万千商家帮你免费找货
0 人在求购买到急需产品
- 详细信息
- 技术资料
- 库存:
31
- 英文名:
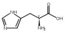
L-Histidine
- CAS号:
71-00-1
- 保质期:
详见说明书
- 供应商:
上海博湖
- 保存条件:
低温冷藏
- 规格:
20mg/50mg/1g,可按客户需求包装!
技术:
1.色谱(高效液相色谱:薄层层析;气相色谱)
2. 质谱(液-质联用)
3. 光谱(红外、紫外),原子吸收
4. 测定(物理常数测定;旋光测定;不挥发物测定;干燥失重测定;蒸发或灼烧残渣测定)
5. 分析(含量分析;元素分析)
6. 滴定(酸性滴定;碱性滴定;配位滴定;非水滴定;氧化还原滴定)
7. 试验(与水混合试验;澄清度试验;各项化学反应试验
产品名称 组氨酸、L-组氨酸71-00-1
英文名称 L-Histidine
分 子 量: 155.15
CAS NO.: 71-00-1
纯 度: ≥98%
分子式: C6H9N3O2

性状: 无色片状或针状结晶
规格: 20mg/50mg/1g,可按客户需求包装!
用途: 用于科研研究、鉴定、药理实验等
熔点: 287°C
溶解性: 可溶于甲醇、乙醇、DMSO等有机溶剂;
提取来源: 胡卢巴Trigonellafoenum-graecum.
药理药效: 组氨酸用于胃及十二指肠溃疡
鉴别方法: NMR;Ms
检测方法: HPLC
贮存条件: 低温冷藏,避光,密封,干燥
注意事项: 无
有效期限: 2年
供货能力: 现货,可根据可以客户需求批量定制
化学药品标准物质的分类:
1.按来源:
(1) 国际化学标准物质(WHO)
(2)美国药典标准物质(USPC,USP)
(3)欧式药典标准物质(EDQM,EP)
(4)日本药局标准物(PMRJ,JP)
(5)国家药品标准物质(NICPBP,CHP)
2.按测定方法和使用对象:
(1)生物标准物质
(2)化学标准物质(化学对照物质)
3.按使用要求:
(1)国际化学对照品
(2)国家化学对照品
(3)工作化学对照品
4.按用途:
(1)鉴别用化学对照品
(2)纯度或杂质检查用对照品
(3)含量测定用对照品
(4)标准仪器用对照
5.按药品使用对象:
(1)化学对照品
(2)中药化学对照品
(3)抗生素化学对照品
(4)麻醉药品化学对照品
公司优势:
组氨酸、L-组氨酸71-00-1服务对象针对性强,我们的客户遍布各大高校、医院以及各科研单位,还包括性的企业;
服务体系完整,我们为客户提供周到的售前售后服务,以及相应的技术支持。
标准品或对照品的管理规范:
1.规范购入使用台账,严格表明购入时间、批号、来源、数量、使用期限等内容;申购的标准品或对照品的批号要与新颁布标准品或对照品批号相符;
2.严格按照规定条件进行储存,标准品或对照品的性状极不稳定,对储存条件和方式非常苛刻;
3.规范管理和使用:
(1)严格按照说明书要求,由于标准品或对照品的不稳定性,若不安产品说明书的要求操作,极易造成较大的误差,从而影响检测结果;
(2)称量精密准确,标准品和对照品的含量测定要求不同,对精密性的要求很高;
(3)对于长期贮存的制备品,应充分考虑各方面的影响因素,规范操作;
(4)同时配制两份对照溶液以控制检验误差,由于现在药品的标准含量测定方法较多采用对照比较法,在测定过程中,仅配制一份对照溶液容易造成因配制对照溶液过程出现偏差;
(5)自行标定的标准品或对照品,严格规范操作,保证标准的可靠传递,并保证其可溯源性和准确性。
我司经营范围:国家对照品标准物质、进口对照品、冶金标样、标准气体、药典对照品、标准菌种、实验室耗材、试剂盒等
