搜索到 200 条记录
- 当前分类
- 子分类
- 检验试剂(23015)
- 标准品/对照品(355065)
- 生物化学(729340)
- 药物筛选(3044)
- 蛋白修饰(2020)
- 免疫检测(7994)
- 蛋白检测(20176)
- 细胞生物学检测(199934)
- 蛋白纯化(51620)
- 蛋白分析(7874)
- RNAi技术(2821)
- 蛋白质/抗原/多肽(357940)
- 动物/植物(17467)
- 核酸分析(7204)
- 化学试剂(501614)
- 核酸纯化(26241)
- 文库及构建(908)
- 克隆与表达(235977)
- 造模饲料(2)
- cDNA及合成纯化(3800)
- PCR/RT-PCR(177905)
- 核酸检测(14417)
- 酶(32807)
- 微生物(60313)
- 表达分析(157)
- 核酸/蛋白合成(6891)
- 品牌
其它
阿拉丁
medchemexpress(mce)
absin
源叶
mybiosource
genecopoeia
biorbyt
abbexa
sigma
sino biological
targetmol
cusabio
bioss
trc
merck
biomatik
yuanmu
antibodysystem
chemfaces
sigma-aldrich
solarbio
cayman
atlas antibodies
aat bioquest
prospec
atcc
biovision
fujifilm wako
bps bioscience
peprotech
zzstandard
cloud-clone
amresco
abnova
bd
broadpharm
apexbio
菲恩生物(finetest)
raybiotech

Illumina iSelect基因分型定制芯片
的XT(600-50,000种微珠类型)制式芯片中。创建这些定制实验分析方法可实现针对特定项目需求的专用型高通量基因分型应用。 Illumina iSelect基因分型芯片服务流程: 提供简单强大的方法评估位点; 可创建最成功的定制分型实验; DesignStudio软件返回的参数
品牌:Illumina货号:Guoke_9
询价

甲状旁腺激素(PTH)重组蛋白 (小鼠)
物种Mus musculus (Mouse,小鼠) 相同的名称,不同的物种。 来源原核表达 宿主E.coli 内毒素水平
品牌:钦诚货号:QC-pb995mu02-r50ug

Cas12/13专用核酸检测试纸条
试纸条密封丢弃在安全处。 结果判读: 图2. Cas12/13专用核酸检测试纸条结果判读示意图 1. 阳性(+):试纸条质控线(C线)和检测线(T线)均出现红色条带;试纸条质控线(C线)不显色,检测线(T线)出现红色条带。上述两种情况均说明Cas12/13可进行有效切割,并激活报告
品牌:Bio-lifesic货号:M20801-F007

哈希BOD营养盐缓冲溶液粉枕BODTrakII用
哈希BOD营养盐缓冲溶液粉枕BODTrakII用 北京吉瑞森科技有限责任公司&南通海箬化学有限公司 美国HACH哈希BOD营养盐缓冲溶液粉枕BODTrakII用 29622-66/2962266 硝酸盐 亚硝酸盐 氨氮 总氮 总磷 27672-45 COD试剂 : 21258-1
品牌:哈希货号:2962266-CN
¥380

荧光增白剂 378(CAS:40470-68-6)
荧光胺荧光增白剂 378FluorescamineFluorescent Brightener 37838183-12-940470-68-6C17H10O4C30H26O2278.26418.532-8℃ 避光2-8℃ 充氮保存室温 干燥98%97%
品牌:沃比森WISSEN货号:VS14169-500g

噻孢霉素;头孢噻肟钠 CAS: 64485-93-4 中药对照品标准品
产品中文名称: 噻孢霉素;头孢噻肟钠 英文名: Cefotaxime sodium salt CAS登录号: 64485-93-4 分子式: C16H16N5NaO7S2 分子量: 477.45 分子结构: 规格: 200mg/支 纯度: ≥98% 用途: 用于含量测定/鉴定/药
品牌:Xkbio货号:XK-B-4206

慢病毒包装试剂盒(Lentiviral Packaging Kit)
一、产品介绍 慢病毒包装试剂盒包含优化的慢病毒包装辅助质粒混合物(Lenti-helper Mix)、表达EGFP荧光蛋白的对照质粒(Lenti-EGFP-control)、高效转染试剂(293 Transfection Reagent)及慢病毒滴度增强剂(Titer Enhan
品牌:BrainVTA货号:SK001

MGIEasy 粪便样本采集套装
MGIEasy粪便样本采集套装&简装是针对粪便样本常温保存及运输而开发的粪便样本采样及保存试剂盒,该试剂可以在室温条件下保存粪便样品14天,即使在40℃的颠簸运输环境下也能高效地为样品提供持续保护。关于该保存液保存效果实验数据发表于专业杂志《Microbiome》,保存效果稳定可
品牌:深圳华大智造科技有限公司货号:1000003702
询价

TaqMan™ Universal Master Mix II, no UNG4440040
规格 检测方法:探针检测 与(设备)一起使用:7300系统、7500系统、7900HT系统、StepOne™、标准模式、StepOnePlus™、标准模式、ViiA™7系统 反应速度:标准 PCR方法:qPCR 样本类型(通用):DNA 被动参比染料:ROX(预混) 聚合酶:扩增
品牌:Applied Biosystems™货号:4440040

