相关产品推荐更多 >
万千商家帮你免费找货
0 人在求购买到急需产品
- 详细信息
- 技术资料
- 库存:
44
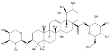
- 英文名:
Ziyuglycoside I
- CAS号:
35286-58-9
- 保质期:
详见说明书
- 供应商:
上海博湖
- 保存条件:
低温冷藏
- 规格:
20mg/50mg/1g,可按客户需求包装!
公司优势:
地榆皂苷I、地榆苷Ⅰ、枸骨甙7、苦丁冬青苷H35286-58-9服务对象针对性强,我们的客户遍布各大高校、医院以及各科研单位,还包括性的企业;
服务体系完整,我们为客户提供周到的售前售后服务,以及相应的技术支持。
标准品或对照品的管理规范:
1.规范购入使用台账,严格表明购入时间、批号、来源、数量、使用期限等内容;申购的标准品或对照品的批号要与新颁布标准品或对照品批号相符;
2.严格按照规定条件进行储存,标准品或对照品的性状极不稳定,对储存条件和方式非常苛刻;
3.规范管理和使用:
(1)严格按照说明书要求,由于标准品或对照品的不稳定性,若不安产品说明书的要求操作,极易造成较大的误差,从而影响检测结果;
(2)称量精密准确,标准品和对照品的含量测定要求不同,对精密性的要求很高;
(3)对于长期贮存的制备品,应充分考虑各方面的影响因素,规范操作;
(4)同时配制两份对照溶液以控制检验误差,由于现在药品的标准含量测定方法较多采用对照比较法,在测定过程中,仅配制一份对照溶液容易造成因配制对照溶液过程出现偏差;
(5)自行标定的标准品或对照品,严格规范操作,保证标准的可靠传递,并保证其可溯源性和准确性。
我司经营范围:国家对照品标准物质、进口对照品、冶金标样、标准气体、药典对照品、标准菌种、实验室耗材、试剂盒等
产品名称 地榆皂苷I、地榆苷Ⅰ、枸骨甙7、苦丁冬青苷H35286-58-9
英文名称 Ziyuglycoside I
分 子 量: 766.96
CAS NO.: 35286-58-9
纯 度: ≥98%
分子式: C41H66O13

性状: 白色晶体
规格: 10mg/20mg/50mg,可按客户需求包装!
用途: 用于科研研究、鉴定、药理实验等
熔点: 214~216℃
溶解性: 可溶于甲醇、DMSO等溶剂,不溶于、氯仿。
提取来源: 冬青科植物冬青(I. pubescens Hook. et Arn.)、地榆
药理药效: 地榆皂苷I具有收缩血管,止血,抗真菌的作用。
鉴别方法: NMR; MS
检测方法: C1 8柱 ;流动相 :甲醇 水 (5 9∶4 1) ;流速 1 0mL•min- 1 ;检测器 :Sedex 5 5蒸发光散射检测器。
贮存条件: 低温冷藏,避光,密封,干燥
注意事项: 无
有效期限: 2年
供货能力: 现货,可根据可以客户需求批量定制
化学药品标准物质的分类:
1.按来源:
(1) 国际化学标准物质(WHO)
(2)美国药典标准物质(USPC,USP)
(3)欧式药典标准物质(EDQM,EP)
(4)日本药局标准物(PMRJ,JP)
(5)国家药品标准物质(NICPBP,CHP)
2.按测定方法和使用对象:
(1)生物标准物质
(2)化学标准物质(化学对照物质)
3.按使用要求:
(1)国际化学对照品
(2)国家化学对照品
(3)工作化学对照品
4.按用途:
(1)鉴别用化学对照品
(2)纯度或杂质检查用对照品
(3)含量测定用对照品
(4)标准仪器用对照
5.按药品使用对象:
(1)化学对照品
(2)中药化学对照品
(3)抗生素化学对照品
(4)麻醉药品化学对照品
技术:
1.色谱(高效液相色谱:薄层层析;气相色谱)
2. 质谱(液-质联用)
3. 光谱(红外、紫外),原子吸收
4. 测定(物理常数测定;旋光测定;不挥发物测定;干燥失重测定;蒸发或灼烧残渣测定)
5. 分析(含量分析;元素分析)
6. 滴定(酸性滴定;碱性滴定;配位滴定;非水滴定;氧化还原滴定)
7. 试验(与水混合试验;澄清度试验;各项化学反应试验
激肽释放酶(KALLIKREIN)活性比色法定量检测试剂盒20 恶唑(>96%,BC) Oxazole 质量规格:>96%,BC
ELISAKitProGRP人胃泌素释放肽前体规格:48T/96T 乙酸钯 Palladium (II) acetate 质量规格:BC
