光刻胶配方中的“药引子”—光致产酸剂(Photoacid Generator, PAG)
1. 光致产酸剂(Photo Acid Generator,PAG) 是一类在光、射线、等离子体等辐射下能分解生成特定酸,酸可使酸敏树脂发生分解或者交联,从而使光照部分与非光照部分溶解,亲和性能产生差异,经过显影处理后形成影像。光致产酸剂(Photo Acid Generator,PAG)是光刻胶的核心部分,在光形式的辐射能,尤其在紫外区会发生相应的反应。
化学放大光反应示意图[2]
光产酸剂在各类化学增幅抗蚀剂等成像体系中应用和研究广泛。 同时也被广泛应用于阳离子光固化材料、热敏印刷版材。
|
产品类型
|
光刻波长
|
应用集成电路制程
|
|
g线光刻胶
|
436 nm
|
0.5um
|
|
i线光刻胶
|
365 nm
|
0.5-0.35um
|
|
KrF光刻胶
|
248 nm
|
250-130nm
|
|
ArF光刻胶(干式)
|
193 nm
|
130-65nm
|
|
ArF光刻胶(浸没式)
|
193 nm
|
65-14nm,配合双重及多重显影技术可达7nm
|
|
EUV光刻胶
|
13.5 nm
|
7nm以下
|
|
电子束光刻胶体系
|
电子束
|
-
|
主要的光刻胶类型
2. 光酸选择对光刻胶性能的影响:
曝光时间,光源所发射光纤的强度等都需要根据光酸的特性选择决定的。
在进行半导体光刻胶的配方调制时,通常要根据树脂的设计来搭配不同的光酸,而一款光刻胶中的光酸可能不止一种,研发人员会根据所需的参数改善方向来添加不同的光酸。
光酸的扩散长度直接决定了光刻胶的性能及一些重要参数,如曝光能量、能量窗口、边缘粗糙度、图形形貌以及掩模版误差增强因子等。
优秀的光酸要实现在溶解性、稳定性、灵敏度和工艺窗口之间达到最优的平衡。
① 高敏感性:光酸对光照的敏感性较高,可在较低的光照强度下产生足够的酸量。
② 可控性:根据需要可以选择不同波长的光源来激活光酸,实现对反应的精确控制。
3. N-羟基萘酰亚胺三氟甲石黄酸酯光致产酸剂:
萘二甲酉先亚胺结构的化学修饰和剪裁易于实现和控制,萘酰亚胺三氟甲石黄酸酯对光具有优异的吸收能力,且在有机溶剂中其具有非常高的溶解性,容易制备聚合性组合物,并且具有优异的热稳定性,亦表现出良好的产酸率。这些性质使其自2014年以来成为优秀光致产酸剂的潜力化合物。具有很大的研究价值和市场前景。
不同的化学修饰能够精细地调整1,8-萘酰亚胺的光学性质[3]:
※ 这类化合物主要被用于表面改性聚合物膜的制造、正色调光刻胶的制备。
通过光刻获得图案化薄膜、用于合成光致抗蚀剂组合物、用于生产复合材料,包括基材和涂覆在基材表面上的涂层等[4]。
4. 常用光酸种类
大量结构迥异的光致产酸剂PAG一般可以分为离子型和非离子型两类[5]。
① 离子型(鎓盐)PAG :含有阳离子化合物& 阴离子化合物
应用比较广泛的是二芳基鎓碘盐/三芳基石黄酸盐,含有BF4-, SbF6-, AsF6-, PF6-, 或者RSO3-等阴离子是应用最广泛的PAG。二茂铁的离子化合物也是比较知名的,但是应用范围相对较窄。与三芳基石黄酸盐相比,二芳基硫鎓盐基光酸产生的酸具有更高的量子产率,因此,当需要高产酸率的工艺时,例如,用于制造光固化涂层,印刷油墨和不干胶标签,这类PAG是优先选的。另一方面,三芳基石黄酸盐的高热稳定性是其作为光刻胶用PAG的主要因素。光刻胶受到曝光前和曝光后的烘烤,在鎓盐热稳定性不足的情况下,可能会损害图像质量。此外,含二苯鎓盐的PAG的光解产生的挥发性碘取代的光产物会物沉积在用于曝光光刻胶的设备的光学器件上。单三苯石黄酸基PAG的光解则不伴有挥发性光产物的形成[6]。
商业化的离子型PAG[5]
② 非离子型PAG
文献中描述了许多非离子化合物,它们在暴露于光下时会产生羧酸、石黄酸、磷和氢盐酸。
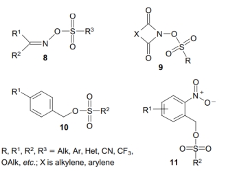
这类化合物中最重要的是石黄酸酯,它在光照下会产生强酸。他们包括亚氨基石黄酸盐 (化合物8), 酰亚胺磺(化合物9) 和苄基石黄酸盐(化合物10) 。在苯石黄酸盐中,只有对硝基和邻石肖基苯基石黄酸酯(化合物11)在光照下产生酸[7],这些异构体通过不同的机制产生光酸。非离子型PAG在有机溶剂和聚合物薄膜中具有较高的溶解度,但与鎓盐相比,它们的热稳定性较差(可以通过进一步的化学修饰进行改进)。
主要的非离子型PAG母核结构[5]
Seebio现货供应光引发剂(PI)/光敏剂(PAC)/光致产酸剂(PAG)产品
产品规格和需求请联系400-021-8158
|
Seebio Code
|
CAS No.
