相关产品推荐更多 >
万千商家帮你免费找货
0 人在求购买到急需产品
- 详细信息
- 技术资料
- 库存:
999
- 英文名:
Heparin-PEG-PLA
- 保质期:
一年
- 供应商:
深圳市魅罗科技有限公司
- 保存条件:
-20°保存
- 规格:
50mg
关键产品信息
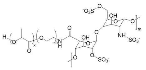
中文名称: 肝素-聚乙二醇-聚乳酸
简称 : Heparin-PEG-PLA
品牌: 魅罗科技(MeloPEG)
结构
纯度:95%
PEG分子量: 1K/2K/3.4K/5K/10K
注意事项
保持干燥
存储条件
-20℃以下冰冻、干燥
应用
Heparin-PEG-PLA可以用来制备纳米颗粒或微球,用于包裹和递送药物,特别是在需要控制释放药物的情况下。PLA提供了药物递送系统的结构框架,而肝素和PEG的结合可以提高治疗剂的靶向性和生物可用性。
下面详细介绍这种材料的主要应用:
1. 药物递送
控制释放系统:Heparin-PEG-PLA纳米颗粒可以设计为具有控制释放特性的药物载体。这些系统可以逐渐释放药物,维持治疗所需的药物浓度,从而优化疗效并减少副作用。例如,用于化疗药物递送的纳米颗粒能够在肿瘤组织中缓慢释放药物,减少对正常细胞的毒性。
靶向治疗:由于肝素的能力与多种细胞类型的特定受体(如肿瘤细胞的特定表面蛋白)结合,Heparin-PEG-PLA纳米颗粒可以被用作靶向药物递送系统,特别是在癌症治疗中。这种靶向性有助于提高药物的治疗效率和减少系统性副作用。
2. 组织工程与再生医学
支架材料:在组织工程中,Heparin-PEG-PLA可以用作生物降解支架,促进细胞生长和组织再生。肝素的抗凝和生长因子结合能力可以促进新血管的形成和细胞迁移,从而加速伤口愈合和组织修复。
细胞载体:纳米颗粒和微球可以作为细胞治疗的载体,用于运送干细胞或其他再生细胞至损伤或病变部位。
3. 成像和诊断
诊断标记:Heparin-PEG-PLA纳米颗粒可以被用来载带成像剂,如磁共振成像(MRI)对比剂或荧光标记,提供更精确的疾病诊断和病变监测。这些纳米颗粒可以通过靶向特定的生物标记物来增强成像质量。
4. 靶向和响应性系统
环境敏感系统:Heparin-PEG-PLA纳米颗粒可以设计为对环境变化敏感,如pH敏感或温度敏感,使得药物释放在特定的生理条件下触发。这对于治疗炎症性疾病或肿瘤特别有价值,因为这些病变区域的微环境通常具有独特的化学或物理特性。
相关目录:
Heparin-PEG-PLA 肝素-聚乙二醇-聚乳酸
Heparin-PEG-PLGA 肝素-聚乙二醇-聚乳酸-羟基乙酸共聚物
Heparin-PEG-PCL 肝素-聚乙二醇-聚己内酯
PLA-PEG-NHS 聚乳酸-聚乙二醇-活性酯
PLA-PEG-PBA 聚乳酸-聚乙二醇-苯硼酸
PLA-PEG-N3 聚乳酸-聚乙二醇-叠氮
风险提示:丁香通仅作为第三方平台,为商家信息发布提供平台空间。用户咨询产品时请注意保护个人信息及财产安全,合理判断,谨慎选购商品,商家和用户对交易行为负责。对于医疗器械类产品,请先查证核实企业经营资质和医疗器械产品注册证情况。
技术资料暂无技术资料 索取技术资料










