相关产品推荐更多 >
万千商家帮你免费找货
0 人在求购买到急需产品
- 详细信息
- 技术资料
- 库存:
28
- 英文名:
L-Histidine
- CAS号:
71-00-1
- 保质期:
详见说明书
- 供应商:
上海研生
- 保存条件:
低温冷藏
- 规格:
20mg/50mg/1g,可按客户需求包装!
优势:
1.国内对照品行业,具有多年对照品的专业及标准制定经验。
2. 高效稳定的专利纯化技术-高速逆流色谱技术的运用。
3. 特有的高速逆流色谱对照品中心及中心,保证对照品的质量可控性及批量的稳定性。
4. 严格的质量控制,通过全面的检测(1HNMR 13CNMR MS HPLC)。
5. 部分对照品已获得国家质量监督检验检疫总局颁发的标准物质证书。
我们关注产品的每一个细节,因为产品与产品最大的差异在于细节。我们拥有严格的工艺流程和完善的质量标准控制,保证产品的质量可控性及批量的稳定性;完善的库存及供应体系,所有产品均能现货供应。质量承诺:产品若有质量问题,无条件退货换货。
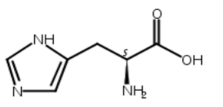
产品名称 71-00-1组氨酸、L-组氨酸
英文名称 L-Histidine
CAS NO. 71-00-1
分 子 量 155.15
纯 度 ≥98%
性状: 无色片状或针状结晶
规格: 20mg/50mg/1g,可按客户需求包装!
用途: 用于科研研究、鉴定、药理实验等
熔点: 287°C
溶解性: 可溶于甲醇、乙醇、DMSO等有机溶剂;
提取来源: 胡卢巴Trigonellafoenum-graecum.
药理药效: 组氨酸用于胃及十二指肠溃疡
鉴别方法: NMR;Ms
检测方法: HPLC
贮存条件: 低温冷藏,避光,密封,干燥
注意事项: 无
有效期限: 2年
供货能力: 现货,可根据可以客户需求批量定制
HPLC注意事项:
1.71-00-1组氨酸、L-组氨酸流动相必须用HPLC级的试剂,使用前过滤除去其中的颗粒性杂质和其他物质(使用0.45um或更细的膜过滤)。
2.流动相过滤后要用超声波脱气,脱气后应该恢复到室温后使用。
3.不能用纯作为流动相,这样会使单向阀粘住而导致泵不进液。
4.使用缓冲溶液时,做完样品后应立即用去离子水冲洗管路及柱子一小时,然后用甲醇(或甲醇水溶液)冲洗40分钟以上,以充分洗去离子。对于柱塞杆外部,做完样品后也必须用去离子水冲洗20ml以上。
5.长时间不用仪器,应该将柱子取下用堵头封好保存,注意不能用纯水保存柱子,而应该用有机相(如甲醇等),因为纯水易长霉。
6.每次做完样品后应该用溶解样品的溶剂清洗进样器。
7.C18柱绝对不能进蛋白样品,血样、生物样品。
8.堵塞导致压力太大,按预柱→混合器中的过滤器→管路过滤器→单向阀检查并清洗,清洗方法;①以异丙醇作溶剂冲洗:②放在异丙醇中间用超声波清洗;
9.气泡会致使压力不稳,重现性差,所以在使用过程中要尽量避免产生气泡。
10.如果进液管内不进液体时,要使用注射器吸液:通常在输液前要进行流动相的清。
11.要注意柱子的PH值范围,不得注射强酸强碱的样品,特别是碱性样品。
12.更换流动相时应该先将吸滤头部分放入烧杯中边振动边靖洗,然后插入新的流动相中。更换无互溶性的流动相时要用异丙醇过渡一下。
标准品和对照品概述:
药品检验用标准品和对照品,根据2005年版《中华人 民共和国药典》中的定义,系指用于鉴别、检查、含量测定 的标准物质。
