相关产品推荐更多 >
万千商家帮你免费找货
0 人在求购买到急需产品
- 详细信息
- 文献和实验
- 技术资料
- 库存:
100
- 英文名:
Ethidium Homodimer-I
- 保质期:
2年
- 供应商:
优利科(上海)生命科学有限公司
- 保存条件:
4℃避光保存
- 规格:
1mg
Ethidium Homodimer-I (溴乙啡锭二聚体I,EthD-I)
产品规格:1mg
应用范围:细胞核染色
储存条件:4℃避光保存,有效期见外包装。
推荐仪器:荧光显微镜
产品参数
外观:可溶于DMSO和MeOH的红色固体
Ex/Em (结合DNA)= 528/617 nm
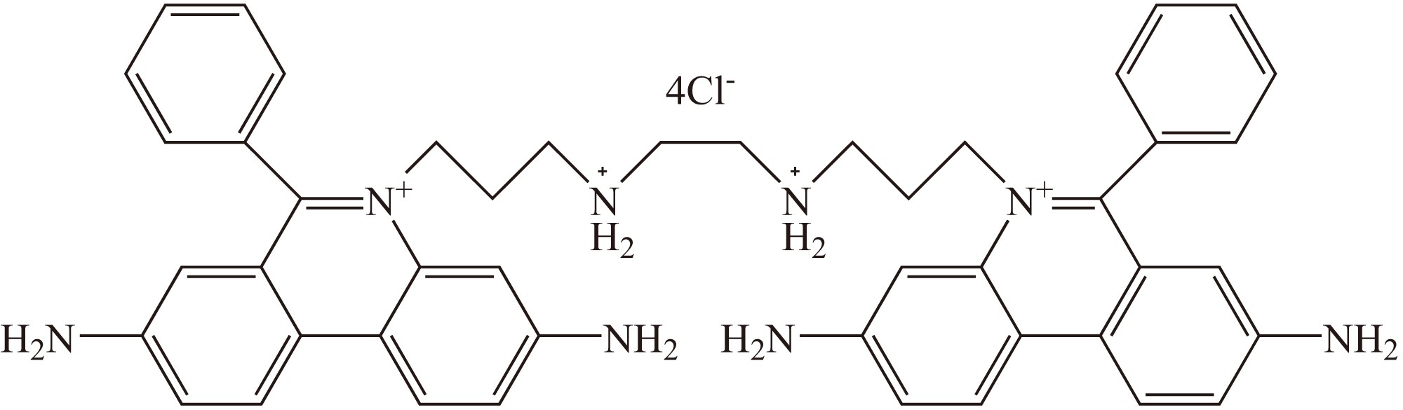
CAS号:61926-22-5
分子式:C46H50Cl4N8
分子量:856.8
分子结构图:

产品介绍
Ethidium Homodimer-I (EthD-I)是一种高亲和性的荧光核酸染料,与DNA或RNA结合后,可以使荧光增强30多倍。用于哺乳动物、细菌、酵母和真菌的染色。EthD-I带有较强正电荷,所以该染料不能穿过细胞膜进行活细胞染色,但是能穿过死细胞膜的无序区域而到达细胞核并且嵌入DNA双链从而产生红色荧光。因此EthD-I可以准确的检测溶液中的核酸或者解体细胞中的核酸,是一种较灵敏的核酸染色剂。
以贴壁细胞(盖玻片)举例,每个样本100 μL染色工作液,染色工作液浓度4 μM计算,1 mg配置为工作液大概可以用于2917个样本。


注意事项
1. 使用前请将产品瞬时离心至管底,再进行后续实验。
2. 荧光染料均存在淬灭问题,请尽量注意避光,以减缓荧光淬灭。
3. 为了您的安全和健康,请穿实验服并戴一次性手套操作。
4. 产品仅供科研。
风险提示:丁香通仅作为第三方平台,为商家信息发布提供平台空间。用户咨询产品时请注意保护个人信息及财产安全,合理判断,谨慎选购商品,商家和用户对交易行为负责。对于医疗器械类产品,请先查证核实企业经营资质和医疗器械产品注册证情况。
文献和实验的菲啶类探针,溴乙锭可结合单链(ssDNA)、双链及多链DNA,与核酸结合后,荧光增强20~30 倍,激发波长红移30~40nm,发射波长发生蓝移,Stokes 位移较大。双嵌入剂乙锭均二聚物(Ethidium homodimer,EthD)的嵌入部分使染料分子与DNA 之间形成十分牢固的亲和力,连接常数约1011(溴乙锭仅为105),同时对三链DNA 有高亲和作用,因而更利于应用到抗体、抗癌药物的基因水平的研究。Gherghi 等[10]用汞滴电极研究了溴乙锭、吖啶橙与dsDNA 的作用,结果显示
Externalization(磷脂酰丝氨酸外翻):Annexin V-FITC(绿色)染细胞膜,(3)检测线粒体产生的ROS:无荧光的HE(hydroethidine,氢化乙啶)可被ROS氧化为EthBr(ethidium bromide,溴乙啡啶),发红色荧光。NAO(nonyl acridine orange,烷化吖啶橙,可发荧光)能与非氧化的cardiolipin(心磷脂,可被ROS氧化)反应而失去荧光。 (4)线粒体IMS蛋白的释放:AIF,细胞色素c,分别用荧光二抗染色。 (5)Capase
Externalization(磷脂酰丝氨酸外翻):Annexin V-FITC(绿色)染细胞膜,(3)检测线粒体产生的ROS:无荧光的HE(hydroethidine,氢化乙啶)可被ROS氧化为 EthBr(ethidium bromide,溴乙啡啶),发红色荧光。NAO(nonyl acridine orange,烷化吖啶橙,可发荧光)能与非氧化的cardiolipin(心磷脂,可被ROS氧化)反应而失去荧光。 (4)线粒体IMS蛋白的释放:AIF,细胞色素c,分别用荧光二抗染色。 (5)Capase 3a 染色
技术资料






