相关产品推荐更多 >
万千商家帮你免费找货
0 人在求购买到急需产品
- 详细信息
- 文献和实验
- 技术资料
- 库存:
18
- 英文名:
Phosphodiesterase I from Crotalus adamanteus venom
- CAS号:
9025-82-5
- 保质期:
2年
- 供应商:
上海联迈生物工程有限公司
- 保存条件:
-20℃
- 规格:
100U
- 英文名:
- Phosphodiesterase I from Crotalus adamanteus venom
- 别名:
- 磷酸二脂酶;磷酸二酯酶
- CAS号:
- 9025-82-5
- MDL:
- MFCD00131883

- 活力定义:One Unit hydrolyzes one micromole of p-nitrophenyl thymidine-5-phosphate per minute at 25℃, pH 8.9.
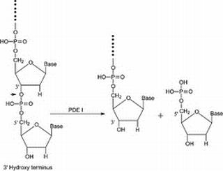
- 产品描述:Venom exonuclease (Phosphodiesterase I) successively hydrolyzes 5'-mononucleotides from 3'-OH-terminated ribo- and deoxyribo-oligonucleotides. The enzyme has an optimal pH range of 9.8-10.4 and a molecular weight of 115 kDa. Phosphodiesterase is inhibited by reducing agents such as glutathione, cysteine and ascorbic acids. It is completely inhibited by 5mM EDTA while ATP, ADP and AMP are partial inhibitors. The enzyme has an absolute requirement for Mg2+
- 外观: 色或类白色粉末
- 储存条件: -20℃
- 用途: Phosphodiesterase (PDE) is any enzyme that is used to breaks phosphodiester bonds. It is a membrane-bound glycoprotein that is used to catalyze the hydrolysis of various nucleotide polyphosphates. Phosphodiesterase I is used in phosphodiesterase acti
- 注意:部分产品我司仅能提供部分信息,我司不保证所提供信息的权威性,仅供客户参考交流研究之用。
风险提示:丁香通仅作为第三方平台,为商家信息发布提供平台空间。用户咨询产品时请注意保护个人信息及财产安全,合理判断,谨慎选购商品,商家和用户对交易行为负责。对于医疗器械类产品,请先查证核实企业经营资质和医疗器械产品注册证情况。
文献和实验熟悉了。 neweastbio 如何定量检测cAMP和cGMP 背景介绍 1958年Sutherland发现了cAMP(环磷酸腺苷),并因此获得了1971年诺贝尔生理与医学奖[1].1963年Ashman发现了cGMP(环磷酸鸟苷)[2]。50年过去了,人们已明白cAMP、cGMP是在很多生理过程中发挥重要调节作用的第二信使分子。鸟苷酸环化酶可将GTP催化生成cGMP,cGMP可以被磷酸二酯酶水解成GDP。激活鸟苷
104dpm, we recur: 14.91 x 104 ---------------------- x 100% = 82.3% incorporation 18.12 x 104 0.823 x 22ng = 18.1ng DNA synthesized Thus, the specific activity is: 14.91 x 104dpm x 20 x 50
alkali gradually and to control pH; do not treat by DEPC. EtBr Ethidium bromide, C21 H20 N3 Br; Mw=394.3g/M; (store at NT in the dark); Conc. 5ml 10ml 50ml EtBr 10mg/ml 50mg 100mg 500mg soluble
技术资料暂无技术资料 索取技术资料