2005年版《中华人民共和国药典》的凡例规定,标准 品、对照品(不包括色谱用的内标物质)均有药品监 督管理部门指定的单位制备、标定和供应。标准品系指用 于生物检定、抗生素或生化药品中含量或效价测定的标准 物质,按效价单位(或 g)计,以国际标准品进行标定;对照 品除另有规定外,均按干燥品(或无水物)进行计算后使 用。对照品、标准品的建立或变更其原有活性成分的含量, 应与原对照品、标准品或国际标准品进行对比,并经过协作 标定和一定的工作程序进行技术审定。
单纯疱疹病毒I型VG001-1
RSV Monoclonal antibody
单纯疱疹病毒I型VG001-2
RSV Polyclonal antibody
Folium eriobotryae枇杷叶探针法PCR鉴定试剂盒
Folium isatidis 大青叶LAMP鉴定试剂盒
Folium isatidis 大青叶PCR鉴定试剂盒
Radix aconiti lateralis preparata附子PCR鉴定试剂盒 负20度 一年2-4周 低温牛合胞体病毒实时荧光RT-PCR检测试剂Caulis trachelospermi络石藤LAMP鉴定试剂盒 负20度 一年2-4周 低温Blood SuperDirectTM PCR Kit(Heparin)-UNG 定做种属检测试剂盒/中药材鉴定试剂盒 50次
门冬酰酶(欧文菌)英文名称供门冬酰酶鉴别用规格:20mg/支
鲑降钙英文名称鉴别,有关物质检查规格:20mg/支
5'-胞苷英文名称检查规格:20mg/支
4'-羟英文名称鉴别及含量测定规格:20mg/支
5'-羟哚英文名称HPLC法含量测定规格:20mg/支
马尿英文名称H
71-00-1组氨酸、L-组氨酸单纯疱疹病毒I型VG001-1
RSV Monoclonal antibody
单纯疱疹病毒I型VG001-2
RSV Polyclonal antibody
Folium eriobotryae枇杷叶探针法PCR鉴定试剂盒
Folium isatidis 大青叶LAMP鉴定试剂盒
Folium isatidis 大青叶PCR鉴定试剂盒
Radix aconiti lateralis preparata附子PCR鉴定试剂盒 负20度 一年2-4周 低温牛合胞体病毒实时荧光RT-PCR检测试剂
1.国内对照品行业,具有多年对照品的专业及标准制定经验。
2. 高效稳定的专利纯化技术-高速逆流色谱技术的运用。
3. 特有的高速逆流色谱对照品中心及中心,保证对照品的质量可控性及批量的稳定性。
4. 严格的质量控制,通过全面的检测(1HNMR 13CNMR MS HPLC)。
5. 部分对照品已获得国家质量监督检验检疫总局颁发的标准物质证书。
我们关注产品的每一个细节,因为产品与产品最大的差异在于细节。我们拥有严格的工艺流程和完善的质量标准控制,保证产品的质量可控性及批量的稳定性;完善的库存及供应体系,所有产品均能现货供应。质量承诺:产品若有质量问题,无条件退货换货。
| 产品名称 | 英文名称 | CAS |
| 71-00-1组氨酸、L-组氨酸 | L-Histidine | 71-00-1 |
英文名称 L-Histidine
CAS NO. 71-00-1
分 子 量 155.15
纯 度 ≥98%
性状: 无色片状或针状结晶
规格: 20mg/50mg/1g,可按客户需求包装!
用途: 用于科研研究、鉴定、药理实验等
熔点: 287°C
溶解性: 可溶于甲醇、乙醇、DMSO等有机溶剂;
提取来源: 胡卢巴Trigonellafoenum-graecum.