人弹性蛋白酶(Elastase)免疫试剂盒 Human Elastase ELISA Kit 黄嘌呤氧化酶(XOD) Xanthine Oxidase from bovine milk 质量规格:BR,>7U/MG, powder
Ratplateletactivatingfactor,PAFELISAKit大鼠血小板活化因子(PAF)ELISA试剂盒规格:96T/48T 酰化酶,L-氨基酰化酶 Acylase from Aspergilus sp. 质量规格:酶活力≥30000u/g
GST融合蛋白THROMBIN酶切试剂盒10(500微克/) 胰蛋白酶1:250 Trypsin 1:250 fromPorcine pancreas 质量规格:>250U/mg,BR
Mousethrombusprecursorprotein,TpPELISA试剂盒小鼠血栓前体蛋白(TpP)ELISA试剂盒规格:96T/48T 胰蛋白酶1:2500 Trypsin 1:2500 from Porcine pancreas 质量规格:>2500U/MG
小鼠抗线粒体抗体(AMA)ELISA试剂盒 ,英文名: AMA ELISA Kit 阿利苯多 Alibendol 质量规格:>98%,BR
大鼠骨成型蛋白7(BMP-7)ELISA检测试剂盒RatBonemorphogeneticprotein7,BMP-7ELISAKit 96T/48T 核糖核酸酶A(美仑);RNase A;核糖核酸酶I Ribonuclease A from bovine pancreas 质量规格:≥50 U/mg,美仑
人弹性蛋白(ELN)免疫试剂盒 Human Elastin,ELN ELISA Kit 5‘-吡哆醛,一水 Pyridoxal 5-phosphate 质量规格:>98%,BR
RatplateletaibodiesIgG/M/A,PA-IgG/M/AELISAKit大鼠抗血小板抗体IgG/M/A(PA-IgG/M/A)ELISA试剂盒规格:96T/48T NADPH;还原辅酶Ⅱ四钠盐;(罗氏) Coenzyme II reduced tetrasodium salt(NADPH) 质量规格:>95%,罗氏进分
GST融合蛋白THROMBIN酶切完全试剂盒10(500微克/) NADPH;还原辅酶Ⅱ四钠盐;(美仑) Coenzyme II reduced tetrasodium salt(NADPH) 质量规格:>97%,国产美仑
MouseThyroglobulin,TGELISA试剂盒小鼠甲状腺球蛋白(TG)ELISA试剂盒规格:96T/48T 葡萄糖氧化酶 Glucose oxidase 质量规格:BR,>200U/mg
人单胺氧化酶(MAO)免疫试剂盒 Human monoamine oxidase,MAO ELISA Kit 寡霉素 Oligomycin, from Streptomyces 质量规格:>92%,进分
人单疱疹病毒Ⅰ+Ⅱ型(HSVⅠ+Ⅱ)抗体(IgG)免疫试剂盒 Human herpes simplexvirus Ⅰ+Ⅱ(HSVⅠ+Ⅱ)aibody(IgG)ELISA kit 呱西替柳(标准品) Guacetisal 质量规格:含量测定
人单疱疹病毒Ⅰ+Ⅱ型(HSVⅠ+Ⅱ)抗体(IgM)免疫试剂盒 Human herpes simplexvirus Ⅰ+Ⅱ(HSVⅠ+Ⅱ)aibody(IgM)ELISA kit 瓜子金皂苷己(标准品) Polygalasaponin F 质量规格:HPLC≥98%,标准品
人单疱疹病毒Ⅰ型(HSVⅠ)抗体(IgG)免疫试剂盒 Human herpes simplexvirus Ⅰ(HSVⅠ)aibody(IgG)ELISA Kit 瓜子金皂苷己 HPLC≥98% 20mg