小鼠泛素蛋白(Ub)ELISA试剂盒 ,英文名: Ub ELISA Kit 氯化钯 Palladium (II) chloride 质量规格:BC
大鼠阿立新A(OrexinA)ELISA检测试剂盒RatOrexinAELISAKit 96T/48T 硝酸钯 Palladium (II) nitrate dihydrate 质量规格:BR
人白介素1受体相关激酶1(IRAK1)免疫试剂盒 Human Ierleukin-1 receptor-associated kinase 1,IRAK1 ELISA Kit 钯粉(>99%,BR) Palladium, powder 质量规格:>99%,BR
英文名称MouseTumornecrosisfactorαELISAKIT小鼠肿瘤坏死因子α(TNFα)ELISAKIT规格:96T/48T 乙酸副品红(>85%,BS) Pararosaniline acetate 质量规格:>85%,BS
pGBKT7+目的基因酵母双杂交诱饵 钙激活钾通道阻断剂来源于覃青霉 Paxilline*, from Penicillium paxilli 质量规格:>98%,BC
Porcinethyroopin-releasinghormone,HELISA试剂盒猪促甲状腺素释放激素(H)ELISA试剂盒规格:96T/48T 青霉酸(>98% (HPLC),BC) Penicillic acid 质量规格:>98% (HPLC),BC
小鼠泛素(Ub)ELISA试剂盒 ,英文名: Ub ELISA Kit 青霉震颤素(>95%(HPLC),BC) Penitrem A from Penicillium palitans 质量规格:>95%(HPLC),BC
人葡萄糖转运蛋白1(GL1)ELISA检测试剂盒HumanGlucoseanspoer1,GL1ELISAKit 96T/48T β-D-半乳糖五乙酸酯(>98%,BR) Pentaacetyl-β-D-galactopyranose 质量规格:>98%,BR
小鼠心肌肌钙蛋白T(TN2)ELISA试剂盒 ,英文名: TN2 ELISA Kit L-精氨酸甲酯二盐酸 H-Arg-OMe·2HCl 质量规格:>99%,BR
小鼠心肌营养素1(CT-1)ELISA 试剂盒 96T/48T 试剂盒 组装/原装 L-精氨酸-α-酮戊二酸盐(2:1) L-Arginine AKG 2:1 质量规格:>98%,BR
小鼠心肌营养素1(CT-1)ELISA检测试剂盒Mousecardioophln1,CT-1ELISAKit 96T/48T L-精氨酸-L-谷氨酸盐 L-Arginine L-glutamate 质量规格:>98%,BR
小鼠心肌营养素1(CT1)ELISA试剂盒 ,英文名: CT1 ELISA Kit L-精氨酸(标准品) L-Arginine 质量规格:HPLC≥98%,标准品
小鼠心肌营养素1(CT-1)ELISA试剂盒 ,英文名: CT-1 ELISA Kit L精氨酸 HPLC≥98% 200mg
小鼠心肌转录因子GATA4 ELISA 试剂盒 96T/48T 试剂盒 组装/原装 L-精氨酸 L-Arginine 质量规格:≥98%,BR
小鼠心肌转录因子GATA4ELISA检测试剂盒Mousecardiacanscriptionfactor-GATA4ELISAKit 96T/48T L焦谷氨酸甲酯 HPLC≥98% 5mg
小鼠心肽(ANP)ELISA试剂盒 ,英文名: ANP ELISA Kit L-焦谷氨酸;氧脯氨酸 H-Pyr-OH 质量规格:>98%,BR
小鼠心型脂肪酸结合蛋白(FABP3)ELISA试剂盒 ,英文名: FABP3 ELISA Kit L-甲状腺素钠盐五水化合物 L-Thyroxine Sodium Salt Pentahydrate 质量规格:>98%,BR
小鼠心营养素样细胞因子1(CLCF1)ELISA试剂盒 ,英文名: CLCF1 ELISA Kit L-甲状腺素钠;四代甲状腺素钠盐,T4 Levothyroxine Sodium 质量规格:>98.5%,BR
L丙氨酸 HPLC≥98% 200mg Mouseheatshockprotein60,hSP-60ELISA试剂盒小鼠热休克蛋白60(Hsp-60)ELISA试剂盒规格:96T/48T
