相关产品推荐更多 >
万千商家帮你免费找货
0 人在求购买到急需产品
- 详细信息
- 文献和实验
- 技术资料
- 库存:
59
- 英文名:
(-)-Syring丝绒自作主张aresnol-4-O-β-D-apiofuranosyl-(1→2)-β-D-glucopyranoside
- 保质期:
详见说明书
- 供应商:
上海研生
- 保存条件:
低温冷藏
- 规格:
20mg/50mg/1g,可按客户需求包装!
1.产品优势:高效稳定的专业纯化技术,完善的库存及供应体系,高效的销售团队。
2.包装规格:常规包装,如有特殊需求,我们根据客户要求包装。
3.运输方式:默认中通快递,大宗货物走德邦物流。
4.质量保证:严格的质量控制,通过全面的检测,是产品质量保证的基础。如有异议经我司确认可无条件退换货。
5.存储条件:本品应密封遮光,贮存在干燥、阴凉处。
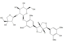
产品名称 (-)-丁香树脂酚-4-O-Β-D-呋喃芹糖基-(1→2)-Β-D-吡喃葡萄糖苷
英文名称 (-)-Syringaresnol-4-O-β-D-apiofuranosyl-(1→2)-β-D-glucopyranoside
CAS NO. 1369
分 子 量 712.7
纯 度 ≥98%

性状: 类白色结晶粉末
规格: 20mg/50mg/1g,可按客户需求包装!
用途: 用于科研研究、鉴定、药理实验等
熔点: 119-121 °C
溶解性: 可溶于甲醇、乙醇、DMSO等有机溶剂;
提取来源: 合欢皮
药理药效: -)-丁香树脂酚-4-O-Β-D-呋喃芹糖基-(1→2)-Β-D-吡喃葡萄糖苷具有催眠作用
鉴别方法: NMR;Ms
检测方法: HPLC-UV::0.04磷酸溶液(18:82) λ:204nm(仅供参考)制备用30%甲醇制备,原料用水溶解或:水=20:80 波长=204nm
贮存条件: 低温冷藏,避光,密封,干燥
注意事项: 无
有效期限: 2年
供货能力: 现货,可根据可以客户需求批量定制
特点:是一种敏感性高,特异性强,重复性好的实验诊断方法,由于其试剂稳定、易保存,操作简便,结果判断较客观等因素,已广泛应用在免疫学检验的各领域中。
检测方式:相色谱法HPLC≥98%。
贮存条件:4℃冷藏、密封、避光。
包装:可根据客户需求提供相应批量包装。
用途:用于含量测定、鉴别、药理实验、活性筛选等。
.(-)-丁香树脂酚-4-O-Β-D-呋喃芹糖基-(1→2)-Β-D-吡喃葡萄糖苷购买注意事项:
2、购买时应注意麦冬皂苷D'标准品分子式、分子量及结构式,麦冬皂苷D'标准品CAS编码,以免发生误购。
3、不同的标准品、对照品应根据其理化性质、贮存要求的不同选择适宜的贮存环境和条件,分别置
于规定的位置。
4、 标准品、对照品购回后,检查外包装完好、封口严密、标签完好、清楚。
5、贮存环境:贮存在冰箱中。特殊品种要求严格按照规定的贮存条件妥善保存。
报告基因载体
Goat-Anti-Porcine IgG H&L
微小RNA靶基因表达载体
Goat-Anti-Camelid IgG H&L
酸钠溶液(3mol/L,pH6.0,RNase free)5mlELISA Kit for Transforming Growth Factor Beta Induced Protein (TGFbI)
酸钠溶液(3mol/L,pH7.0,RNase free)6mlELISA Kit for Transforming Growth Factor Beta IndFAIM1DNA PKcs猴子肾上腺髓质素(ADM)
FAIM2phospho-DNA PKcs (Ser2056)猴子神经型化合成酶(nNOS)
Flotillin 2phospho-DNA PKcs (Thr2609)猴子神经胶质纤维性蛋白(GFAP)
Factor IXDishevelled 2猴子凝血酶抗凝血酶复合物(TAT)
Factor XDefensin alpha 5猴子脑钠素/脑钠尿肽(BNP)
Factor XI light chainDTX2猴子内皮型化合成酶(eNOS)
Facto
(-)-丁香树脂酚-4-O-Β-D-呋喃芹糖基-(1→2)-Β-D-吡喃葡萄糖苷报告基因载体
Goat-Anti-Porcine IgG H&L
微小RNA靶基因表达载体
Goat-Anti-Camelid IgG H&L
酸钠溶液(3mol/L,pH6.0,RNase free)5mlELISA Kit for Transforming Growth Factor Beta Induced Protein (TGFbI)
酸钠溶液(3mol/L,pH7.0,RNase free)6mlELISA Kit for Transforming Growth Factor Beta Ind
仅供科研实验,不做其他用途!