人单疱疹病毒Ⅰ型(HSVⅠ)抗体(IgM)免疫试剂盒 Human herpes simplexvirus Ⅰ(HSVⅠ)aibody(IgM)ELISA kit 瓜子金皂苷XXXI(对照品) Polygalasaponin XXXI 质量规格:HPLC≥98%,标准品
人单疱疹病毒Ⅱ型抗体IgG(HSVⅡ-Ab)免疫试剂盒 Human Herpes simplexvirus Ⅱ IgG aibody,HSVⅡ-Ab ELISA Kit 瓜子金皂苷XXXI HPLC≥98% 20mg
人单疱疹病毒Ⅱ型抗体IgM(HSVⅡ-Ab)免疫试剂盒 Human Herpes simplexvirus Ⅱ IgM aibody,HSVⅡ-Ab ELISA Kit 瓜子金皂苷V HPLC≥95% 20mg
人单疱疹病毒抗原-1(HSV-Ag1)免疫试剂盒 Human Herpes simplex virus,HSV-Ag1 ELISA Kit 固深红 GBC Fast Garnet GBC Salt 质量规格:BS,90%
人单核细胞趋化蛋白1(MCP-1/CCL2/MCAF)免疫试剂盒 Human MCP-1 ELISA kit 固绿FCF Fast Green FCF 质量规格:BS
人单核细胞趋化蛋白2(MCP-2/CCL8)免疫试剂盒 Human MCP-2 ELISA kit 固蓝B Fast Blue B Salt 质量规格:BS
组氨酸、L-组氨酸71-00-1格列齐特 Gliclazide 质量规格:>95%,BR 大鼠促肾上皮质激素释放激素(CRH)ELISA检测试剂盒Ratcoicoopieleasinghormone,CRHELISAKit 96T/48T
格列齐特(标准品) Gliclazide 质量规格:HPLC>95%,标准品 大鼠促肾上腺皮质激素(ACTH)ELISA检测试剂盒ratadrencocoicoopichormone,ACTHELISAKit 96T/48T
格列本脲 Glyburide/Gliebenclamide 质量规格:>99%,BR 大鼠促生长激素释放激素(GRH)ELISA检测试剂盒ratgrowthhormonereleasinghormone,GHRHELISAKit 96T/48T
格列本脲(标准品) Glyburide/Gliebenclamide 质量规格:HPLC>98%,标准品 大鼠促性腺激素释放激素(GH)ELISA检测试剂盒Ratgonadoopin-releasinghormone,GHELISAKit 96T/48T
格列美脲(标准品) Glimepiride 质量规格:>99%,标准品 大鼠催乳素(PRL)ELISA检测试剂盒ratprolactin,PRLELISAKit 96T/48T
格列美脲 Glimepiride 质量规格:>99%,BR 大鼠大内皮素(BigET)ELISA检测试剂盒RatBigEndothelin,BigETELISAKit 96T/48T
灰黄霉素 Griseofulvin;Fulcin 质量规格:>97%,BR 大鼠胆酯转移蛋白(CETP)ELISA检测试剂盒Ratcholesterolesteransferprotein,CETPELISAKit 96T/48T
灰黄霉素(标准品) Griseofulvin 质量规格:HPLC>97%,标准品 大鼠蛋白(nephrin)免疫试剂盒 Rat Nephrin ELISA Kit
透明质酸钠;玻璃酸钠 Sodium hyaluronate 质量规格:>95%,蛋白≤0.1% 大鼠蛋白激酶B(PKB)ELISA检测试剂盒RatproteinkinaseB,PKBELISAKit 96T/48T
