冰冻、干燥
应用
Heparin-PLA(肝素-聚乳酸)复合材料在靶向治疗和诊断领域具有特殊的应用潜力,主要得益于肝素的生物活性和聚乳酸的生物可降解性。这些特性使得Heparin-PLA不仅适用于药物递送,也适合用于精准医学和生物医学成像。
靶向治疗应用
药物递送:
肝素的靶向能力:肝素能够结合多种细胞表面的特定受体和生长因子,如纤维蛋白溶酶原激活剂和血管内皮生长因子(VEGF)。这使得Heparin-PLA可以被用来靶向特定的病理状态,如肿瘤或炎症区域,增强药物递送系统的选择性和效率。
药物的控制释放:PLA的生物降解性允许药物按照设计的速率缓慢释放,提供持续的疗效。这在长期治疗中尤为重要,如癌症化疗或慢性疾病管理。
疾病特异性治疗: 利用肝素与特定分子的相互作用,可以设计Heparin-PLA系统针对特定的细胞类型或生物标记物。例如,在肿瘤治疗中,可以通过靶向促进肿瘤生长的特定生长因子来抑制肿瘤发展。
诊断应用
成像和标记:
载体功能:Heparin-PLA可以用作载带诊断剂(如放射性标记物或荧光染料)的基质,使其能够靶向特定的病理组织或生物过程。这种载体的使用可以提高成像技术的敏感性和特异性,如在炎症或癌症的早期检测中。
生物医学成像:肝素的自然亲和力可以被利用来增强成像剂的靶向能力,尤其是在血管病变或血管增生活跃的病理状态中。
生物传感器: Heparin-PLA可以用于开发生物传感器,这些传感器能够识别和报告特定的生物标记物或病理变化。例如,可以检测血液中的特定酶或蛋白质水平,用于疾病诊断或治疗监测。
相关目录:
Heparin-PLA 肝素-聚乳酸
PDLLA-OH 羟基封端外消旋聚乳酸
PLLA-OH 羟基封端左旋聚乳酸
PDLLA-COOH 羧基封端外消旋聚乳酸
PLLA-COOH 羧基封端左旋聚乳酸
Heparin-PEG-Alkyne 肝素-聚乙二醇-炔基
Heparin-PEG-PCL 肝素-聚乙二醇-聚己内酯
风险提示:丁香通仅作为第三方平台,为商家信息发布提供平台空间。用户咨询产品时请注意保护个人信息及财产安全,合理判断,谨慎选购商品,商家和用户对交易行为负责。对于医疗器械类产品,请先查证核实企业经营资质和医疗器械产品注册证情况。
文献和实验动物的肥大细胞合成的粘多糖的一种。原来是从肝中得到的抗凝血的物质。作为医药是由肠粘膜等加工而得到的不含蛋白的制剂,已知在生物体内是和其他粘多糖一样,是以与蛋白结合的蛋白聚糖形态而存在,但不象硫酸软骨素那样的细胞外间质成分,似乎可以说它是细胞内成分。肝素的抑制作用必须有辅助因子(co-factor),但它是靠与蛋白质或其他带正电荷的高分子电解质的结合性而实现的,例如凝血酶和肝素辅因子结合成复合体则起抑制凝固作用。多糖链是由L-艾杜糖醛酸、D-葡萄糖醛酸、D-葡萄糖胺组成,硫酸
PLA技术全称为Proximity Ligation Assay,国内译为邻位连接或者邻近连接技术。PLA技术是一种特殊的免疫分析方法,可用于检测目标蛋白,蛋白相互作用等等。该方法通过一对标记有一段寡聚脱氧核苷酸(单链DNA)的单克隆或者多克隆抗体的探针,即PLA probe(探针),识别目的蛋白,当这两个探针识别同一个蛋白时,两个探针之间的距离靠近,产生了所谓的邻近效应(proximity)。此时,通过加入一段分别与连接在抗体上的DNA互补的连接寡聚脱氧核苷酸(connector
Cetyltrimethylammoniumbromide(CTAB)Pla
Procedure 1. Grind 2 to 5 g of frozen leaves to a very fine powder with a liquid
技术资料暂无技术资料 索取技术资料