|
化学品名
Chemical Name |
外观
Appearance |
纯度
Purity |
吸收峰(nm)
Absorption Peak |
|
AAU16171A
|
85342-62-7
|
萘酰亚胺三氟甲石黄酸
N-Hydroxynaphthalimide Triflate |
/
|
≥99%
|
/
|
|
AAU16172A
|
1610827-31-0
|
6-丁基-N-羟基萘酰亚胺三氟甲石黄酸
6-butyl-1,3-dioxo-1H-benzo[de]isoquinolin-2(3H)-yl trifluoromethanesulfonate |
/
|
≥99%
|
/
|
|
AAU16173A
|
2348470-19-7
|
6-(2-甲氧基乙氧基)-N-羟基萘酰亚胺三氟甲石黄酸
6-(2-methoxyethoxy)-1,3-dioxo-1H-benzo[de]isoquinolin-2(3H)-yl trifluoromethanesulfonate |
/
|
≥99%
|
/
|
|
AAU16174A
|
125051-32-3
|
双2,6-二氟-3-口比咯苯基二茂钛
Bis(.eta.5-2,4-cyclopentadien-1-yl)- bis[2,6-difluoro-3-(1H-pyrrol-1-yl)phenyl]titanium |
黄色-橙色粉末
Yellow-Orange powder |
≥99%
|
333、396、470
|
|
AAU16175A
|
162881-26-7
|
苯基双(2,4,6-三甲基-苯甲酉先基)氧化膦
Bis(2,4,6-trimethylbenzoyl) phenylphosphine oxide |
淡黄色粉末
Yellowish powder |
≥99%
|
338、370、405
|
|
AAU16176A
|
75980-60-8
|
(2,4,6-三甲基-苯甲酉先基)二苯基氧化膦
2,4,6-Trimethyl benzoyldiphenyl phosphine oxide |
淡黄色粉末
Yellowish powder |
≥99%
|
295、368、380、
400 |
|
AAU16177A
|
84434-11-7
|
2,4,6-三甲基-苯甲酉先基苯基膦酉夋乙酯
Ethyl (2,4,6-trimethylbenzoyl) phenylphosphinate |
淡黄色透明液体
Yollewish liquid |
≥98%
|
369
|
|
AAU16178A
|
5495-84-1
|
2-异丙基硫杂蒽酮
2-Isopropylthioxanthone |
淡黄色粉末
Yellowish powder |
≥99%
|
258、382
|
|
AAU16179A
|
82799-44-8
|
2,4-二乙基硫杂蒽酮
2,4-Diethylthioxanthone |
淡黄色粉末
Yellowish powder |
≥99%
|
261、385
|
|
AAU16180A
|
71868-10-5
|
2-甲基-1-(4-甲硫基苯基)-2-口马啉基-1-丙酮
2-Methyl-1-[4-(methylthio)phenyl]-2- morpholinopropane-1-one |
白色粉末
White powder |
≥99%
|
240、306
|
|
AAU16181A
|
119313-12-1
|
2-苄基-2-二甲基氨基-1-(4-口马啉苯基)丁酉同
2-Benzyl-2-dimethylamino-1-(4- morpholinophenyl)butanone |
淡黄色粉末
Yellowish powder |
≥99%
|
206、323
|
|
AAU16182A
|
119344-86-4
|
2-二甲氨基-2-(4-甲基)苄基-1-[4-(4-口马啉基)苯基]-1-丁酉同
2-Dimethylamino-2-(4-methyl-benzyl)- 1-(4-morpholin-4-yl-phenyl)-butan-1-one |
淡黄色粉末
Yellowish powder |
≥99%
|
233、320
|
|
AAU16183A
|
119-61-9
|
二苯甲酉同
Benzophenone |
白色片状固体
White flakes |
≥99.5%
|
256、330
|
|
AAU16184A
|
947-19-3
|
1-羟基环己基苯基甲酉同
1-Hydroxy-Cyclohexyl Phenyl Ketone |
白色粉末
White powder |
≥99%
|
244、280、326
|
|
AAU16185A
|
7473-98-5
|
2-羟基-2-甲基-苯基丙火完-1-酮
2-Hydroxy-2-methylpropiophenone |
无色至淡黄色透明液体
Colorless to pale yellow liquid |
≥99%
|
244、278、322
|
|
AAU16186A
|
15206-55-0
|
苯甲酉先甲酉夋甲酉旨
Methyl benzoylformate |
淡黄色透明液体
Yollewish liquid |
≥99%
|
255、325
|
|
AAU16187A
|
24650-42-8
|
2,2-二甲氧基-2-苯基苯乙酮
2,2-Dimethoxy-2-phenylacetophenone |
白色粉末
White powder |
≥99%
|
220、255、325
|
|
AAU16188A
|
90-93-7
|
四乙基米氏酮
4,4'-Bis(diethylamino)benzophenone |
黄色片状结晶