Hydrocortisone 质量规格:>98%,BR,可用于细胞培养 大鼠蛋酸酶(PP)ELISA检测试剂盒RatProteinPhosphatase,PPELISAKit 96T/48T
大鼠促卵泡素(FSH)ELISA检测试剂盒ratfollicle-stimulatinghormone,FSH 96T/48T 吉非罗齐(标准品) Gemfibrozil 质量规格:含量测定
大鼠促肾上皮质激素释放激素(CRH)ELISA检测试剂盒Ratcoicoopieleasinghormone,CRH 96T/48T 格列齐特 Gliclazide 质量规格:>95%,BR
大鼠促肾上腺皮质激素(ACTH)ELISA检测试剂盒ratadrencocoicoopichormone,ACTH 96T/48T 格列齐特(标准品) Gliclazide 质量规格:HPLC>95%,标准品
大鼠促生长激素释放激素(GRH)ELISA检测试剂盒ratgrowthhormonereleasinghormone,GHRH 96T/48T 格列本脲 Glyburide/Gliebenclamide 质量规格:>99%,BR
大鼠促性腺激素释放激素(GH)ELISA检测试剂盒Ratgonadoopin-releasinghormone,GH 96T/48T 格列本脲(标准品) Glyburide/Gliebenclamide 质量规格:HPLC>98%,标准品
大鼠催乳素(PRL)ELISA检测试剂盒ratprolactin,PRL 96T/48T 格列美脲(标准品) Glimepiride 质量规格:>99%,标准品
大鼠大内皮素(BigET)ELISA检测试剂盒RatBigEndothelin,BigET 96T/48T 格列美脲 Glimepiride 质量规格:>99%,BR
大鼠胆酯转移蛋白(CETP)ELISA检测试剂盒Ratcholesterolesteransferprotein,CETP 96T/48T 灰黄霉素 Griseofulvin;Fulcin 质量规格:>97%,BR
大鼠蛋白(nephrin)免疫试剂盒 Rat Nephrin ELISA Kit 灰黄霉素(标准品) Griseofulvin 质量规格:HPLC>97%,标准品
大鼠蛋白激酶B(PKB)ELISA检测试剂盒RatproteinkinaseB,PKB 96T/48T 透明质酸钠;玻璃酸钠 Sodium hyaluronate 质量规格:>95%,蛋白≤0.1%
1.色谱(高效液相色谱:薄层层析;气相色谱)
2. 质谱(液-质联用)
3. 光谱(红外、紫外),原子吸收
4. 测定(物理常数测定;旋光测定;不挥发物测定;干燥失重测定;蒸发或灼烧残渣测定)
5. 分析(含量分析;元素分析)
6. 滴定(酸性滴定;碱性滴定;配位滴定;非水滴定;氧化还原滴定)
7. 试验(与水混合试验;澄清度试验;各项化学反应试验
| 产品名称 | 组氨酸、L-组氨酸71-00-1 |
| CAS | 71-00-1 |
| 规格 | 20mg/50mg/1g,可按客户需求包装 |
英文名称 L-Histidine
分 子 量: 155.15
CAS NO.: 71-00-1
纯 度: ≥98%
分子式: C6H9N3O2

性状: 无色片状或针状结晶
规格: 20mg/50mg/1g,可按客户需求包装!
用途: 用于科研研究、鉴定、药理实验等
熔点: 287°C
溶解性: 可溶于甲醇、乙醇、DMSO等有机溶剂;
提取来源: 胡卢巴Trigonellafoenum-graecum.
