万千商家帮你免费找货
0 人在求购买到急需产品
- 详细信息
- 文献和实验
- 技术资料
- 提供商:
百泰派克
- 服务名称:
羟基二十碳四烯酸(HETEs)分析
- 规格:
询价
技术服务详情
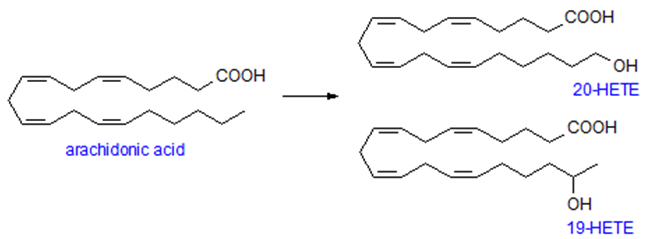
已知花生四烯酸可以通过几种酶途径被氧化,包括前列腺素H2合酶、5-脂氧合酶和细胞色素P450依赖的环氧合酶反应。这些酶促途径需要游离花生四烯酸作为底物,并产生大量有生物活性的脂质介质,包括前列腺素、血栓烷、白三烯和环氧二十碳四烯酸。血液和血管中主要的花生四烯酸代谢产物是羟基二十碳四烯酸(HETEs)。羟基二十碳四烯酸HETEs与生理反应有关,例如聚集、细胞迁移和细胞增殖。高效液相色谱分离后的GC/选定离子监测通常被用作HETEs的灵敏和特异分析。

羟基二十碳四烯酸(HETEs)分析
百泰派克生物科技基于高稳定性、可重复和高灵敏度的分离、表征、鉴定和定量分析系统,结合LC-MS/MS提供可靠、快速且经济高效的羟基二十碳四烯酸HETEs及其异构体的分析服务。
百泰派克可提供以下HETEs的分析
HETEs(5-、8-、9-、11-、12-、15-、20-HETE),HEPEs和HDoHEs
联系我们
| 点击立即咨询>> | 点击提交需求>> |
| 科研服务请留言 | 访问品牌官网>> |
服务项目
蛋白分析
|
蛋白鉴定 |
分子量测定 |
肽质量指纹图谱分析 |
|
基于埃德曼降解的蛋白质N端测序 |
Pull-down靶蛋白质谱鉴定 |
Shotgun鸟枪法蛋白质鉴定 |
|
蛋白测序 |
蛋白质N/C端测序 |
蛋白全序列测定 |
|
标记转移法蛋白相互作用分析 |
单克隆抗体从头测序 |
蛋白从头测序和突变分析 |
|
SILAC与免疫共沉淀质谱联用 |
蛋白质相互作用分析 |
蛋白质相互作用质谱分析 |
|
GST pull-down |
蛋白质质谱鉴定 |
交联法蛋白相互作用分析 |
|
蛋白质结构鉴定 |
抗体测序 |
蛋白质圆二色谱分析 |
|
膜蛋白鉴定服务 |
序列分析 |
多肽测序 |
|
多肽从头测序 |
CO-IP免疫共沉淀法 |
Far-Western Blot分析 |
|
蛋白质一级结构的测定 |
蛋白质组学
|
定量蛋白质组学 |
Label Free |
iTRAQ, TMT, SILAC |
|
半定量蛋白质组学 |
2D-DIGE定量蛋白质组学 |
SWATH定量蛋白组学 |
|
MRM/PRM定量蛋白组学 |
4D蛋白质组学 |
多肽组学 |
|
多肽质谱鉴定 |
多肽生物标志物鉴定 |
翻译后修饰蛋白组学 |
|
糖基化定量蛋白组学研究 |
乙酰化定量蛋白组研究 |
泛素化定量蛋白组学研究 |
|
组蛋白翻译后修饰分析 |
酰化定量蛋白质组研究 |
甲基化定量蛋白组学研究 |
|
蛋白质SUMO化鉴定 |
基于Top down自上而下 |
法的PTMs表征 |
|
糖蛋白组学 |
绝对定量分析(AQUA) |
肽纯度分析 |
|
DIA定量蛋白质组学 |
靶向蛋白质组学 |
S-亚硝基化分析 |
|
基于高精度质谱的免疫 |
蛋白二硫键鉴定和定量分析 |
磷酸化定量蛋白组学研究 |
|
多肽组学分析及新抗原发现 |
代谢组学
|
非靶向代谢组学 |
靶向代谢组学 |
氨基酸及其衍生物 |
|
肉碱和酰基肉碱类 |
植物激素 |
胆汁酸 |
|
动物激素 |