药理药效: 组氨酸用于胃及十二指肠溃疡
鉴别方法: NMR;Ms
检测方法: HPLC
贮存条件: 低温冷藏,避光,密封,干燥
注意事项: 无
有效期限: 2年
供货能力: 现货,可根据可以客户需求批量定制
HPLC注意事项:
1.71-00-1组氨酸、L-组氨酸流动相必须用HPLC级的试剂,使用前过滤除去其中的颗粒性杂质和其他物质(使用0.45um或更细的膜过滤)。
2.流动相过滤后要用超声波脱气,脱气后应该恢复到室温后使用。
3.不能用纯作为流动相,这样会使单向阀粘住而导致泵不进液。
4.使用缓冲溶液时,做完样品后应立即用去离子水冲洗管路及柱子一小时,然后用甲醇(或甲醇水溶液)冲洗40分钟以上,以充分洗去离子。对于柱塞杆外部,做完样品后也必须用去离子水冲洗20ml以上。
5.长时间不用仪器,应该将柱子取下用堵头封好保存,注意不能用纯水保存柱子,而应该用有机相(如甲醇等),因为纯水易长霉。
6.每次做完样品后应该用溶解样品的溶剂清洗进样器。
7.C18柱绝对不能进蛋白样品,血样、生物样品。
8.堵塞导致压力太大,按预柱→混合器中的过滤器→管路过滤器→单向阀检查并清洗,清洗方法;①以异丙醇作溶剂冲洗:②放在异丙醇中间用超声波清洗;
9.气泡会致使压力不稳,重现性差,所以在使用过程中要尽量避免产生气泡。
10.如果进液管内不进液体时,要使用注射器吸液:通常在输液前要进行流动相的清。
11.要注意柱子的PH值范围,不得注射强酸强碱的样品,特别是碱性样品。
12.更换流动相时应该先将吸滤头部分放入烧杯中边振动边靖洗,然后插入新的流动相中。更换无互溶性的流动相时要用异丙醇过渡一下。
标准品和对照品概述:
药品检验用标准品和对照品,根据2005年版《中华人 民共和国药典》中的定义,系指用于鉴别、检查、含量测定 的标准物质。
2005年版《中华人民共和国药典》的凡例规定,标准 品、对照品(不包括色谱用的内标物质)均有药品监 督管理部门指定的单位制备、标定和供应。标准品系指用 于生物检定、抗生素或生化药品中含量或效价测定的标准 物质,按效价单位(或 g)计,以国际标准品进行标定;对照 品除另有规定外,均按干燥品(或无水物)进行计算后使 用。对照品、标准品的建立或变更其原有活性成分的含量, 应与原对照品、标准品或国际标准品进行对比,并经过协作 标定和一定的工作程序进行技术审定。
单纯疱疹病毒I型VG001-1
RSV Monoclonal antibody
单纯疱疹病毒I型VG001-2
RSV Polyclonal antibody
Folium eriobotryae枇杷叶探针法PCR鉴定试剂盒
Folium isatidis 大青叶LAMP鉴定试剂盒
Folium isatidis 大青叶PCR鉴定试剂盒
Radix aconiti lateralis preparata附子PCR鉴定试剂盒 负20度 一年2-4周 低温牛合胞体病毒实时荧光RT-PCR检测试剂Caulis trachelospermi络石藤LAMP鉴定试剂盒 负20度 一年2-4周 低温Blood SuperDirectTM PCR Kit(Heparin)-UNG 定做种属检测试剂盒/中药材鉴定试剂盒 50次
门冬酰酶(欧文菌)英文名称供门冬酰酶鉴别用规格:20mg/支
鲑降钙英文名称鉴别,有关物质检查规格:20mg/支
5'-胞苷英文名称检查规格:20mg/支
4'-羟英文名称鉴别及含量测定规格:20mg/支
5'-羟哚英文名称HPLC法含量测定规格:20mg/支
马尿英文名称H
71-00-1组氨酸、L-组氨酸单纯疱疹病毒I型VG001-1
RSV Monoclonal antibody
单纯疱疹病毒I型VG001-2
RSV Polyclonal antibody
Folium eriobotryae枇杷叶探针法PCR鉴定试剂盒
Folium isatidis 大青叶LAMP鉴定试剂盒
Folium isatidis 大青叶PCR鉴定试剂盒
Radix aconiti lateralis preparata附子PCR鉴定试剂盒 负20度 一年2-4周 低温牛合胞体病毒实时荧光RT-PCR检测试剂
风险提示:丁香通仅作为第三方平台,为商家信息发布提供平台空间。用户咨询产品时请注意保护个人信息及财产安全,合理判断,谨慎选购商品,商家和用户对交易行为负责。对于医疗器械类产品,请先查证核实企业经营资质和医疗器械产品注册证情况。
技术资料暂无技术资料 索取技术资料
71-00-1组氨酸、L-组氨酸
询价