药理药效: 组氨酸用于胃及十二指肠溃疡
鉴别方法: NMR;Ms
检测方法: HPLC
贮存条件: 低温冷藏,避光,密封,干燥
注意事项: 无
有效期限: 2年
供货能力: 现货,可根据可以客户需求批量定制
化学药品标准物质的分类:
1.按来源:
(1) 国际化学标准物质(WHO)
(2)美国药典标准物质(USPC,USP)
(3)欧式药典标准物质(EDQM,EP)
(4)日本药局标准物(PMRJ,JP)
(5)国家药品标准物质(NICPBP,CHP)
2.按测定方法和使用对象:
(1)生物标准物质
(2)化学标准物质(化学对照物质)
3.按使用要求:
(1)国际化学对照品
(2)国家化学对照品
(3)工作化学对照品
4.按用途:
(1)鉴别用化学对照品
(2)纯度或杂质检查用对照品
(3)含量测定用对照品
(4)标准仪器用对照
5.按药品使用对象:
(1)化学对照品
(2)中药化学对照品
(3)抗生素化学对照品
(4)麻醉药品化学对照品
公司优势:
组氨酸、L-组氨酸71-00-1服务对象针对性强,我们的客户遍布各大高校、医院以及各科研单位,还包括性的企业;
服务体系完整,我们为客户提供周到的售前售后服务,以及相应的技术支持。
标准品或对照品的管理规范:
1.规范购入使用台账,严格表明购入时间、批号、来源、数量、使用期限等内容;申购的标准品或对照品的批号要与新颁布标准品或对照品批号相符;
2.严格按照规定条件进行储存,标准品或对照品的性状极不稳定,对储存条件和方式非常苛刻;
3.规范管理和使用:
(1)严格按照说明书要求,由于标准品或对照品的不稳定性,若不安产品说明书的要求操作,极易造成较大的误差,从而影响检测结果;
(2)称量精密准确,标准品和对照品的含量测定要求不同,对精密性的要求很高;
(3)对于长期贮存的制备品,应充分考虑各方面的影响因素,规范操作;
(4)同时配制两份对照溶液以控制检验误差,由于现在药品的标准含量测定方法较多采用对照比较法,在测定过程中,仅配制一份对照溶液容易造成因配制对照溶液过程出现偏差;
(5)自行标定的标准品或对照品,严格规范操作,保证标准的可靠传递,并保证其可溯源性和准确性。
我司经营范围:国家对照品标准物质、进口对照品、冶金标样、标准气体、药典对照品、标准菌种、实验室耗材、试剂盒等
人弹性蛋白酶(Elastase)免疫试剂盒 Human Elastase ELISA Kit 黄嘌呤氧化酶(XOD) Xanthine Oxidase from bovine milk 质量规格:BR,>7U/MG, powder
Ratplateletactivatingfactor,PAFELISAKit大鼠血小板活化因子(PAF)ELISA试剂盒规格:96T/48T 酰化酶,L-氨基酰化酶 Acylase from Aspergilus sp. 质量规格:酶活力≥30000u/g
GST融合蛋白THROMBIN酶切试剂盒10(500微克/) 胰蛋白酶1:250 Trypsin 1:250 fromPorcine pancreas 质量规格:>250U/mg,BR
Mousethrombusprecursorprotein,TpPELISA试剂盒小鼠血栓前体蛋白(TpP)ELISA试剂盒规格:96T/48T 胰蛋白酶1:2500 Trypsin 1:2500 from Porcine pancreas 质量规格:>2500U/MG
小鼠抗线粒体抗体(AMA)ELISA试剂盒 ,英文名: AMA ELISA Kit 阿利苯多 Alibendol 质量规格:>98%,BR
大鼠骨成型蛋白7(BMP-7)ELISA检测试剂盒RatBonemorphogeneticprotein7,BMP-7ELISAKit 96T/48T 核糖核酸酶A(美仑);RNase A;核糖核酸酶I Ribonuclease A from bovine pancreas 质量规格:≥50 U/mg,美仑
人弹性蛋白(ELN)免疫试剂盒 Human Elastin,ELN ELISA Kit 5‘-吡哆醛,一水 Pyridoxal 5-phosphate 质量规格:>98%,BR