关于标准品:
一)选择问题
标准品的选择原则包括物质稳定性以及参比物质和测定物质的同质性。
其次,在标准品选择时应该充分关注不同盐基、酸根的不同用途。
二)来源渠道多
其来源渠道一般包括:自制标准品;原料药精制提供;国外购进;直接在原料药基础上提高质量要求后进行对照。我司提供的标准品渠道正规,符合国家相关标准,请客户放心购买。
标准品的管理:
(一)接收
收到标准品后,应检查外包装是否完好密封,标签是否清晰完整,并及时填好相关贮存记录,记录信息要完整无缺,至少要包括产品名称、储存条件、存入日期、保质期、规格、批号、含量、数量、瓶号以及备注信息等。
(二)销毁
及时检查基准标准品是否过期,如有过期,需要收集起来及时做销货处理。
(三)使用
采用登记制度,如需要取用,则需要填写取用的产品名、对应的批号、数量、使用目的、取用人等相关详细的信息,以明确责任主体,保证能够查到标准品使用的来龙去脉。
(四)贮存
对于标准品的存放期间,要经常性的核查标准品是否失效,对于怕光怕热易挥发的标准品,是否密封实了,是否按照存放要求进行存放。
我司提供以下服务:
1中药提取物的定制和,中药提取物代加工相关服务。
2.中药高含量提取物的工业化高效分离及分离纯化
3.天然产物原料药和中间体的,定制(包括合成,半合成)
风险提示:丁香通仅作为第三方平台,为商家信息发布提供平台空间。用户咨询产品时请注意保护个人信息及财产安全,合理判断,谨慎选购商品,商家和用户对交易行为负责。对于医疗器械类产品,请先查证核实企业经营资质和医疗器械产品注册证情况。
文献和实验,并把朝前面的三个C-C键用粗实线表示。 对D型葡萄糖来说,直立环式右侧的羟基,在哈 斯式中处在环平面下方;直立环式中左侧的羟基,在环平面的上方。成环时,为了使 C-5上的羟基与醛基接近。C(4)-C(5)单键须旋转120°。因此,D型糖末端的羟甲基即在环平面的上方了。C-1上新形成的半缩醛羟基在环平面下方者为α型;在环平面上方者称为β型。 几种重要单糖的哈 沃斯式如下: 把具有呋喃环结构 的糖称为呋喃糖。 事实丰,形成吡喃环的各个原子,并不
由三分子单糖以糖苷键连结而组成的化合物之总称。天然存在的三糖,有龙胆属(龙胆)根中的龙胆三糖,广泛分布于甘蔗等的棉子糖,以及松柏类分泌的松三糖和车前属(Plantago)种子中分离出的车前三糖(Planteose)等。其他,作为多糖部分水解产物的有麦芽三糖等,是根据结构进行系统命名的。如:棉子糖命名为O-α-D-半乳糖吡喃基-(1→6)-α-D-葡糖吡喃基-β-D-果糖呋喃苷。这是以苷(-side)作为词尾,最后的单糖还原基参于糖苷键,也就是表示非还原性三糖。
具有粘性,所以称为粘多糖(又称氨基多糖0。粘多糖是结缔组织的主要成分,组织间质及腺体分泌的粘液中均含有。生物体内粘多糖往往与蛋白质结合成粘蛋白,粘蛋白分子常同时连接多外粘多糖,因而粘多糖的比例常超过蛋白质部分,因此粘蛋白又称为蛋白多糖。 1.透明质酸 透明质酸与蛋白质结合,存在于眼球玻璃体、角膜及脐带中,结缔组织中也含有。它与水形成粘稠凝胶,有润滑和保护细胞的作用。 透明质酸是由β-D-葡萄糖醛酸和N-乙酰基-D-氨基
技术资料暂无技术资料 索取技术资料