L茶氨酸 HPLC≥98% 20mg MouseHeatShockProtein70,Hsp-70ELISA试剂盒小鼠热休克蛋白70(HSP-70)ELISA试剂盒规格:96T/48T
L蛋氨酸(甲硫氨酸) HPLC≥98% 200mg MouseHeatShockProtein90,Hsp-90ELISA试剂盒小鼠热休克蛋白90(HSP-90)ELISA试剂盒规格:96T/48T
L脯氨酸 HPLC≥99% 200mg MouseHeatShockProteinglycoprotein96,HSPgp96ELISAKit小鼠热休克蛋白糖蛋白96(HSPgp96)ELISA试剂盒规格:96T/48T
甘氨酸 HPLC≥99% 200mg MouseHeatShockProteinglycoprotein96,HSPgp96ELISA试剂盒小鼠热休克蛋白糖蛋白96(HSPgp96)ELISA试剂盒规格:96T/48T
L谷氨酸 HPLC≥99% 200mg MouseHelicobacterpyloriIgG,Hp-IgGELISAKit小鼠幽门螺旋菌IgG(Hp-IgG)ELISA试剂盒规格:96T/48T
L谷氨酰胺 HPLC≥98% 200mg MouseHelicobacterpyloriIgG,Hp-IgGELISA试剂盒小鼠幽门螺旋菌IgG(Hp-IgG)ELISA试剂盒规格:96T/48T
L瓜氨酸 HPLC≥98% 20mg Mousehemeoxygenase1,HO-1ELISA试剂盒小鼠血红素氧合酶1(HO-1)ELISA试剂盒规格:96T/48T
L胱氨酸 HPLC≥99% 200mg Mousehemeoxygenase2,HO-2ELISAKit小鼠血红素氧合酶2(HO-2)ELISA试剂盒规格:96T/48T
L精氨酸 HPLC≥98% 200mg Mousehemeoxygenase2,HO-2ELISA试剂盒小鼠血红素氧合酶2(HO-2)ELISA试剂盒规格:96T/48T
地榆皂苷I、地榆苷Ⅰ、枸骨甙7、苦丁冬青苷H35286-58-9MouseHeatShockProtein40,Hsp-40ELISA试剂盒小鼠热休克蛋白40(Hsp-40)ELISA试剂盒规格:96T/48T L苯丙氨酸 HPLC≥98% 200mg
Mouseheatshockprotein60,hSP-60ELISA试剂盒小鼠热休克蛋白60(Hsp-60)ELISA试剂盒规格:96T/48T L丙氨酸 HPLC≥98% 200mg
MouseHeatShockProtein70,Hsp-70ELISA试剂盒小鼠热休克蛋白70(HSP-70)ELISA试剂盒规格:96T/48T L茶氨酸 HPLC≥98% 20mg
MouseHeatShockProtein90,Hsp-90ELISA试剂盒小鼠热休克蛋白90(HSP-90)ELISA试剂盒规格:96T/48T L蛋氨酸(甲硫氨酸) HPLC≥98% 200mg
MouseHeatShockProteinglycoprotein96,HSPgp96小鼠热休克蛋白糖蛋白96(HSPgp96)ELISA试剂盒规格:96T/48T L脯氨酸 HPLC≥99% 200mg
MouseHeatShockProteinglycoprotein96,HSPgp96ELISA试剂盒小鼠热休克蛋白糖蛋白96(HSPgp96)ELISA试剂盒规格:96T/48T 甘氨酸 HPLC≥99% 200mg
MouseHelicobacterpyloriIgG,Hp-IgG小鼠幽门螺旋菌IgG(Hp-IgG)ELISA试剂盒规格:96T/48T L谷氨酸 HPLC≥99% 200mg
MouseHelicobacterpyloriIgG,Hp-IgGELISA试剂盒小鼠幽门螺旋菌IgG(Hp-IgG)ELISA试剂盒规格:96T/48T L谷氨酰胺 HPLC≥98% 200mg
Mousehemeoxygenase1,HO-1ELISA试剂盒小鼠血红素氧合酶1(HO-1)ELISA试剂盒规格:96T/48T L瓜氨酸 HPLC≥98% 20mg
Mousehemeoxygenase2,HO-2小鼠血红素氧合酶2(HO-2)ELISA试剂盒规格:96T/48T L胱氨酸 HPLC≥99% 200mg
