推介 | 英赞生物非洲猪瘟病毒全预混检测试剂解决行业“痛点”
非洲猪瘟
非洲猪瘟是由非洲猪瘟病毒感染家猪或野猪引起的一种急性、热性、高度接触性传染性疾病,发病率高,死亡率高。自2018年8月我国首次发现非洲猪瘟已过去近五年,目前仍未有针对的*效疫苗或是抗病毒药物有效预防和治疗非洲猪瘟病毒,非洲猪瘟病毒疫情爆发时30%左右的损失率让我国生猪养殖业面临严峻考验。

非洲猪瘟防控方案
在常态化防控非洲猪瘟病毒背景下,我国总结了一套较为有效的非洲猪瘟防控方案,即通过“全面检测+精准清除”、“早发现早清除”来及时甄别和扑杀染病猪只,杜绝病毒通过环境传播,保证健康猪群不被感染。荧光定量PCR核酸检测方法是国际公认的防控非洲猪瘟的有效手段,为保障生猪的产能供给作出了重要贡献。
非洲猪瘟病毒荧光定量PCR核酸检测行业“痛点”
- 样本来源复杂,包括猪分泌物、排泄物、组织、饲料、空气等非洲猪瘟病毒直接或间接传播媒介,造成病毒载量范围广,PCR抑制成分多样化。
- 非洲猪瘟病毒的传染性强、传播速率快,“早发现早清除”要求检测试剂具有高灵敏度,“精准清除”需要检测试剂具有高特异度,普通荧光定量PCR核酸检测试剂的性能难以同时达到检测猪场多样化样本中非洲猪瘟病毒所要求的灵敏度和特异度。
- 生猪养殖场相对偏僻,物流运输耗时长,且试剂到达猪场后还需排队消杀才能进入实验室被使用,难以保证全程冷链运输PCR全预混(含引物探针)试剂,检测性能降低。
英赞生物非洲猪瘟病毒全预混检测试剂解决行业“痛点”
针对上述“痛点”问题,英赞生物联合知名生猪养殖企业,在国家发明专利技术(ZL 2020 1 0503288.X)基础上升级改造DNA聚合酶,搭配精心优化的缓冲液,开发了灵敏度高、稳定性好的全预混 (含探针引物)非洲猪瘟病毒 qPCR Mix(货号 S046)。
产品优势
- 真正的全预混,试剂中包含筛选优化的引物探针,只需在试剂中加入检测样本即可使用,有效避免假阳性。
- 37℃下放置三天,全预混试剂检测非洲猪瘟病毒性能稳定。
- 灵敏度高,耐PCR抑制剂强,兼容所有来源的非洲猪瘟病毒样本。
- 自主知识产权专利产品,质优价美,供货及时稳定;提供定制化服务,满足客户个性需求。
测试结果
结果一

