相关产品推荐更多 >
万千商家帮你免费找货
0 人在求购买到急需产品
- 详细信息
- 文献和实验
- 技术资料
- 库存:
50
- 英文名:
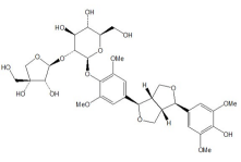
(-)-Syringaresnol-4-O-β-D-apiofuranosyl-(1→2)-β-D-glucopyranoside
- 保质期:
详见说明书
- 供应商:
上海博湖
- 保存条件:
低温冷藏
- 规格:
20mg/50mg/1g,可按客户需求包装!
1.色谱(高效液相色谱:薄层层析;气相色谱)
2. 质谱(液-质联用)
3. 光谱(红外、紫外),原子吸收
4. 测定(物理常数测定;旋光测定;不挥发物测定;干燥失重测定;蒸发或灼烧残渣测定)
5. 分析(含量分析;元素分析)
6. 滴定(酸性滴定;碱性滴定;配位滴定;非水滴定;氧化还原滴定)
7. 试验(与水混合试验;澄清度试验;各项化学反应试验
| 产品名称 | (-)-丁香树脂酚-4-O-Β-D-呋喃芹糖基-(1→2)-Β-D-吡喃葡萄糖苷 |
| CAS | |
| 规格 | 20mg/50mg/1g,可按客户需求包装 |
英文名称 (-)-Syringaresnol-4-O-β-D-apiofuranosyl-(1→2)-β-D-glucopyranoside
分 子 量: 712.7
CAS NO.:
纯 度: ≥98%
分子式: C33H44O17

性状: 类白色结晶粉末
规格: 20mg/50mg/1g,可按客户需求包装!
用途: 用于科研研究、鉴定、药理实验等
熔点: 119-121 °C
溶解性: 可溶于甲醇、乙醇、DMSO等有机溶剂;
提取来源: 合欢皮
药理药效: -)-丁香树脂酚-4-O-Β-D-呋喃芹糖基-(1→2)-Β-D-吡喃葡萄糖苷具有催眠作用
鉴别方法: NMR;Ms
检测方法: HPLC-UV::0.04磷酸溶液(18:82) λ:204nm(仅供参考)制备用30%甲醇制备,原料用水溶解或:水=20:80 波长=204nm
贮存条件: 低温冷藏,避光,密封,干燥
注意事项: 无
有效期限: 2年
供货能力: 现货,可根据可以客户需求批量定制
化学药品标准物质的分类:
1.按来源:
(1) 国际化学标准物质(WHO)
(2)美国药典标准物质(USPC,USP)
(3)欧式药典标准物质(EDQM,EP)
(4)日本药局标准物(PMRJ,JP)
(5)国家药品标准物质(NICPBP,CHP)
2.按测定方法和使用对象:
(1)生物标准物质
(2)化学标准物质(化学对照物质)
3.按使用要求:
(1)国际化学对照品
(2)国家化学对照品
(3)工作化学对照品
4.按用途:
(1)鉴别用化学对照品
(2)纯度或杂质检查用对照品
(3)含量测定用对照品
(4)标准仪器用对照
5.按药品使用对象:
(1)化学对照品
(2)中药化学对照品
(3)抗生素化学对照品
(4)麻醉药品化学对照品
公司优势:
(-)-丁香树脂酚-4-O-Β-D-呋喃芹糖基-(1→2)-Β-D-吡喃葡萄糖苷服务对象针对性强,我们的客户遍布各大高校、医院以及各科研单位,还包括性的企业;
服务体系完整,我们为客户提供周到的售前售后服务,以及相应的技术支持。
标准品或对照品的管理规范:
1.规范购入使用台账,严格表明购入时间、批号、来源、数量、使用期限等内容;申购的标准品或对照品的批号要与新颁布标准品或对照品批号相符;
2.严格按照规定条件进行储存,标准品或对照品的性状极不稳定,对储存条件和方式非常苛刻;
3.规范管理和使用:
(1)严格按照说明书要求,由于标准品或对照品的不稳定性,若不安产品说明书的要求操作,极易造成较大的误差,从而影响检测结果;
(2)称量精密准确,标准品和对照品的含量测定要求不同,对精密性的要求很高;
(3)对于长期贮存的制备品,应充分考虑各方面的影响因素,规范操作;
(4)同时配制两份对照溶液以控制检验误差,由于现在药品的标准含量测定方法较多采用对照比较法,在测定过程中,仅配制一份对照溶液容易造成因配制对照溶液过程出现偏差;
(5)自行标定的标准品或对照品,严格规范操作,保证标准的可靠传递,并保证其可溯源性和准确性。