MAXgene GMP转染试剂
产品介绍 MAXgene GMP转染试剂是一种cGMP级别的聚乙烯亚胺转染试剂,用于开发和制备细胞及基因治疗所需的病毒载体。它是利用HEK293和CHO表达生产AAVs,LVs和重组蛋白的转染试剂。MAXgene GMP既保留了Polysciences PEI线性聚乙烯亚胺的转染
品牌:polysciences货号:26406-1/26435-1

TruFocus 技术
TruFocus Z轴漂移补偿 自动找焦模式可让您一键轻松找到样品焦点位置 单次自动对焦模式可让您灵活执行多焦点多位置实验,并获得高效的3D和4D成像 连续锁焦模式可实时聚焦样品,实现高分辨率的长延时成像 可兼容塑料和玻璃培养皿 TruFocus Z轴漂移补偿 自动找焦模式可让您
品牌:OLYMPUS货号:OLYMPUS-TruFocus 技术
询价

细胞培养试剂—FBS
血清、细胞培养基、细胞相关试剂—FBS Capricorn Scientific是一家生产细胞培养基,血清和细胞培养添加剂的德国公司。Capricorn主要是生产高品质的动物血清以及无血清培养基,用于生物技术、诊断和研究应用。严格的检测程序以及全面的可追溯性记录和文件保证了我们产
品牌:Capricorn货号:FBS

胃癌肿瘤组织石蜡切片
石蜡切片不仅用于观察正常细胞组织的形态结构,也是病理学和法医学等学科用以研究、观察及判断细胞组织的形态变化的主要方法,而且也已相当广泛地用于其他许多学科领域的研究中。 胃癌肿瘤组织石蜡切片及蜡块,有详细病理信息及随访信息
品牌:安恺货号:16120000
¥50-100

酸鱼乳杆菌/酸鱼乳杆菌/酸鱼乳杆菌/
酸鱼乳杆菌/酸鱼乳杆菌/酸鱼乳杆菌//酸鱼乳杆菌/酸鱼乳杆菌/酸鱼乳杆菌//酸鱼乳杆菌/酸鱼乳杆菌/酸鱼乳杆菌// 订购QQ:823044108 手机18872726602(同微信) 其它中心编号: 中文名称:酸鱼乳杆菌 属名:Lactobacillus 种名加词:acidipi
品牌:华尔纳生物货号:WN-JU92239

Nonaethylene Glycol Monododecyl Ether
更多其他产品(药物杂质、食品检测标品、农兽残检测标品、环境及工业检测标品标液、维生素、胆汁酸、氨基酸、糖代谢、类花生酸、肉碱、脂肪酸、植物激素、动物激素、儿茶酚胺、植物提取物、修饰性peg、微球、分子生化、细胞、蛋白抗体)请联系上海赛可锐生物: 许经理 手机15900491054
品牌:赛可锐生物货号:SRTC-N649395

碳酰肼
中文名称:碳酰肼 英文名称:Carbohydrazide 别名:1,3-二氨基脲:碳酰二肼:卡巴肼:碳酸二肼 分子式:CH6N4O 分子量:90.08 CAS号:497-18-7 产品介绍:白色结晶粉末 用途:广泛用于生产药品、除草剂、植物生长调节剂、染料等 级别、含量: 98%(
品牌:南试牌货号:C0550599423

65207-55-8
产品基本信息:中文名称: D-Lactal;英文名称: D-Lactal;厂家:Virtue-Clara;牌号:VTY39596;质量标准(技术规范):98%;CAS#:65207-55-8;参照储存温度:RT; 具体不同生物应用|化学应用|药用会略有区别;学科分类:生化试剂 产
品牌:VIRTUE-CLARA货号:VTY39596
¥4686

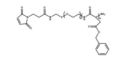
Maleimide-PEG-PBLA / Maleimide-PEG-PBLA
马来酰亚胺聚乙二醇聚天冬氨酸苄基酯 Mal-PEG-PBLA PBLA-PEG-Maleimide, PBLA-PEG-Mal 马来酰亚胺聚乙二醇聚天冬氨酸苄基酯,马来酰亚胺PEG天冬氨酸苄基酯 产品结构 产品信息 CAS号:N/A 外观: 半固体或固体,取决于分子量。 溶解性:
品牌:MELOPEG货号:280502
¥6800

BOC-D-色氨酸 5241-64-5 现货
BOC-D-色氨酸 5241-64-5 BOC-D-色氨酸 5241-64-5 BOC-D-色氨酸 5241-64-5,英文名称:Nα-Boc-D-tryptophan,规格:5g,品牌:伊塔生物,货号:YT03266,CAS:5241-64-5, YT27694 仲丁基硼酸 s
文献支持品牌:伊塔生物货号:YT03266

B6CBA-Tg(HDexon1)62Gpb/3J
B6CBA-Tg(HDexon1)62Gpb/3J 品系货号:006494 RRID:IMSR_JAX:006494 通用名称:B6CBA-R6/2 (CAG 120 +/- 5) 此转基因小鼠品系表现出进行性神经系统疾病表型,可模拟人亨廷顿舞蹈症 (Huntington's d
品牌:杰克森实验室 The Jackson Laboratory货号:006494
询价