脂肪酸及脂肪酸代谢 |
ATP代谢相关物质分析 |
|
白藜芦醇 |
木酚素 |
多酚 |
|
生物胺 |
有机酸 |
类胡萝卜素 |
|
核苷酸及相关物质分析 |
短链脂肪酸 |
脂质代谢组学 |
|
离子组学 |
未知代谢物鉴定 |
源性代谢物分析 |
|
糖类及糖代谢 |
维生素与辅酶 |
NAD代谢相关物质分析 |
|
氧化型胆固醇 |
脂质组学MALDI成像服务 |
代谢通量分析 |
|
黄酮 |
多组学整合分析
|
脂质组学+蛋白质组学 |
转录组学+代谢组学 |
转录组学+蛋白质组学 |
|
蛋白质组学+代谢组学 |
翻译后修饰蛋白质组+代谢组 |
转录组学+脂质组学 |
生物药物表征
|
非变性质谱分析(Native MS) |
抗体偶联药物(ADCs)分析 |
蛋白质纯度分析(分子筛/反相色谱) |
|
生物药二硫键/游离半胱氨酸检测 |
肽段覆盖率/肽谱图分析 |
SDS-PAGE蛋白质纯度分析 |
|
高分辨质谱分子量鉴定 |
抗体C端K缺失比例分析 |
MALDI TOF分子量分析 |
|
生物制药N/C端测序 |
生物药糖谱检测 |
蛋白质肽谱图测定 |
|
氢氘交换质谱HDX MS |
蛋白质等电点测定 |
宿主蛋白残留(HCP)分析 |
|
生物药糖基化位点检测 |
生物制药N端测序 |
生物药氨基酸组成分析 |
单细胞分析
|
单细胞质谱流式技术 |
单细胞测序 |
检测平台
基于生物化学、分子生物学、色谱的检测分析平台:该平台配备了Agilent 2100 生物分析仪、 ProteinSimple凝胶成像系统、高效液相色谱系统,为蛋白质组学、代谢组学分析保驾护航,包括样品制备、分离纯化、分子量测量、杂质表征表达研究等;
基于质谱技术的蛋白质组学分析平台、代谢组学分析平台、蛋白测序平台:该平台配备了超高效液相色谱质谱联用,Orbitrap Fusion Lumos Tribri,Thermo Scientific Exploris以及氢氘交换质谱仪配合机械臂为蛋白质组学、代谢组学和蛋白测序提供了全面的分析手段,包括蛋白质和代谢物的分离、质谱分析、结构分析以及动态信息研究;
生物药物表征平台: 该平台配备了DSC-FTRR差示扫描量热仪与傅立叶变换拉曼光谱仪,氢氘交换质谱仪配备机械臂,为生物药物表征提供了全面的分析手段,包括生物药物的分离、纯化、结构分析和动态信息研究;
基于10x Genomics的单细胞分析平台:该平台能够完成基于10x Genomics单细胞分析平台的检测流程,包括单细胞分选、cDNA合成、文库制备、文库质量检测、PCR扩增以及高通量测序;
基于Fluidigm的单细胞质谱流式检测平台:采用基于Fluidigm Helios流式细胞仪(Mass Cytometry System for Single Cell Analysis)用于单细胞质谱分析,该平台能够完成包括单细胞捕获、cDNA合成、实时定量PCR分析、目标区域扩增以及质谱流式细胞分析;
基于高精度质谱的免疫多肽组学及免疫学检测平台:基于高精度质谱的免疫多肽组学及免疫学检测平台,能够完成包括多肽分离、纯化、合成、质谱分析、免疫学检测以及分子相互作用研究;
生信云平台:基于生物信息分析方法的生信云平台,能够完成一整套的生物信息学解决方案,包括组学数据的质量分析、差异表达分析、差异表达物GO、KEGG、COG注释分析、聚类分析、相互作用网络等多层次网络和通路的分析。

特色项目