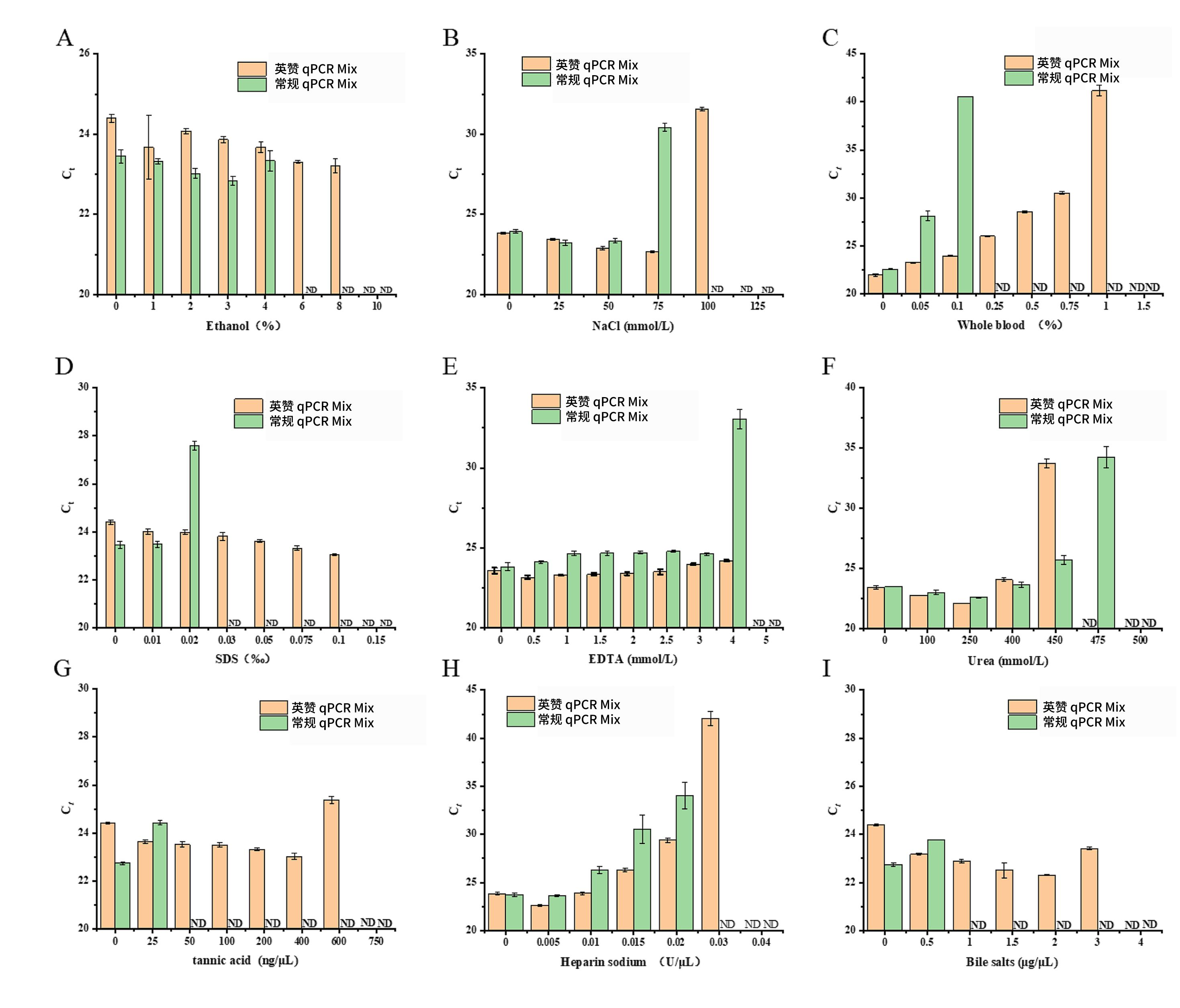
英赞 qPCR Mix与常规qPCR Mix应用于非瘟检测时,其抑制剂耐受性测试结果*
结果二

英赞非洲猪瘟病毒 qPCR Mix经37℃老化3天后扩增5 Copies/μL极限样本的结果*
*数据源自本公司实验室测试结果。

本周
本月
本年
LetPub发布最新SCI影响因子查询及期刊投稿分析系统
ELISpot试剂盒限时特惠!一口价低至500元,加赠免费读板服务
草甘膦(glyphosate)酶联免疫分析(ELISA)试剂盒使用说明书
应用gentleMACS™灌流技术从脂肪肝小鼠模型高效分离肝细胞与非实质细胞
单个细胞也能提取核酸?超全干货教你微量样本发高分(含完整电子版宝典资料))
链脲佐菌素 (Streptozotocin,STZ)-糖尿病动物模型造模
LetPub完整SCI影响因子、期刊分区查询系统
研究思路 | 多组学专题——如何进行转录组+蛋白组关联分析?
Elabscience® 从原料到标记,打造属于中国自己的流式抗体品牌
淋巴细胞百分比偏低原因解析
- 促销公告
- 更多 ›