我司经营范围:国家对照品标准物质、进口对照品、冶金标样、标准气体、药典对照品、标准菌种、实验室耗材、试剂盒等
MouseDehydroepiandrosteronesulfate,DHEA-SELISA试剂盒小鼠脱氢表雄同酯(DHEA-S)ELISA试剂盒规格:96T/48T 重楼皂苷F HPLC≥94% 20mg
小鼠纤连蛋白(FN)ELISA 试剂盒 96T/48T 试剂盒 组装/原装 五内脂 HPLC≥98% 20mg
Rat osteoprotegerin ligand (OPGL) ELISA Kit 大鼠骨保护素配体(OPGL)ELISA试剂盒 牛七碱 HPLC≥98% 20mg
Humandopaminedecarboxylase,DDCELISAKit 人多巴胺脱羧酶(DDC)ELISA试剂盒 96T/48T 进口分装 四氢丹参酮 I HPLC≥99% 20mg
ChickenHeatShockProtein60,HSP-60ELISA试剂盒鸡热休克蛋白60(Hsp-60)ELISA试剂盒规格:96T/48T 长春地辛 HPLC≥95% 20mg
载玻片细胞CDK2蛋白表达荧光显微镜检测试剂盒10/20 环氧长春碱,长春素 HPLC≥98% 20mg
MouseHeatShockProteinglycoprotein96,HSPgp96ELISAKit小鼠热休克蛋白糖蛋白96(HSPgp96)ELISA试剂盒规格:96T/48T 丁香亭O葡糖苷 HPLC≥98% 20mg
小鼠夏科雷登氏结晶蛋白(CLC)ELISA试剂盒 ,英文名: CLC ELISA Kit 氯化矢车菊素O槐糖苷 HPLC≥98% 20mg
兔热休克蛋白70(HSP-70)ELISA检测试剂盒RabbitHeatShockProtein70,HSP-70ELISAKit 96T/48T 菜籽甾醇 HPLC≥98% 20mg
牛胰岛素样生长因子1(IGF-1)免疫试剂盒 Bovine Insulin-like growth factor 1,IGF-1 ELISA Kit 丹参醇B HPLC≥98% 20mg
五内脂 HPLC≥98% 20mg 小鼠纤连蛋白(FN)ELISA 试剂盒 96T/48T 试剂盒 组装/原装
牛七碱 HPLC≥98% 20mg Rat osteoprotegerin ligand (OPGL) ELISA Kit 大鼠骨保护素配体(OPGL)ELISA试剂盒
四氢丹参酮 I HPLC≥99% 20mg Humandopaminedecarboxylase,DDCELISAKit 人多巴胺脱羧酶(DDC)ELISA试剂盒 96T/48T 进口分装
长春地辛 HPLC≥95% 20mg ChickenHeatShockProtein60,HSP-60ELISA试剂盒鸡热休克蛋白60(Hsp-60)ELISA试剂盒规格:96T/48T
环氧长春碱,长春素 HPLC≥98% 20mg 载玻片细胞CDK2蛋白表达荧光显微镜检测试剂盒10/20
丁香亭O葡糖苷 HPLC≥98% 20mg MouseHeatShockProteinglycoprotein96,HSPgp96ELISAKit小鼠热休克蛋白糖蛋白96(HSPgp96)ELISA试剂盒规格:96T/48T
氯化矢车菊素O槐糖苷 HPLC≥98% 20mg 小鼠夏科雷登氏结晶蛋白(CLC)ELISA试剂盒 ,英文名: CLC ELISA Kit
菜籽甾醇 HPLC≥98% 20mg 兔热休克蛋白70(HSP-70)ELISA检测试剂盒RabbitHeatShockProtein70,HSP-70ELISAKit 96T/48T
丹参醇B HPLC≥98% 20mg 牛胰岛素样生长因子1(IGF-1)免疫试剂盒 Bovine Insulin-like growth factor 1,IGF-1 ELISA Kit
断血流皂苷 A HPLC≥98% 20mg 英文名称HumanPhosphoinositide-3kinaseELISAKit人0脂酰肌醇三羟基激酶(PI3K)规格:96T/48T