地榆皂苷I、地榆苷Ⅰ、枸骨甙7、苦丁冬青苷H35286-58-9服务对象针对性强,我们的客户遍布各大高校、医院以及各科研单位,还包括性的企业;
服务体系完整,我们为客户提供周到的售前售后服务,以及相应的技术支持。
标准品或对照品的管理规范:
1.规范购入使用台账,严格表明购入时间、批号、来源、数量、使用期限等内容;申购的标准品或对照品的批号要与新颁布标准品或对照品批号相符;
2.严格按照规定条件进行储存,标准品或对照品的性状极不稳定,对储存条件和方式非常苛刻;
3.规范管理和使用:
(1)严格按照说明书要求,由于标准品或对照品的不稳定性,若不安产品说明书的要求操作,极易造成较大的误差,从而影响检测结果;
(2)称量精密准确,标准品和对照品的含量测定要求不同,对精密性的要求很高;
(3)对于长期贮存的制备品,应充分考虑各方面的影响因素,规范操作;
(4)同时配制两份对照溶液以控制检验误差,由于现在药品的标准含量测定方法较多采用对照比较法,在测定过程中,仅配制一份对照溶液容易造成因配制对照溶液过程出现偏差;
(5)自行标定的标准品或对照品,严格规范操作,保证标准的可靠传递,并保证其可溯源性和准确性。
我司经营范围:国家对照品标准物质、进口对照品、冶金标样、标准气体、药典对照品、标准菌种、实验室耗材、试剂盒等
| 产品名称 | 地榆皂苷I、地榆苷Ⅰ、枸骨甙7、苦丁冬青苷H35286-58-9 |
| CAS | 35286-58-9 |
| 规格 | 20mg/50mg/1g,可按客户需求包装 |
英文名称 Ziyuglycoside I
分 子 量: 766.96
CAS NO.: 35286-58-9
纯 度: ≥98%
分子式: C41H66O13

性状: 白色晶体
规格: 10mg/20mg/50mg,可按客户需求包装!
用途: 用于科研研究、鉴定、药理实验等
熔点: 214~216℃
溶解性: 可溶于甲醇、DMSO等溶剂,不溶于、氯仿。
提取来源: 冬青科植物冬青(I. pubescens Hook. et Arn.)、地榆
药理药效: 地榆皂苷I具有收缩血管,止血,抗真菌的作用。
鉴别方法: NMR; MS
检测方法: C1 8柱 ;流动相 :甲醇 水 (5 9∶4 1) ;流速 1 0mL•min- 1 ;检测器 :Sedex 5 5蒸发光散射检测器。
贮存条件: 低温冷藏,避光,密封,干燥
注意事项: 无
有效期限: 2年
供货能力: 现货,可根据可以客户需求批量定制
化学药品标准物质的分类:
1.按来源:
(1) 国际化学标准物质(WHO)
(2)美国药典标准物质(USPC,USP)
(3)欧式药典标准物质(EDQM,EP)
(4)日本药局标准物(PMRJ,JP)
(5)国家药品标准物质(NICPBP,CHP)
2.按测定方法和使用对象:
(1)生物标准物质
(2)化学标准物质(化学对照物质)
3.按使用要求:
(1)国际化学对照品
(2)国家化学对照品
(3)工作化学对照品
4.按用途:
(1)鉴别用化学对照品
(2)纯度或杂质检查用对照品
(3)含量测定用对照品
(4)标准仪器用对照
5.按药品使用对象:
(1)化学对照品
(2)中药化学对照品
(3)抗生素化学对照品
(4)麻醉药品化学对照品
技术:
1.色谱(高效液相色谱:薄层层析;气相色谱)
2. 质谱(液-质联用)
3. 光谱(红外、紫外),原子吸收
4. 测定(物理常数测定;旋光测定;不挥发物测定;干燥失重测定;蒸发或灼烧残渣测定)
5. 分析(含量分析;元素分析)
6. 滴定(酸性滴定;碱性滴定;配位滴定;非水滴定;氧化还原滴定)
7. 试验(与水混合试验;澄清度试验;各项化学反应试验
激肽释放酶(KALLIKREIN)活性比色法定量检测试剂盒20 恶唑(>96%,BC) Oxazole 质量规格:>96%,BC
ELISAKitProGRP人胃泌素释放肽前体规格:48T/96T 乙酸钯 Palladium (II) acetate 质量规格:BC
小鼠泛素蛋白(Ub)ELISA试剂盒 ,英文名: Ub ELISA Kit 氯化钯 Palladium (II) chloride 质量规格:BC
大鼠阿立新A(OrexinA)ELISA检测试剂盒RatOrexinAELISAKit 96T/48T 硝酸钯 Palladium (II) nitrate dihydrate 质量规格:BR
