相关产品推荐更多 >
万千商家帮你免费找货
0 人在求购买到急需产品
- 详细信息
- 文献和实验
- 技术资料
- 供应商:
上海西格
- 库存:
54
- 样本:
Acid Phosphatase (ACP) Colorimetric Assay Kit
- 标记物:
详见说明书
- 适应物种:
详见说明书
- 应用:
酶标仪
- 检测方法:
酶标仪
- 检测范围:
1.40-40 U/100 mL
- 规格:
48T/32样,96T/80样
中文名: 酸性磷酸酶(ACP)比色法测试盒
检测原理
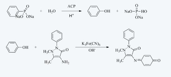
酸性磷酸酶在酸性条件下分解磷酸苯二钠产生游离酚和磷酸,酚在碱性溶液中与4-氨基安替比林作用成红色醌的衍生物,根据红色深浅测出酶活力的高低。

关键信息
指标简称 ACP
样本类型 血清(浆)、胸水、尿液、细胞、细胞上清、各种动物组织
灵敏度 1.40 U/100 mL
检测范围 1.40-40 U/100 mL
精密度 批间差:9.4%批内差:2.1%
检测仪器及波长 酶标仪(510-530 nm,最佳检测波长520 nm)
保存条件 2-8℃
有效期 3个月
应用领域
酸性磷酸酶检测试剂盒已用于确定血清中酸性磷酸酶的浓度。
样本稀释倍数
在正式检测前,需选择样本之间差异较大的2-3例稀释成不同浓度进行预实验

优点如下:
1、快速简便:全程约50分钟,可测100例左右样本。
2、取样量微:本法取手指或耳垂等末梢血20ul~50ul即可测红细胞中的SOD,只需2ml静脉血可测白细胞中的SOD及血小板中SOD,只需50mg左右组织就可测组织匀浆、胞浆中的SOD,0.2g组织可测线粒体及微粒体中的SOD。
3、灵敏度高:IC50=0.05g/ml,是邻苯三酚法的18倍。
4、稳定性好:试剂盒2~8℃存放6个月有效。
5、再现性好:变异系数CV=1.7%。
6、回收试验: X =103.3%。
7、受外界影响因素小:干扰因素少,重复性强。
8、测试面广:可测动物血液、组织、各种体液、灌流液等、各种培养细胞、细菌、植物组织、各种水产以及化妆品、保健品等,效果均佳。
仪器:
1、分光光度计/酶标仪/半自动生化分析仪(比色测定波长为550nm)
2、恒温水浴箱或气浴箱 (孵育温度为37℃)
3、台式离心机
4、漩涡混匀器
5、微量移液器
样本收集与前处理:
血清(浆)可直接测定。
红细胞:需按照试剂盒中说明书上红细胞的测定方法进行提取后测定。
动物组织样本:可用生理盐水按重量体积比制备成组织匀浆液,离心取上清测定。
培养细胞、细菌、植物组织:常用PBS作为匀浆介质破碎后离心取上清测定。
具体的样本前处理:参考我们随货发送的《实验方法学》以及试剂盒中详细说明书。
操作流程:
1、按步骤加入样本和试剂
2、漩涡混匀,37℃孵育40分钟
3、加入显色剂显色,室温静置10分钟
4、550nm波长,1cm光径,比色
人铁调素(Hepc)酶联免疫吸附测定试剂盒 别称:HAMP, Hepcidin Antimicrobial Peptide Human Hepc(Hepcidin) ELISA Kit 用途 该试剂盒用于体外定量检测Human 血清,血浆或其他生物体液中天然及部分重组Hepc浓度
人转化生长因子β3(TGF-β3)酶联免疫吸附测定试剂盒 别称:TGFB3, ARVD, ARVD1, RNHF, TGF-beta3, Transforming growth factor, beta 3, LDS5, transforming growth factor beta 3 Human TGF-β3(Transforming Growth Factor Beta 3) ELISA Kit 用途 该试剂盒用于体外定量检测人血清、血浆或其他相关生物液体中天然及部分重组TGF-β3浓度。
X-α-gal 25mg /2mg 4-Aminophenylarsonic acid94-胂酸