一、蛋白测序
蛋白测序服务两种主要分析方法
E蛋白测序服务两种主要分析方法:埃德曼降解(Harvey和Ferrier,2011; Bauer等,1997)和质谱分析(MS)(Sahukar等,2016)。蛋白质测序和鉴定常用质谱法,埃德曼降解法是表征蛋白质N端重要的方法之一。
百泰派克生物科技使用Thermo公司新推出的Obitrap Fusion Lumos质谱仪及岛津公司埃德曼降解测序系统对蛋白质序列进行分析,提供基于质谱的蛋白测序分析服务,包括对蛋白质的氨基酸组成分析,N端测序,C端测序和全序列分析,以及基于埃德曼降解的蛋白质N端序列分析服务。对于未知理论序列的蛋白质,提供基于从头测序法的蛋白质从头测序服务,对蛋白序列进行分析。
蛋白测序服务流程

蛋白测序服务优势
1 .采用目前世界上先进的质谱仪器 Obitrap Fusion Lumos;
2.可实现对所测定靶蛋白序列 100% 的覆盖;
3.可测定蛋白N端多达 70个氨基酸序列;
4.可测定多种形式的样品: 蛋白溶液、PVDF 蛋白条带;
5.样品用量低: 蛋白样品仅需 5-10ug,即可完成检测;
6.测序不受N端封闭,PEC和和糖基化等N端修饰的影响。
二、蛋白质组学
蛋白质组的研究不仅能为生命活动规律提供物质基础,也能为众多种疾病机理的阐明及攻克提供理论根据和解决途径。通过对正常个体及病理个体间的蛋白质组比较分析,我们可以找到某些“疾病特异性的蛋白质分子”,它们可成为新药物设计的分子靶点,或者也会为疾病的早期诊断提供分子标志。确实,那些世界范围内销路好的药物本身是蛋白质或其作用靶点为某种蛋白质分子。因此,蛋白质组学研究不仅是探索生命奥秘的必须工作,也能为人类健康事业带来巨大的利益。蛋白质组学的研究是生命科学进入后基因时代的特征。
百泰派克生物科技采用Thermo Fisher的Orbitrap Fusion Lumos质谱平台结合Nano-LC,提供定量蛋白质组学、靶向蛋白质组学、多肽组学、翻译后修饰蛋白组学等多种蛋白质组学分析服务。此外,百泰派克生物科技新推出基于timsTOF Pro的4D蛋白质组学服务,助力微量样本蛋白组学、大样本群医学及高通量修饰组学等研究工作。
不同技术的比较
|
蛋白质组学服务 |
特点 |
技术要点 |
|---|---|---|
|
Label-free |
非标蛋白质组学 |
无需对样品标记处理; 操作简单; 可大规模分析蛋白质鉴定样品,对样品数量无限制。 |
|
iTRAQ/TMT |
体外标记定量蛋白质组学 |
可同时定量分析 2-10 个样品; 体外标记,不受样品类型限制; 可鉴定多达6000个蛋白; 实验稳定度和重复度较高。 |
|
SILAC/Dimethyl |
体内标记定量蛋白质组学 |
可对比23 个样品; 体内标记,标记稳定,组间误差小; 需要的样本量较小,仅需几十微克的蛋白。 |
|
SWATH |
DIA 全景蛋白质组学 |
全景式、高通量、非质谱依赖的数据采集手段; 数据采集精准高效,线性范围; 检测蛋白丰度跨越 4个数量级; 可分析多达 2000 个蛋白质。 |
|
MRM |
绝对定量蛋白质组学 |
基于已知质谱信息来对目标分子进行分析的手段; 检测精准高效,可进行绝对定量分析; 实验结果重现性好,准确度高; 可精准鉴定低丰度蛋白。 |
蛋白质组学服务优势
1 .高通量定量蛋白分析:多对照组大规模实验分析,发现新的生物标记物;