(-)-丁香树脂酚-4-O-Β-D-呋喃芹糖基-(1→2)-Β-D-吡喃葡萄糖苷四甲基锡(>96.0%(GC)) Tetramethyltin 质量规格:>96.0%(GC) 人白介素1α(IL-1α)免疫试剂盒 Human IL-1α ELISA Kit
二氯二茂锆(>97.0%(T)) Zirconocene Dichloride 质量规格:>97.0%(T) 人白介素1β(IL-1β)免疫试剂盒 Human Ierleukin 1β ELISA Kit
Chirabite-AR[用于核磁共振] Chirabite-AR 质量规格:用于核磁共振 人白介素1β前体(pro-IL1B)免疫试剂盒 Human pro ierleukin 1 beta,pro-IL1B ELISA Kit
三(2,2,6,6-四甲基-3,5-庚二酮酸)镨(III)(>98%(T)) Tris(2,2,6,6-tetramethyl-3,5-heptanedionato)praseodymium(III) 质量规格:>98%(T) 人白介素-1β前体(Pro-IL-1β)免疫试剂盒 Human IL-1β Precursor,Pro-IL-1β ELISA Kit
三(2,2,6,6-四甲基-3,5-庚二酮酸)铕(III)(>95%(T)) Tris(2,2,6,6-tetramethyl-3,5-heptanedionato)europium(III) 质量规格:>95%(T) 人白介素1β转换酶(ICE)ELISA检测试剂盒HumanIerleukin1βconveingenzyme,ICEELISAKit 96T/48T
三(6,6,7,7,8,8,8-七氟-2,2-二甲基-3,5-辛二酮基)镨(Ⅲ)(>97.0%(T)) Tris(6,6,7,7,8,8,8-heptafluoro-2,2-dimethyl-3,5-octanedionato)praseodymium(III) 质量规格:>97.0%(T) 人白介素1β转换酶(ICE)免疫试剂盒 Human Ierleukin 1β conveing enzyme,ICE ELISA Kit
(S)-(+)-1,1'-联萘基-2,2'-双氢酯(>97.0%(T)) (S)-(+)-1,1'-Binaphthyl-2,2'-diyl Hydrogen Phosphate 质量规格:>97.0%(T) 人白介素1可溶性受体Ⅰ(IL-1sRⅠ)免疫试剂盒 Human IL-1sRⅠ ELISA kit
(R,R)-(-)-2,3-丁二醇(>96.0%(GC)) (R,R)-(-)-2,3-Butanediol 质量规格:>96.0%(GC) 人白介素1可溶性受体Ⅱ(IL-1sRⅡ)免疫试剂盒 Human IL-1sRⅡ ELISA kit
(S,S)-(+)-2,3-丁二醇(>97.0%(GC)) (S,S)-(+)-2,3-Butanediol 质量规格:>97.0%(GC) 人白介素1受体拮抗剂(IL1Ra)免疫试剂盒 Human IL1Ra ELISA kit
(-)-樟脑烷酸(>98.0%(T)) (-)-Camphanic Acid 质量规格:>98.0%(T) 人白介素1受体相关激酶1(IRAK1)免疫试剂盒 Human Ierleukin-1 receptor-associated kinase 1,IRAK1 ELISA Kit
人白介素18(IL-18)免疫试剂盒 Human IL-18 ELISA KIT 重水 99.8原子%D Deuterium Oxide 99.8atom%D 质量规格:99.8原子%D
人白介素18结合蛋白(IL-18BP)免疫试剂盒 Human IL-18BP ELISA Kit 3-(三甲基硅基)-1-丙磺酸钠(>98.0%(T)) Sodium 3-(Trimethylsilyl)-1-propanesulfonate 质量规格:>98.0%(T)
人白介素19(IL-19)免疫试剂盒 Human IL-19 ELISA Kit 二甲基硒(>98.0%(GC)) Dimethylselenide 质量规格:>98.0%(GC)
人白介素1α(IL-1α)免疫试剂盒 Human IL-1α ELISA Kit 四甲基锡(>96.0%(GC)) Tetramethyltin 质量规格:>96.0%(GC)