Yeast extract 酵母粉 0g Furosemide541
YNB 无氨基酸酵母氮源 0g Ethyl 3-(4-(methylamino)-nitro-N-(pyridin-yl)benzamido)propanoate4296591
Zeocin 博来霉素 1ml 8-Bromo-(but-yn-yl)-methylH-purine,6(3H,7H)-dione6668168
α-NAA/α-萘乙酸 5g 2-(Chloromethyl)-methylquinazoline91132
酸性磷酸酶(ACP)比色法测试盒小鼠白介素 -10 (mouse IL-10) 作用: ELISA 规格: 96T 法国 Diaclone Cabozantinib 中文名:卡博替尼 分子式:C28H24FN3O5
小鼠白介素 -1 a (mouse IL-1 a ) 作用: ELISA 规格: 96T 奥地利 Bender Azathioprine 中文名:硫唑嘌呤 分子式:C9H7N7O2S
小鼠白蛋白 英文名称: Albumin 规格: 48T/96T 英文缩写: ALB Dexamethasone 21-phosphate di salt 中文名:地塞米松磷酸钠 分子式:C22H30FO8P
小鼠八聚体结合转录因子4(OCT4)ELISA试剂盒 96T/48T 试剂盒 组装/原装 Candesartan 中文名:坎地沙坦 分子式:C24H20N6O3 度:98.0%
小鼠癌胚抗原elisa试剂盒 小鼠癌胚抗原试剂盒 规格型号:96T/48T 小鼠癌胚抗原试剂盒,规格型号:96T/48T,来源:elisa试剂盒(进口分装),产品别名:小鼠癌胚抗原试剂盒、小鼠癌胚抗原elisa试剂盒 保存条件:2-8℃ 保质期:6个月。 Bupivacaine 18010-40-7 中文名:盐酸布比卡因 分子式:C18H29ClN2O 度:98.0% 关键词:
风险提示:丁香通仅作为第三方平台,为商家信息发布提供平台空间。用户咨询产品时请注意保护个人信息及财产安全,合理判断,谨慎选购商品,商家和用户对交易行为负责。对于医疗器械类产品,请先查证核实企业经营资质和医疗器械产品注册证情况。
文献和实验目的要求 1.熟悉酸性磷酸酶显示方法的原理及操作步骤 2.观察酸性磷酸酶在细胞中的分布 基本原理 酸性磷酸酶(acid phosphatase,ACP)主要存在于巨噬细胞,定位于溶酶体内。在溶酶体膜稳定完整时,底物不易渗入,ACP活力微弱或无活性,经固定,在合适pH条件下,膜本身变为不稳定,逐渐改变其渗透性,底物可以渗入,酶活力被显示。 ACP在酸性条件
酸性磷酸酶金属盐―铅法 酸性磷酸酶(acid phosphatase,ACP)广泛分布于机体各种组织细胞内,主要存在于细胞的溶酶体内.常作为溶酶体标志酶,此外,还存在于内质网和胞质内。在组织退行性变、核酸和蛋白质代谢活动增加时,酸性磷酸酶活性增强。酸性磷酸酶还参与酯类代谢。因此,它在疾病、免疫反应和细胞损伤与修复过程中具有一定生物学意义。 其基本原理是在酸性环境下,底物p―甘油磷酸钠被酸性磷酸酶水解,释放出磷酸,磷酸遇铅离子则生成磷酸铅沉淀,最后与硫化铵作用形成棕褐色硫化铅沉淀。其反应
Lowry比色法是蛋白质测定最灵敏的方法之一。过去此法是应用最广泛的一种方法,由于其试剂乙的配制较为困难(现在已可以订购),近年来逐渐被考马斯亮兰法所取代。此法的显色原理与双缩脲方法是相同的,只是加入了第二种试剂,即Folin—酚试剂,以增加显色量,从而提高了检测蛋白质的灵敏度。这两种显色反应产生深兰色的原因是:在碱性条件下,蛋白质中的肽键与铜结合生成复合物。Folin—酚试剂中的磷钼酸盐—磷钨酸盐被蛋白质中的酪氨酸和苯丙氨酸残基还原,产生深兰色(钼兰和钨兰的混合物)。在一定的条件下,兰
技术资料暂无技术资料 索取技术资料