2.体内体外多种蛋白质标记方法,适用于分析组织、细胞、血液等多种样品;
3.质谱分析灵敏度高,实验结果重复度高;
4.可检测较低丰度蛋白,线性范围广;
5.专业生物信息学分析,分析更系统准确。
三、单细胞质谱流式技术分析
单细胞质谱流式(Mass Cytometry)技术利用质谱技术对单细胞进行多参数检测,既有传统流式细胞术能够高速分析的特点,又兼并了质谱检测的高分辨能力。能够指定检测蛋白,避免漏掉丰度很低但又很重要的蛋白,且质谱流式技术通量相当高,可以实现大量细胞的检测。
百泰派克生物科技单细胞质谱流式分析方案
百泰派克生物科技采用Fluidigm质谱流式系统进行单细胞质谱流式技术分析,采用金属元素标记物(通常是金属元素标记的特异抗体)标记细胞表面和内部的分子,然后用流式细胞原理分离单个细胞,再用电感耦合等离子体质谱(ICP-MS)分析单个细胞的原子质量谱,最后将原子质量谱数据转换为细胞表面和内部的信号分子表达量。

单细胞质谱流式服务优势
①技术先进,填补技术空白
采用金属标记抗体技术,避免了传统流式荧光通道少且易相互影响的问题。可在单细胞层面上对多种指标同时进行表征,百泰派克生物科技可做到同时检测51个目标蛋白。
②分析数量大,成本较低
单细胞RNAseq受成本等因素限制,所有样本细胞汇总的分析数目一般在2x10^4个左右,而流式质谱技术一次(单样本)就可分析至少10^5的细胞,实现了数量级的提高,且成本不高于单细胞RNAseq。
③应用前景大
a)流式质谱结果可以给出细胞亚群的变化,在临床诊断、疾病机制研究等方面具有极大的研究前景;
b)将金属标签技术与其他技术结合会有新应用方向。除常规蛋白外,质谱流式细胞技术还可用于蛋白翻译后修饰;
c)可检测细胞存活率、细胞大小、mRNA转录子表达量、DNA合成速率以及蛋白酶活性等。
四、基于高精度质谱的免疫多肽组学分析及新抗原发现
百泰派克生物科技的基于高精度质谱的免疫多肽组学分析及新抗原发现一站式解决方案包括我们专有的、高度敏感的免疫肽富集和鉴定方案。我们能够帮助您实现10,000个以上I型多肽和10,000个以上II型多肽的鉴定和识别。通过我们优化的高通量免疫多肽组学分析平台进行免疫肽组学分析,可从最小的样品材料中进行可重复的识别和定量。该服务可以应用于大规模的研究,旨在助力科研工作者寻找癌症、免疫疾病及传染病的解决方案,深入挖掘未知的靶标。
基于高精度质谱的免疫多肽组学分析及新抗原发现分析策略

结果交付
1.所有鉴定的免疫多肽列表,新抗原肽以及肿瘤相关抗原肽列表;
2. 免疫多肽组数据质量分析,如研究案例中的数据报告。

五、生物药物表征
生物制药是通过现代医学研究手段结合生物生产技术研发生物医药技术产品,主要包括蛋白质、多肽、抗体、疫苗,以及生物诊断试剂等产品。近年来我国的生物医药领域一直保持着稳定发展速度,也一直占据着生物研究的热点。但是生物制品由于生物过程复杂,影响因素众多,使得生物制品在生产过程中可能引入新的杂质,或者造成生物制品本身结构性质变得不均一。这些因素可能削弱生物药物的疗效,甚至造成生物毒性和机体免疫反应等不良结果。所以生物药物在进入临床测试之前必须经过一系列严格检测来确定生物药物是否合规。百泰派克了解生物制药领域开发所面临的挑战,专注于提供完整的生物药物鉴定和分析服务。
百泰派克基于高分辨率质谱技术,MALDI TOF,高效色谱分离技术,提供一系列完善的生物药物分析方案,从蛋白质、多肽、抗体、疫苗等生物制品的氨基酸组成和一级结构分析,到产品变异性和纯度分析。旨在提供优质生物药物分析服务,帮助生物医药生产商提高生物药物品质。