RatplateletaibodiesIgG/M/A,PA-IgG/M/AELISAKit大鼠抗血小板抗体IgG/M/A(PA-IgG/M/A)ELISA试剂盒规格:96T/48T NADPH;还原辅酶Ⅱ四钠盐;(罗氏) Coenzyme II reduced tetrasodium salt(NADPH) 质量规格:>95%,罗氏进分
GST融合蛋白THROMBIN酶切完全试剂盒10(500微克/) NADPH;还原辅酶Ⅱ四钠盐;(美仑) Coenzyme II reduced tetrasodium salt(NADPH) 质量规格:>97%,国产美仑
MouseThyroglobulin,TGELISA试剂盒小鼠甲状腺球蛋白(TG)ELISA试剂盒规格:96T/48T 葡萄糖氧化酶 Glucose oxidase 质量规格:BR,>200U/mg
人单胺氧化酶(MAO)免疫试剂盒 Human monoamine oxidase,MAO ELISA Kit 寡霉素 Oligomycin, from Streptomyces 质量规格:>92%,进分
人单疱疹病毒Ⅰ+Ⅱ型(HSVⅠ+Ⅱ)抗体(IgG)免疫试剂盒 Human herpes simplexvirus Ⅰ+Ⅱ(HSVⅠ+Ⅱ)aibody(IgG)ELISA kit 呱西替柳(标准品) Guacetisal 质量规格:含量测定
人单疱疹病毒Ⅰ+Ⅱ型(HSVⅠ+Ⅱ)抗体(IgM)免疫试剂盒 Human herpes simplexvirus Ⅰ+Ⅱ(HSVⅠ+Ⅱ)aibody(IgM)ELISA kit 瓜子金皂苷己(标准品) Polygalasaponin F 质量规格:HPLC≥98%,标准品
人单疱疹病毒Ⅰ型(HSVⅠ)抗体(IgG)免疫试剂盒 Human herpes simplexvirus Ⅰ(HSVⅠ)aibody(IgG)ELISA Kit 瓜子金皂苷己 HPLC≥98% 20mg
人单疱疹病毒Ⅰ型(HSVⅠ)抗体(IgM)免疫试剂盒 Human herpes simplexvirus Ⅰ(HSVⅠ)aibody(IgM)ELISA kit 瓜子金皂苷XXXI(对照品) Polygalasaponin XXXI 质量规格:HPLC≥98%,标准品
人单疱疹病毒Ⅱ型抗体IgG(HSVⅡ-Ab)免疫试剂盒 Human Herpes simplexvirus Ⅱ IgG aibody,HSVⅡ-Ab ELISA Kit 瓜子金皂苷XXXI HPLC≥98% 20mg
人单疱疹病毒Ⅱ型抗体IgM(HSVⅡ-Ab)免疫试剂盒 Human Herpes simplexvirus Ⅱ IgM aibody,HSVⅡ-Ab ELISA Kit 瓜子金皂苷V HPLC≥95% 20mg
人单疱疹病毒抗原-1(HSV-Ag1)免疫试剂盒 Human Herpes simplex virus,HSV-Ag1 ELISA Kit 固深红 GBC Fast Garnet GBC Salt 质量规格:BS,90%
人单核细胞趋化蛋白1(MCP-1/CCL2/MCAF)免疫试剂盒 Human MCP-1 ELISA kit 固绿FCF Fast Green FCF 质量规格:BS
人单核细胞趋化蛋白2(MCP-2/CCL8)免疫试剂盒 Human MCP-2 ELISA kit 固蓝B Fast Blue B Salt 质量规格:BS
组氨酸、L-组氨酸71-00-1格列齐特 Gliclazide 质量规格:>95%,BR 大鼠促肾上皮质激素释放激素(CRH)ELISA检测试剂盒Ratcoicoopieleasinghormone,CRHELISAKit 96T/48T
格列齐特(标准品) Gliclazide 质量规格:HPLC>95%,标准品 大鼠促肾上腺皮质激素(ACTH)ELISA检测试剂盒ratadrencocoicoopichormone,ACTHELISAKit 96T/48T
格列本脲 Glyburide/Gliebenclamide 质量规格:>99%,BR 大鼠促生长激素释放激素(GRH)ELISA检测试剂盒ratgrowthhormonereleasinghormone,GHRHELISAKit 96T/48T
