万千商家帮你免费找货
0 人在求购买到急需产品
- 详细信息
- 文献和实验
- 技术资料
- 库存:
大量
- 供应商:
北京百奥创新科技有限公司
- 规格:
5mL;50mL;1L
肼活化磁性琼脂糖磁珠
产品名称:肼活化磁性琼脂糖磁珠英文名称:Hydrazide-activated SepFast MAG 4HF
Product Introduction:
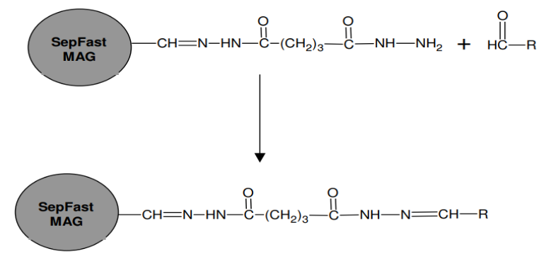
Hydrazide activated SepFast MAG is a magnetic agarose resin that is particularly useful for making glycoprotein-attached magnetic adsorbents.
Hydrazide-activated agarose permits the coupling of aldehyde- or ketone-containing ligands through the formation of stable hydrazone linkages. It is a particularly powerful way to immobilize glycoproteins via their carbohydrate chains while leaving critical active sites intact. It is a method called “site-directed immobilization”. For example, antibodies can be immobilized to an agarose solid support through a linkage to their glycosylated side chain that leaves their Fab region free for antigen binding.
Glycoproteins can be readily oxidized with sodium periodate to generate formyl groups on their carbohydrate chains before the coupling reaction with Hydrazide-activated SepFast MAG. It is a successful and well-documented technique. The coupling reaction is mild and easy to carry out. No toxic chemical or special equipment is required.
Hydrazide-activated SepFast MAG resins can be readily employed to make custom affinity chromatography media for both small scale and large scale purification applications.

Product Properties:
Hydrazide activated SepFast MAG 4HF is made of highly cross-linked 4% agarose containing magnetic material. It shows high mechanical rigidity and high chemical stability for harsher operational conditions.
Agarose has long been used for chromatographic separations due to its excellent hydrophilic and low non-specific-binding nature. The particles have an open pore structure with excellent mass transfer properties to large protein molecules.
The base matrix is activated with hydrazide through a long hydrophilic spacer arm. Hydrazideactivated SepFast MAG media is supplied as an aqueous suspension.
Product Series:
风险提示:丁香通仅作为第三方平台,为商家信息发布提供平台空间。用户咨询产品时请注意保护个人信息及财产安全,合理判断,谨慎选购商品,商家和用户对交易行为负责。对于医疗器械类产品,请先查证核实企业经营资质和医疗器械产品注册证情况。
文献和实验S.L. Lim, H.W. Ng, M.A. Akwiditya, C.W. Ooi, E.S. Chan, K.L. Ho, W.S. Tan, G.K. Chua, B.T. Tey, Single-step purification of recombinant hepatitis B core antigen Y132A dimer from clarified Escherichia coli feedstock using a packed bed anion exchange chromatography, Process Biochemistry, 2018, 69:208-215.
后,将EP管置于磁性分离架上,去除上清,加入封闭液,此时,磁珠的终浓度为5mg/mL,同样置于37℃环境旋转混匀反应1h。 2.5. 封闭完成后,重复2.2步骤,最后将磁珠用保存液保存,此时磁珠的浓度可自定。 三、羧基磁性微球偶联抗体 1. 偶联条件 1.1. 活化剂:EDC和NHS 1.2. 反应温度:37℃环境 1.3. 反应时间: 1.3.1.活化时间:30min 1.3.2.偶联时间:2h
的不同可以将免疫磁性细胞分选分为直接分选法和间接分选法。 直接分选法是指将抗体或者亲和配体直接包被在磁性颗粒上,形成免疫磁性复合微粒,将其与多细胞悬液混合孵育之后,目的细胞会特异性的结合在免疫磁珠上,在外加磁场作用下,带有磁珠的目的细胞会滞留在磁场中,而非目的细胞则会被去除。 间接分选法分选细胞引入了二抗,即将目的细胞首先与对应的一抗孵育,激活细胞,之后清洗出去未结合的一抗,然后加入预先包被有二抗的磁性颗粒与活化后的细胞孵育,一抗与二抗之间的相互作用会导致磁粒结合在目的细胞上,同样在磁场作用下滞留
技术丨化学发光免疫分析中羧基与Tosyl磁珠包被抗体方法及注意事项
化学发光免疫分析与磁珠 化学发光免疫分析(chemiluminescence immunoassay,CLIA),是具有高灵敏度的化学发光测定技术与高特异性的免疫反应相结合,通过抗原抗体的免疫反应检测各项标志物的免疫分析技术。该技术广泛用于传染病,心脏疾病,肿瘤,妊娠检测等领域。是现阶段体外诊断领域最主流的技术和趋势。磁性微粒(磁珠)是化学发光免疫分析中的一种重要原料。常用磁珠主要是粒径1-3um,修饰了羧基、甲苯磺酰基或者链霉亲和素的免疫磁珠。今天小编就以JSR磁珠为例,为大家介绍一下







