相关产品推荐更多 >
万千商家帮你免费找货
0 人在求购买到急需产品
- 详细信息
- 文献和实验
- 技术资料
- 库存:
100
- 英文名:
DRAQ7
- 保质期:
2年
- 供应商:
优利科(上海)生命科学有限公司
- 保存条件:
-20℃
- 规格:
1mg
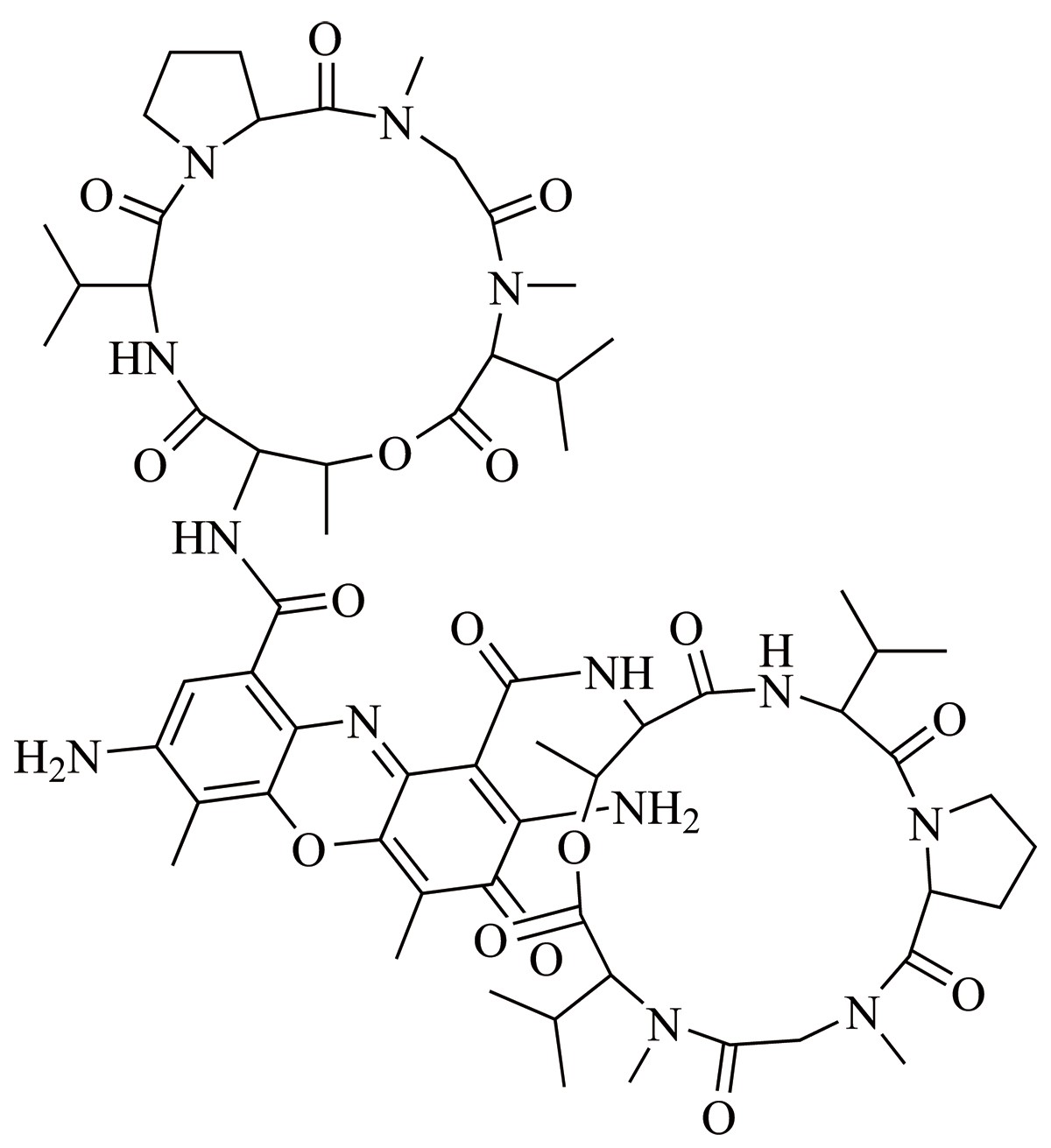
7-AAD(7-氨基放线/菌素D)
产品规格:1mg
应用范围:细胞核染色
储存条件:-20℃避光保存,有效期见外包装。
推荐仪器:流式细胞仪、荧光显微镜
产品参数
产品外观:可溶于DMSO和水的红色固体
分子式:C62H87N13O16
分子量:1270.5
Ex/Em:546/647 nm
CAS号:7240-37-1
分子结构图:

产品介绍
7-AAD是一种非渗透性的核酸荧光染料。该染料不能透过活细胞的细胞膜,但可穿透膜损伤细胞如晚期凋亡细胞或者坏死细胞的细胞膜并与其内的DNA结合,可用来区分存活的早期细胞和坏死或晚期凋亡细胞,广泛用于流式细胞仪。
7-AAD与DNA结合后可发出强烈的荧光,其荧光特性与PI相似,可被488 nm氩离子激光激发,但其发射光谱较PI窄,且发射波长更长,对其他检测通道的干扰更小,在多色荧光分析中是PI的最佳替代品,可与多种488激发光激发的荧光染料联合使用,如FITC,PE等。
以贴壁细胞(盖玻片)举例,每个样本100 μL染色工作液(10 μM),1 mg配置的工作液大概可以用于787个样本。


注意事项
1. 使用前请将产品瞬时离心至管底,再进行后续实验。
2. 本产品为冻干粉形式,微量不易观察,使用前请瞬时离心,加适当溶剂溶解后使用,溶解后的溶液近乎透明色。
3. 产品仅供科研。
风险提示:丁香通仅作为第三方平台,为商家信息发布提供平台空间。用户咨询产品时请注意保护个人信息及财产安全,合理判断,谨慎选购商品,商家和用户对交易行为负责。对于医疗器械类产品,请先查证核实企业经营资质和医疗器械产品注册证情况。
