相关产品推荐更多 >
万千商家帮你免费找货
0 人在求购买到急需产品
- 详细信息
- 文献和实验
- 技术资料
- 库存:
大量
- 英文名:
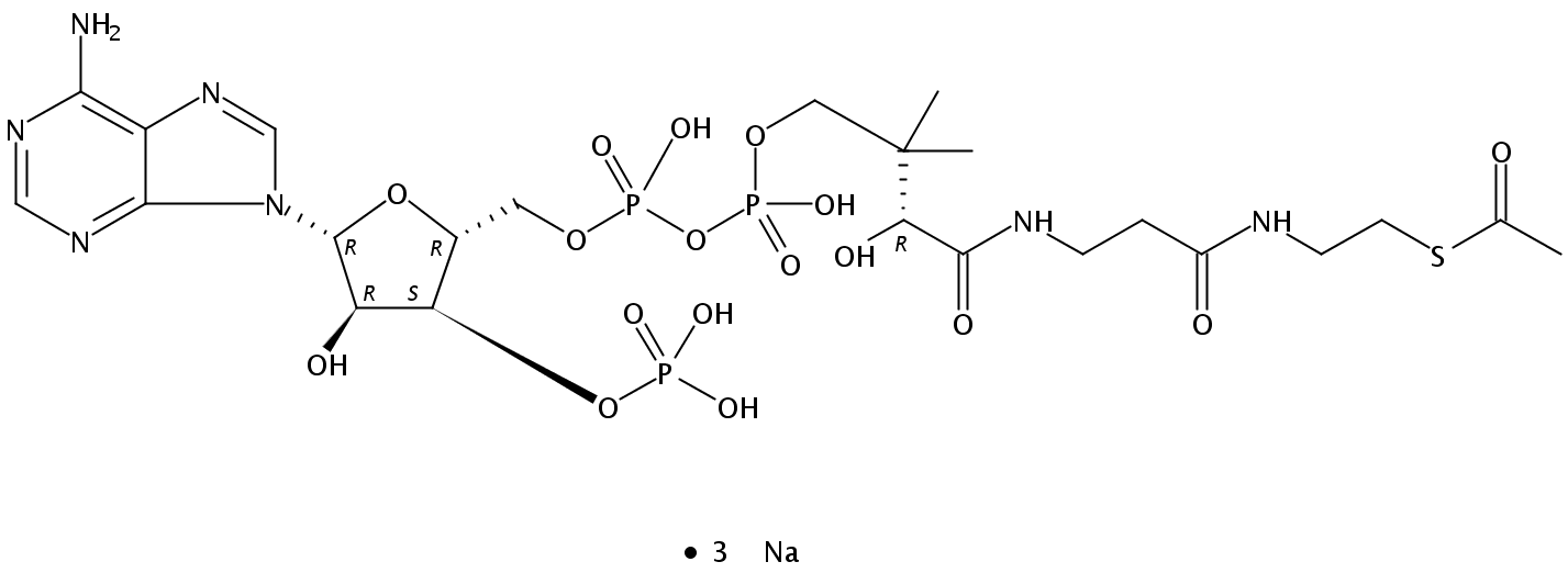
Acetyl coenzyme A sodium salt;Acetyl CoA
- 保质期:
2年
- 供应商:
上海联迈生物工程有限公司
- 保存条件:
RT
- 规格:
瓶
| [产品编号] | LM1016M | |
| [CAS号] | 102029-73-2 | |
| [规格] | BR,93% | |
| [包装] | 5毫克/10毫克/
|
|
| [到货期] | 现货 |
英文名称:Acetyl coenzyme A sodium salt;Acetyl CoA
其他名称:乙酰辅酶A钠盐
CAS号:102029-73-2
C23H38N7O17P3S=809.57
级别:BR
纯度:≥93%
性状(以下信息仅供参考):白色粉末。溶于水。在pH值为3.5~5.0的溶液中,在100℃加热15min也不分解
用途:本品仅供科研,不得用于其它用途。(以下用途仅供参考)用于检测CAT活性。辅酶A的乙酰化衍生物,可以认为是活化的乙酸,在许多代谢反应(如三羧酸循环、脂肪酸氧化等)中起关键性作用。它是脂质生物合成的关键前体物质,是所有脂肪酸的来源,正向调控羧化酶。
保存:-20℃
风险提示:丁香通仅作为第三方平台,为商家信息发布提供平台空间。用户咨询产品时请注意保护个人信息及财产安全,合理判断,谨慎选购商品,商家和用户对交易行为负责。对于医疗器械类产品,请先查证核实企业经营资质和医疗器械产品注册证情况。
文献和实验2F+DwTquooTcizAj6Sh40arj1e+iWJ2ispgsbT801bWi9OaaVDQ0u7N9Rf22Q7je3ypEkT/aXtAx/4gHh20RbetchuWXizve3YY/3L0LGHHqt8Cva+97zf/vEfvyYb4imWXpTxLz8m4rvgjodswc3X26Xnn2o3LbjZPv/Fv5GGuGa33/ZzO2n2HD17NAEWeUXwmQh44uy32U+uutL+69e+6jjedfsddvSxx3m8xNNFQ67wipqQKHyESZ35
5+YiLLj4HREBXstjztk7uH3PDncf2sPhxRlMq6wGF+vZ2OlE8VGoBH85gWn/XYBn2ck48eAqDu+xwjbrU7h2Zz2aZ3fD6YWWeBFuzJv2yfAMMyYBFj4y5r7yqpgAE0jPBFRyolzbpihAeo1X9z5K2o2YlqOUxRTN25rQLQ+8+x4oVfFzvgFHklZM2raEadaIsxjVfI0wedUizB5fB7r8yR8TTr6mQAL8FlQgbB6KCTABJiAfgWD8ev0cIrh
质乙酰化修饰研究进展)目前,对于 p53 的乙酰化修饰已经研究得较为清楚,在 p300/CBP 的催化下,p53 的 C 端 DNA 结合调控区域上发生多个赖氨酸位点的乙酰化修饰,从而激活 p53 上特异 DNA 结合区域的活化。还比如 AP-1,ATF-5,BMAL1,CBP,Cytokeratin,E2F-4,EF-1,HMG-1,Hsp90,Hsp70,ku-70,stat3,Ub,NF-E4,NF-Kb-p65 P73,Nrf2,P300,PTEN,Ref-1 等,修饰后的蛋白质可以对细胞
技术资料暂无技术资料 索取技术资料