格列本脲(标准品) Glyburide/Gliebenclamide 质量规格:HPLC>98%,标准品 大鼠促性腺激素释放激素(GH)ELISA检测试剂盒Ratgonadoopin-releasinghormone,GHELISAKit 96T/48T
格列美脲(标准品) Glimepiride 质量规格:>99%,标准品 大鼠催乳素(PRL)ELISA检测试剂盒ratprolactin,PRLELISAKit 96T/48T
格列美脲 Glimepiride 质量规格:>99%,BR 大鼠大内皮素(BigET)ELISA检测试剂盒RatBigEndothelin,BigETELISAKit 96T/48T
灰黄霉素 Griseofulvin;Fulcin 质量规格:>97%,BR 大鼠胆酯转移蛋白(CETP)ELISA检测试剂盒Ratcholesterolesteransferprotein,CETPELISAKit 96T/48T
灰黄霉素(标准品) Griseofulvin 质量规格:HPLC>97%,标准品 大鼠蛋白(nephrin)免疫试剂盒 Rat Nephrin ELISA Kit
透明质酸钠;玻璃酸钠 Sodium hyaluronate 质量规格:>95%,蛋白≤0.1% 大鼠蛋白激酶B(PKB)ELISA检测试剂盒RatproteinkinaseB,PKBELISAKit 96T/48T
Hydrocortisone 质量规格:>98%,BR,可用于细胞培养 大鼠蛋酸酶(PP)ELISA检测试剂盒RatProteinPhosphatase,PPELISAKit 96T/48T
大鼠促卵泡素(FSH)ELISA检测试剂盒ratfollicle-stimulatinghormone,FSH 96T/48T 吉非罗齐(标准品) Gemfibrozil 质量规格:含量测定
大鼠促肾上皮质激素释放激素(CRH)ELISA检测试剂盒Ratcoicoopieleasinghormone,CRH 96T/48T 格列齐特 Gliclazide 质量规格:>95%,BR
大鼠促肾上腺皮质激素(ACTH)ELISA检测试剂盒ratadrencocoicoopichormone,ACTH 96T/48T 格列齐特(标准品) Gliclazide 质量规格:HPLC>95%,标准品
大鼠促生长激素释放激素(GRH)ELISA检测试剂盒ratgrowthhormonereleasinghormone,GHRH 96T/48T 格列本脲 Glyburide/Gliebenclamide 质量规格:>99%,BR
大鼠促性腺激素释放激素(GH)ELISA检测试剂盒Ratgonadoopin-releasinghormone,GH 96T/48T 格列本脲(标准品) Glyburide/Gliebenclamide 质量规格:HPLC>98%,标准品
大鼠催乳素(PRL)ELISA检测试剂盒ratprolactin,PRL 96T/48T 格列美脲(标准品) Glimepiride 质量规格:>99%,标准品
大鼠大内皮素(BigET)ELISA检测试剂盒RatBigEndothelin,BigET 96T/48T 格列美脲 Glimepiride 质量规格:>99%,BR
大鼠胆酯转移蛋白(CETP)ELISA检测试剂盒Ratcholesterolesteransferprotein,CETP 96T/48T 灰黄霉素 Griseofulvin;Fulcin 质量规格:>97%,BR
大鼠蛋白(nephrin)免疫试剂盒 Rat Nephrin ELISA Kit 灰黄霉素(标准品) Griseofulvin 质量规格:HPLC>97%,标准品
大鼠蛋白激酶B(PKB)ELISA检测试剂盒RatproteinkinaseB,PKB 96T/48T 透明质酸钠;玻璃酸钠 Sodium hyaluronate 质量规格:>95%,蛋白≤0.1%
风险提示:丁香通仅作为第三方平台,为商家信息发布提供平台空间。用户咨询产品时请注意保护个人信息及财产安全,合理判断,谨慎选购商品,商家和用户对交易行为负责。对于医疗器械类产品,请先查证核实企业经营资质和医疗器械产品注册证情况。
技术资料暂无技术资料 索取技术资料
组氨酸、L-组氨酸71-00-1
询价