人白介素1β(IL-1β)免疫试剂盒 Human Ierleukin 1β ELISA Kit 二氯二茂锆(>97.0%(T)) Zirconocene Dichloride 质量规格:>97.0%(T)
人白介素1β前体(pro-IL1B)免疫试剂盒 Human pro ierleukin 1 beta,pro-IL1B ELISA Kit Chirabite-AR[用于核磁共振] Chirabite-AR 质量规格:用于核磁共振
人白介素-1β前体(Pro-IL-1β)免疫试剂盒 Human IL-1β Precursor,Pro-IL-1β ELISA Kit 三(2,2,6,6-四甲基-3,5-庚二酮酸)镨(III)(>98%(T)) Tris(2,2,6,6-tetramethyl-3,5-heptanedionato)praseodymium(III) 质量规格:>98%(T)
人白介素1β转换酶(ICE)ELISA检测试剂盒HumanIerleukin1βconveingenzyme,ICE 96T/48T 三(2,2,6,6-四甲基-3,5-庚二酮酸)铕(III)(>95%(T)) Tris(2,2,6,6-tetramethyl-3,5-heptanedionato)europium(III) 质量规格:>95%(T)
人白介素1β转换酶(ICE)免疫试剂盒 Human Ierleukin 1β conveing enzyme,ICE ELISA Kit 三(6,6,7,7,8,8,8-七氟-2,2-二甲基-3,5-辛二酮基)镨(Ⅲ)(>97.0%(T)) Tris(6,6,7,7,8,8,8-heptafluoro-2,2-dimethyl-3,5-octanedionato)praseodymium(III) 质量规格:>97.0%(T)
人白介素1可溶性受体Ⅰ(IL-1sRⅠ)免疫试剂盒 Human IL-1sRⅠ ELISA kit (S)-(+)-1,1'-联萘基-2,2'-双氢酯(>97.0%(T)) (S)-(+)-1,1'-Binaphthyl-2,2'-diyl Hydrogen Phosphate 质量规格:>97.0%(T)
风险提示:丁香通仅作为第三方平台,为商家信息发布提供平台空间。用户咨询产品时请注意保护个人信息及财产安全,合理判断,谨慎选购商品,商家和用户对交易行为负责。对于医疗器械类产品,请先查证核实企业经营资质和医疗器械产品注册证情况。
文献和实验,并把朝前面的三个C-C键用粗实线表示。 对D型葡萄糖来说,直立环式右侧的羟基,在哈 斯式中处在环平面下方;直立环式中左侧的羟基,在环平面的上方。成环时,为了使 C-5上的羟基与醛基接近。C(4)-C(5)单键须旋转120°。因此,D型糖末端的羟甲基即在环平面的上方了。C-1上新形成的半缩醛羟基在环平面下方者为α型;在环平面上方者称为β型。 几种重要单糖的哈 沃斯式如下: 把具有呋喃环结构 的糖称为呋喃糖。 事实丰,形成吡喃环的各个原子,并不
由三分子单糖以糖苷键连结而组成的化合物之总称。天然存在的三糖,有龙胆属(龙胆)根中的龙胆三糖,广泛分布于甘蔗等的棉子糖,以及松柏类分泌的松三糖和车前属(Plantago)种子中分离出的车前三糖(Planteose)等。其他,作为多糖部分水解产物的有麦芽三糖等,是根据结构进行系统命名的。如:棉子糖命名为O-α-D-半乳糖吡喃基-(1→6)-α-D-葡糖吡喃基-β-D-果糖呋喃苷。这是以苷(-side)作为词尾,最后的单糖还原基参于糖苷键,也就是表示非还原性三糖。
具有粘性,所以称为粘多糖(又称氨基多糖0。粘多糖是结缔组织的主要成分,组织间质及腺体分泌的粘液中均含有。生物体内粘多糖往往与蛋白质结合成粘蛋白,粘蛋白分子常同时连接多外粘多糖,因而粘多糖的比例常超过蛋白质部分,因此粘蛋白又称为蛋白多糖。 1.透明质酸 透明质酸与蛋白质结合,存在于眼球玻璃体、角膜及脐带中,结缔组织中也含有。它与水形成粘稠凝胶,有润滑和保护细胞的作用。 透明质酸是由β-D-葡萄糖醛酸和N-乙酰基-D-氨基
技术资料暂无技术资料 索取技术资料