文献和实验Adv Sci∣周祥团队合作揭示通过工程化外泌体诱导肿瘤细胞核仁应激的分子机制与策略
细胞,肿瘤细胞的核糖体生物合成更加活跃,这是为了满足它们快速生长和增殖的需求。因此,靶向核仁(核糖体合成的主要场所)蛋白被认为是一种有潜力的精准治疗策略。然而,目前已知的能够靶向核仁的小分子,如 CX-5461、BMH-21 和放线菌素 D 等,都难以避免地会引起 DNA 损伤等非特异性效应。为了能够特异性靶向肿瘤细胞中的 BRIX1 并诱导核仁应激,研究人员通过基因工程策略将肿瘤靶向肽 iRGD 整合到外泌体膜表面,并将靶向 BRIX1 的 siRNA 装载至外泌体内部。这种工程化外泌体能够较为特异
基本原理 TNF的生物学活性之一是能直接杀伤肿瘤细胞。TNF与相应受体结合后向细胞内移,被靶细胞溶酶体摄取导致溶酶体稳定性降低,各种酶外泄,引起细胞溶解。肿瘤细胞株对TNF-α的敏感性有很大的差异,用放线菌素D、丝裂酶素C、放线菌酮等处理肿瘤细胞,可明显增强TNF-α杀伤肿瘤细胞活性。 材料和试剂 1,完全培养基(1)10%FCS-DMEM培养液(V/V)。 2,完全培养基(2)3%FCS-DMEM培养液(V/V)0.5-1μg/ml放线菌素-D。 3,0.05%结晶
酰胺溶液的方法处理,但加热溶解后应以蒸馏水补足至终体积为1L。 【注意】 见上述配制30%丙烯酰胺的说明,40%丙烯酰胺溶液用于DNA序列测定。 3 .放线菌素 D 溶液 【配制方法】 把20mg放线菌素D溶解于4ml 100%乙醇中,1:10稀释贮存液,用100%乙醇作空白对照读取OD 440 值。放线菌素D(分子量为1255)纯品在水溶液中的摩尔消化系数为21,900,故而1mg/ml的放线菌素D溶液在440nm处
技术资料