人白介素1受体相关激酶1(IRAK1)免疫试剂盒 Human Ierleukin-1 receptor-associated kinase 1,IRAK1 ELISA Kit 钯粉(>99%,BR) Palladium, powder 质量规格:>99%,BR
英文名称MouseTumornecrosisfactorαELISAKIT小鼠肿瘤坏死因子α(TNFα)ELISAKIT规格:96T/48T 乙酸副品红(>85%,BS) Pararosaniline acetate 质量规格:>85%,BS
pGBKT7+目的基因酵母双杂交诱饵 钙激活钾通道阻断剂来源于覃青霉 Paxilline*, from Penicillium paxilli 质量规格:>98%,BC
Porcinethyroopin-releasinghormone,HELISA试剂盒猪促甲状腺素释放激素(H)ELISA试剂盒规格:96T/48T 青霉酸(>98% (HPLC),BC) Penicillic acid 质量规格:>98% (HPLC),BC
小鼠泛素(Ub)ELISA试剂盒 ,英文名: Ub ELISA Kit 青霉震颤素(>95%(HPLC),BC) Penitrem A from Penicillium palitans 质量规格:>95%(HPLC),BC
人葡萄糖转运蛋白1(GL1)ELISA检测试剂盒HumanGlucoseanspoer1,GL1ELISAKit 96T/48T β-D-半乳糖五乙酸酯(>98%,BR) Pentaacetyl-β-D-galactopyranose 质量规格:>98%,BR
小鼠心肌肌钙蛋白T(TN2)ELISA试剂盒 ,英文名: TN2 ELISA Kit L-精氨酸甲酯二盐酸 H-Arg-OMe·2HCl 质量规格:>99%,BR
小鼠心肌营养素1(CT-1)ELISA 试剂盒 96T/48T 试剂盒 组装/原装 L-精氨酸-α-酮戊二酸盐(2:1) L-Arginine AKG 2:1 质量规格:>98%,BR
小鼠心肌营养素1(CT-1)ELISA检测试剂盒Mousecardioophln1,CT-1ELISAKit 96T/48T L-精氨酸-L-谷氨酸盐 L-Arginine L-glutamate 质量规格:>98%,BR
小鼠心肌营养素1(CT1)ELISA试剂盒 ,英文名: CT1 ELISA Kit L-精氨酸(标准品) L-Arginine 质量规格:HPLC≥98%,标准品
小鼠心肌营养素1(CT-1)ELISA试剂盒 ,英文名: CT-1 ELISA Kit L精氨酸 HPLC≥98% 200mg
小鼠心肌转录因子GATA4 ELISA 试剂盒 96T/48T 试剂盒 组装/原装 L-精氨酸 L-Arginine 质量规格:≥98%,BR
小鼠心肌转录因子GATA4ELISA检测试剂盒Mousecardiacanscriptionfactor-GATA4ELISAKit 96T/48T L焦谷氨酸甲酯 HPLC≥98% 5mg
小鼠心肽(ANP)ELISA试剂盒 ,英文名: ANP ELISA Kit L-焦谷氨酸;氧脯氨酸 H-Pyr-OH 质量规格:>98%,BR
小鼠心型脂肪酸结合蛋白(FABP3)ELISA试剂盒 ,英文名: FABP3 ELISA Kit L-甲状腺素钠盐五水化合物 L-Thyroxine Sodium Salt Pentahydrate 质量规格:>98%,BR
小鼠心营养素样细胞因子1(CLCF1)ELISA试剂盒 ,英文名: CLCF1 ELISA Kit L-甲状腺素钠;四代甲状腺素钠盐,T4 Levothyroxine Sodium 质量规格:>98.5%,BR
L丙氨酸 HPLC≥98% 200mg Mouseheatshockprotein60,hSP-60ELISA试剂盒小鼠热休克蛋白60(Hsp-60)ELISA试剂盒规格:96T/48T
L茶氨酸 HPLC≥98% 20mg MouseHeatShockProtein70,Hsp-70ELISA试剂盒小鼠热休克蛋白70(HSP-70)ELISA试剂盒规格:96T/48T
L蛋氨酸(甲硫氨酸) HPLC≥98% 200mg MouseHeatShockProtein90,Hsp-90ELISA试剂盒小鼠热休克蛋白90(HSP-90)ELISA试剂盒规格:96T/48T