Yellow Flakes |
≥98%
|
244、280、330
|
|
AAU16189A
|
10287-53-3
|
4-二甲氨基-苯甲酉夋乙酯
Ethyl-4-(dimethylamino)benzoate |
白色粉末
White powder |
≥99%
|
228、308
|
|
AAU16190A
|
/
|
香豆素肟酯
Coumarin oxime ester |
白色粉末
White powder |
≥98%
|
297
|
|
AAU16191A
|
478556-66-0
|
1-[9-乙基-6-(2-甲基-苯甲酉先基)-9H-口卡唑-3-基]乙酮 1-(O-乙酰肟)
1-[9-Ethyl-6-(2-methylbenzoyl)-9H-carbazol-3-yl]ethanone 1-(O-acetyloxime) |
白色粉末
White powder |
≥99%
|
252、291、328
|
|
AAU16192A
|
32760-80-8
|
异丙-苯茂铁六氟磷酸盐
Cyclopentadienyliron(ii) hexa- fluorophosphate |
棕黄色粉末
Yellow-Brown powder |
≥98%
|
300、390、450
|
|
AAU16193A
|
100011-37-8
|
异丙-苯茂铁六氟锑酸盐
Cyclopentadienyliron(ii) hexa- fluoroantimonate |
棕黄色粉末
Yellow-Brown powder |
≥98%
|
300、390、450
|
|
AAU16194A
|
344562-80-7
|
4-异丁基-苯基-4’-甲-苯基碘 六氟磷酸盐
4-Isobutylphenyl-4'- methylphenyliodonium hexafluorophosphate |
淡黄色透明液体
Yellowish liquid |
75%
|
243
|
|
AAU16195A
|
71786-70-4
|
双(4-十二烷基苯)碘六氟锑酸盐
Bis(4-dodecylphenyl)iodonium hexaflurorantimonate |
淡黄色透明液体
Yellowish liquid |
50%
|
278
|
|
AAU16196A
|
61358-25-6
|
双(4-叔丁基-苯基)碘鎓六氟磷酸盐
Bis(4-tert-butylphenyl)iodonium hexafluorophosphate |
白色粉末
White powder |
≥99%
|
265
|
|
AAU16197A
|
42573-57-9
|
2,4-双(三氯甲基)-6-对甲氧基-苯乙火希基-S-三嗪
2-[2-(4-Methoxyphenyl-2-yl)vinyl]-4,6-bis(trichloromethyl)1,3,5- triazine |
黄色粉末
Yellow powder |
≥98%
|
249、373
|
|
AAU16198A
|
/
|
(5-对甲-苯磺酰氧亚胺-5H-噻吩-2- 亚基)-(4-甲氧基-苯基)-乙月青
p-methoxyphenylacetonitrile, a-[5- [[(p-toluene sulfonyl)oxy]imino]-2(5H)-thienylidene] |
棕黄色粉末
Yellow-Brown powder |
≥97%
|
270、430
|
|
AAU16199A
|
506426-96-6
|
5-(4-二苯月安苯基乙火希基)- 苯乙基恶唑烷-2,4-二酮
2,4-Oxazolidinedione, 5-[[4- (diphenylamino)phenyl]methylene]- 3-(2-phenylethyl)- |
黄色粉末
Yellow powder |
≥99%
|
395
|
【参考文献】
[1]. Zivic Z. et al, Angew. Chem. Int. Ed. 2019, 58, 10410 – 10422.
[2]. Deng J.Y. et al, Chemistry of Materials 2022
[3]. Noirbent G. et al, European Polymer Journal 2020, 132,109702.
[4]. K.W. et al, WO2019/ 045377 KO 2019 .03 .07
[5]. N.A.Kuznetsova, G.V.Malkov, B.G.GribovRuss. Chem. Rev., 2020, 89, 2,173-190.
[6]. Reichmanis E. et al, J.Bowden. Mat. Res. Soc. Symp. Proc., 2000, 23, 584.
[7]. Martin C.J. et al, J. Photochem. Photobiol., C, 2018, 34, 41.

本周
本月
本年
LetPub发布最新SCI影响因子查询及期刊投稿分析系统
ELISpot试剂盒限时特惠!一口价低至500元,加赠免费读板服务
草甘膦(glyphosate)酶联免疫分析(ELISA)试剂盒使用说明书
应用gentleMACS™灌流技术从脂肪肝小鼠模型高效分离肝细胞与非实质细胞
单个细胞也能提取核酸?超全干货教你微量样本发高分(含完整电子版宝典资料))
链脲佐菌素 (Streptozotocin,STZ)-糖尿病动物模型造模
LetPub完整SCI影响因子、期刊分区查询系统
研究思路 | 多组学专题——如何进行转录组+蛋白组关联分析?
Elabscience® 从原料到标记,打造属于中国自己的流式抗体品牌
淋巴细胞百分比偏低原因解析
- 促销公告
- 更多 ›


