相关产品推荐更多 >
万千商家帮你免费找货
0 人在求购买到急需产品
- 详细信息
- 文献和实验
- 技术资料
- 库存:
200
- 英文名:
DiOC6(3)
- 保质期:
2年
- 供应商:
优利科(上海)生命科学有限公司
- 保存条件:
-20℃
- 规格:
20mg
DiOC6(3)膜电位荧光探针
产品规格:20mg
应用范围:膜电位染色
储存条件:-20℃避光保存,有效期见外包装。
推荐仪器:流式细胞仪、荧光显微镜
产品参数
外观:可溶于 DMSO 或 DMF 的橘红色固体
Ex/Em (MeOH):482/497 nm
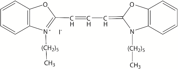
CAS 号:53213-82-4
分子式:C29H37IN2O2
分子量:572.5
分子结构图:

产品介绍
DiOC6(3) 是一种细胞渗透性绿色荧光亲脂染料,也是一种被广泛应用的膜电位染料。在低浓度时,DiOC6(3) 对活细胞内的线粒体染色具有选择性;在高浓度时,该染料可以在活细胞或固定的细胞中染色其他细胞器内膜,如内质网等。此外,DiOC6(3) 也被用来研究神经元或酵母中内质网结构的相互作用和动力学。


注意事项
1. 荧光染料均存在淬灭问题,请尽量注意避光,以减缓荧光淬灭。
2. 为了您的安全和健康,请穿实验服并戴一次性手套操作。
3. 产品仅供科研。
DiOC6(3)膜电位荧光探针相关产品
| NerveGreenTM C4 | 5 mg |
| NM4-64 | 1 mg |
| NerveRedTM C2 | 5 × 1 mg |
| Fluo-3, AM ester(钙离子荧光探针, 2mM) | 50 μL |
| Fluo-4, AM ester(钙离子荧光探针) | 50 µg |
| Fluo-4, AM ester(钙离子荧光探针, 2mM) | 50 μL |
| Furaptra(Mag-Fura-2), 四钠盐 | 1 mg |
| BCECF, AM ester(pH荧光探针) | 1 mg |
| BCECF AM(pH荧光探针, 5mM) | 50 μL |
| MQAE | 50 mg |
| H2DCFDA(DCFH-DA)活性氧荧光探针 | 50 mg |
| ROS荧光探针-DHE | 1 mL |
| Dihydroethidium(Hydroethidine,二氢乙锭) | 5 mg |
| D-Luciferin, Sodium Salt(D-荧光素钠盐) | 10 mg |
| D-Luciferin, Sodium Salt(D-荧光素钠盐) | 500 mg |
风险提示:丁香通仅作为第三方平台,为商家信息发布提供平台空间。用户咨询产品时请注意保护个人信息及财产安全,合理判断,谨慎选购商品,商家和用户对交易行为负责。对于医疗器械类产品,请先查证核实企业经营资质和医疗器械产品注册证情况。
文献和实验线粒体跨膜电位DYmt的下降,被认为是细胞凋亡级联反应过程中最早发生的事件,它发生在细胞核凋亡特征(染色质浓缩、DNA断裂)出现之前,一旦线粒体DYmt崩溃,则细胞凋亡不可逆转。 线粒体跨膜电位的存在,使一些亲脂性阳离子荧光染料如Rhodamine 123、3,3-Dihexyloxacarbocyanine iodide[DiOC6(3)]、Tetrechloro-tetraethylbenzimidazol carbocyanine iodide[JC-1]、Tetramethyl
线粒体荧光探针大全:TMRM,Mitotracker,JC-1
线粒体荧光探针信息大全 (Probes for Mitochondria)包括各种常用探针,如JC-1,JC-9,TMRM,TMRE等 Mitochondria are found in eukaryotic cells, where they make up as much as 10% of the cell volume. They are pleomorphic organelles with structural variations depending on cell type
,如为获得单独的DNA或RNA分布,染色前可用RNA酶或DNA酶处理细胞。PI不能进入完整的细胞膜,故不能标记活细胞内的DNA和RNA。 3. 膜电位 以往测定膜电位多用微电极直接插入法测量,不仅操作麻烦,而且对细胞也是一种损伤。共聚焦激光扫描显微镜则可利用荧光探针在细胞膜内外分布的差异测出膜电位,不但可以观察细胞膜电位的变化结果,更重要的是可以用于连续监测膜电位的迅速变化。膜电位荧光探针根据其对膜电位变化反应速度的快慢分为快、慢两类探针,各类均有10多种。DiBAC4(3)为最常用的膜电位荧光探针
技术资料