L脯氨酸 HPLC≥99% 200mg MouseHeatShockProteinglycoprotein96,HSPgp96ELISAKit小鼠热休克蛋白糖蛋白96(HSPgp96)ELISA试剂盒规格:96T/48T
甘氨酸 HPLC≥99% 200mg MouseHeatShockProteinglycoprotein96,HSPgp96ELISA试剂盒小鼠热休克蛋白糖蛋白96(HSPgp96)ELISA试剂盒规格:96T/48T
L谷氨酸 HPLC≥99% 200mg MouseHelicobacterpyloriIgG,Hp-IgGELISAKit小鼠幽门螺旋菌IgG(Hp-IgG)ELISA试剂盒规格:96T/48T
L谷氨酰胺 HPLC≥98% 200mg MouseHelicobacterpyloriIgG,Hp-IgGELISA试剂盒小鼠幽门螺旋菌IgG(Hp-IgG)ELISA试剂盒规格:96T/48T
L瓜氨酸 HPLC≥98% 20mg Mousehemeoxygenase1,HO-1ELISA试剂盒小鼠血红素氧合酶1(HO-1)ELISA试剂盒规格:96T/48T
L胱氨酸 HPLC≥99% 200mg Mousehemeoxygenase2,HO-2ELISAKit小鼠血红素氧合酶2(HO-2)ELISA试剂盒规格:96T/48T
L精氨酸 HPLC≥98% 200mg Mousehemeoxygenase2,HO-2ELISA试剂盒小鼠血红素氧合酶2(HO-2)ELISA试剂盒规格:96T/48T
地榆皂苷I、地榆苷Ⅰ、枸骨甙7、苦丁冬青苷H35286-58-9MouseHeatShockProtein40,Hsp-40ELISA试剂盒小鼠热休克蛋白40(Hsp-40)ELISA试剂盒规格:96T/48T L苯丙氨酸 HPLC≥98% 200mg
Mouseheatshockprotein60,hSP-60ELISA试剂盒小鼠热休克蛋白60(Hsp-60)ELISA试剂盒规格:96T/48T L丙氨酸 HPLC≥98% 200mg
MouseHeatShockProtein70,Hsp-70ELISA试剂盒小鼠热休克蛋白70(HSP-70)ELISA试剂盒规格:96T/48T L茶氨酸 HPLC≥98% 20mg
MouseHeatShockProtein90,Hsp-90ELISA试剂盒小鼠热休克蛋白90(HSP-90)ELISA试剂盒规格:96T/48T L蛋氨酸(甲硫氨酸) HPLC≥98% 200mg
MouseHeatShockProteinglycoprotein96,HSPgp96小鼠热休克蛋白糖蛋白96(HSPgp96)ELISA试剂盒规格:96T/48T L脯氨酸 HPLC≥99% 200mg
MouseHeatShockProteinglycoprotein96,HSPgp96ELISA试剂盒小鼠热休克蛋白糖蛋白96(HSPgp96)ELISA试剂盒规格:96T/48T 甘氨酸 HPLC≥99% 200mg
MouseHelicobacterpyloriIgG,Hp-IgG小鼠幽门螺旋菌IgG(Hp-IgG)ELISA试剂盒规格:96T/48T L谷氨酸 HPLC≥99% 200mg
MouseHelicobacterpyloriIgG,Hp-IgGELISA试剂盒小鼠幽门螺旋菌IgG(Hp-IgG)ELISA试剂盒规格:96T/48T L谷氨酰胺 HPLC≥98% 200mg
Mousehemeoxygenase1,HO-1ELISA试剂盒小鼠血红素氧合酶1(HO-1)ELISA试剂盒规格:96T/48T L瓜氨酸 HPLC≥98% 20mg
Mousehemeoxygenase2,HO-2小鼠血红素氧合酶2(HO-2)ELISA试剂盒规格:96T/48T L胱氨酸 HPLC≥99% 200mg
风险提示:丁香通仅作为第三方平台,为商家信息发布提供平台空间。用户咨询产品时请注意保护个人信息及财产安全,合理判断,谨慎选购商品,商家和用户对交易行为负责。对于医疗器械类产品,请先查证核实企业经营资质和医疗器械产品注册证情况。
技术资料暂无技术资料 索取技术资料
地榆皂苷I、地榆苷Ⅰ、枸骨甙7、苦丁冬青苷H35286-58-9
询价