生物药物表征服务内容
|
生物药物鉴定服务 |
产品变异性分析 |
生物药物纯度分析 |
|---|---|---|
|
高分辨质谱分子量 |
生物药糖谱检测 |
SDS-PAGE蛋白质纯度分析 |
|
MALDI TOF分子量分析 |
生物药糖基化位点检测 |
宿主蛋白残留(HCP)分析服务 |
|
生物制药N端测序 |
生物药二硫键/游离半胱氨酸检测 |
蛋白质纯度分析(分子筛/反相色谱 |
|
生物制药N/C端测序 |
抗体C端K缺失比例分析 |
抗体偶联药物(ADCs) |
|
肽段覆盖率/肽谱图分析 |
||
|
蛋白质肽谱图测定 |
||
|
生物药氨基酸组成分析 |
||
|
氢氘交换质谱HDX MS |
||
|
蛋白质圆二色谱分析 |
联系我们
| 点击立即咨询>> | 点击提交需求>> |
| 科研服务请留言 | 访问品牌官网>> |
百泰派克生物科技-生物药物表征,生物质谱多组学优质服务商
北京百泰派克生物科技有限公司(Beijing Bio-Tech Pack Technology Company Ltd. 简称BTP)从事以生物质谱为依托的生物药物表征,大分子物质(包括蛋白质、多肽、代谢物)质谱分析以及小分子物质检测服务。
1、公司采用ISO9001质量控制体系,专业提供以质谱为基础的CRO检测分析服务;
2、获国家CNAS实验室认可,为客户提供符合全球药政法规的药物质量研究服务;
3、业务范围覆盖蛋白质组学、多肽组学、代谢组学、生物药物表征、单细胞分析、单细胞质谱流式、生信云分析以及多组学生物质谱整合分析等;
4、7大质量控制检测平台,满足您一站式服务需求;
5、服务3000+企业,10000+客户的选择!

风险提示:丁香通仅作为第三方平台,为商家信息发布提供平台空间。用户咨询产品时请注意保护个人信息及财产安全,合理判断,谨慎选购商品,商家和用户对交易行为负责。对于医疗器械类产品,请先查证核实企业经营资质和医疗器械产品注册证情况。
文献和实验即含有不饱和键的脂肪酸,如亚油酸(十八碳二烯-9,12酸)为双烯脂肪酸,亚麻酸(十八碳三烯一9,12,15酸)和γ亚麻酸(十八碳三烯-b,9,12酸)为三烯脂肪酸,花生四烯酸(一二十碳四烯-5,8,11,14酸)为四烯脂肪酸。亚油酸、亚麻酸及花生四烯酸等含不饱和键较多的脂肪酸在人体内不易合成,必须由食物供应,它们是营养必需的脂肪酸,对防治动脉粥样硬化有一定的意义。
) 7 COOH 桐油酸(9,11,13-十八碳三烯酸) CH 3 (CH 2 ) 3 (CH=CH) 3 (CH 2 ) 7 COOH 花生四烯酸(5,8,11,14-二十碳四烯酸) CH 3 (CH2) 3 (CH 2 CH=CH) 4 (CH 2 ) 3 COOH 神经酸(15-二十
2.89 0.86 另外,蛋黄磷脂和大豆磷脂配位的脂肪酸不同:在蛋黄磷脂中R1几乎是饱和脂肪酸,R2通常是不饱和脂肪酸,而大豆卵磷脂R1和R2是饱和酸和不饱和酸混合配位。蛋黄磷脂的脂肪酸组分大多为棕榈酸、油酸,其次为硬脂酸、亚油酸,并且还含有微量花生四烯酸和二十二碳六烯酸等近年来备受关注的多不饱和脂肪酸及奇数碳脂肪酸(如十七烷酸)等;大豆磷脂中亚油酸约占50%,几乎不含C20以上的脂肪酸。(三) 磷脂类型差异两者所含磷脂组分有异。与大豆磷脂相比,蛋黄











