相关产品推荐更多 >
万千商家帮你免费找货
0 人在求购买到急需产品
- 详细信息
- 技术资料
- 库存:
41
- 英文名:
Ziyuglycoside I
- CAS号:
35286-58-9
- 保质期:
详见说明书
- 供应商:
上海一研
- 保存条件:
低温冷藏
- 规格:
10mg/20mg/50mg
产品优势:
价格实惠,我们是有多年销售经验的生物试剂公司,对于同行业的市场,具有独到的判断力,欢迎广大客户与我司取得联系,并询问实时报价;
保质保量,我司严格按照国家关于标准品、对照品的标准和要求进行,操作规范,检测严格;
种类齐全,有植物标准品(对照品)、中药标准品(对照品)以及其他标准品,更多信息可以与我司销售客服联系;
服务周到,我们对售前和售后进行全程跟踪,如遇什么问题,我们都会尽力帮您解决。
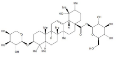
产品名称 35286-58-9地榆皂苷I、地榆苷Ⅰ、枸骨甙7、苦丁冬青苷H
英文名称 Ziyuglycoside I
分 子 量: 766.96
CAS NO.: 35286-58-9
纯 度: ≥98%
分子式: C41H66O13
性状: 白色晶体
规格: 10mg/20mg/50mg,可按客户需求包装!
用途: 用于科研研究、鉴定、药理实验等
熔点: 214~216℃
溶解性: 可溶于甲醇、DMSO等溶剂,不溶于油醚、正丁基仿。
提取来源: 冬青科植物冬青(I. pubescens Hook. et Arn.)、地榆
药理药效: 地榆皂苷I具有收缩血管,止血,抗真菌的作用。
鉴别方法: NMR; MS
检测方法: C1 8柱 ;流动相 :甲醇 水 (5 9∶4 1) ;流速 1 0mL•min- 1 ;检测器 :Sedex 5 5蒸发光散射检测器。
贮存条件: 低温冷藏,避光,密封,干燥
注意事项: 无
有效期限: 2年
供货能力: 现货,可根据可以客户需求批量定制
标准品或对照品的管理规范:
1.规范购入使用台账,严格表明购入时间、批号、来源、数量、使用期限等内容;申购的标准品或对照品的批号要与新颁布标准品或对照品批号相符;
2.严格按照规定条件进行储存,标准品或对照品的状极不稳定,对储存条件和方式非常苛刻;
3.规范管理和使用:
(1)严格按照说明书要求,由于标准品或对照品的不稳定性,若不安产品说明书的要求操作,极易造成较大的误差,从而影响检测结果;
(2)称量精密准确,标准品和对照品的含量测定要求不同,对精密性的要求很高;
(3)对于长期贮存的制备品,应充分考虑各方面的影响因素,规范操作;
(4)同时配制两份对照溶液以控制检验误差,由于现在药品的标准含量测定方法较多采用对照比较法,在测定过程中,仅配制一份对照溶液容易造成因配制对照溶液过程出现偏差;
(5)自行标定的标准品或对照品,严格规范操作,保证标准的可靠传递,并保证其可溯源性和准确性。
注意事项:
1、保存
请按照说明书的规定进行保存,一般放置于干燥阴凉处为宜;
注意产品的使用期限,过期变质的产品不宜使用。
2.使用
不同对照品性状不同,一般有以下几种使用形式:
(1)无需处理,直接使用;
(2)样品有引湿性,建议开封后一次性用完;
(3)热稳定样品,每支含水量不均匀,干燥三小时后再使用;
(4)热不稳定样品,每支含水量不均匀,减压干燥后使用;干燥温度若无特别说明,一般为室温(10-30℃)
(5)样品含水量较大,且每支含水量不均匀,临用前先自测水分。
以下是 35286-58-9地榆皂苷I、地榆苷Ⅰ、枸骨甙7、苦丁冬青苷H的相关产品:
Folium nelumbinis荷叶染料法PCR鉴定试剂盒 英文名称 4-Methylumbelliferone分 子 量: 176.17CAS NO.: 90-33-5纯 度: ≥98%分子式: C10H8O3
Folium nelumbinis荷叶PCR鉴定试剂盒 英文名称 Vinblastine sulfate分 子 量: 909.05CAS NO.: 143-67-9纯 度: ≥98%分子式: C46H60N4O13S
Folium nelumbinis荷叶LAMP鉴定试剂盒 英文名称 3β-Hydroxy-5α-lanosta-7,9(11),24-trien-21-oic acid分 子 量: 454.693CAS NO.: 29220-16-4纯 度: ≥98%分子式: C30H46O3
Folium mori桑叶探针法PCR鉴定试剂盒 英文名称 7,8-Dihydroxy-2-phenyl-4H-chromen-4-one分 子 量: 254.2375CAS NO.: 38183-03-8纯 度: ≥98%分子式: C15H10O4
Folium mori桑叶染料法PCR鉴定试剂盒 英文名称 cis-9-Octadecenoic acid分 子 量: 282.46CAS NO.: 112-80-1纯 度: ≥98%分子式: C18H34O2
1(3Chlorophenyl)4(3chloropropyl)pip hydrochloride1(3)4(3丙)嗪52605524保存:20℃,避光
2(Aminomethyl)1ethylpyrrolidineN2氨26116121保存:20℃,避光
L()10Camphorsulfonyl chloride()10樟酰39262221保存:20℃,避光
Z(1R,S)cis2,2dimethyl3(2,2chloro3,3,3trifluoro1propenyl)cyclopropanecarboxylic acid功夫72748357保存:20℃,避光
3ACETOXY2BUTANONE3酰24906245保存:20℃,避光
Propargite克螨特2312358保存:20℃,避光
5Sulfosalicylic acid dihydrate5水杨5965833保存:20℃,避光
2Thiophenemethylamine227757853保存:20℃,避光
NACaryBalair氏运送培养保存:20℃,避光
1Adamantyl methyl ketone1金刚1660044保存:20℃,避光
BOCNMETYROHBOCNMETYROHDCHA95105252保存:20℃,避光
1Docosanol1二十二661198保存:20℃,避光
Phenanthrenequinone菲醌30993保存:20℃,避光
Cyclobutanemethanol环4415821保存:20℃,避光
4,4'Dichlorobenzophenone4,4'二二90982保存:20℃,避光
马兜铃内酰英文名称:Aristololactam保存:20℃,避光规格:HPLC≥98% 20mg/支
芹菜素7OβD喃葡萄糖苷(大英文名称:Apigenin 7O beta D glucopyranoside (big保存:20℃,避光规格:HPLC≥98% 20mg/支
α香附英文名称:Alpha cyperone保存:20℃,避光规格:HPLC≥98% 20mg/支
黄腐英文名称:Xanthohumol保存:20℃,避光规格:HPLC≥98% 20mg/支
盐根英文名称:Emetine hydrochloride保存:20℃,避光规格:HPLC≥98% 20mg/支
路路通;桦木;白桦脂英文名称:Passepartout acid; betulinic acid; betulinic acid保存:20℃,避光规格:HPLC≥98% 20mg/支
欧夹竹桃苷 ,夹竹桃苷英文名称:Oleandrin, oleander保存:20℃,避光规格:HPLC≥98% 20mg/支
青英文名称:Artemisinic acid保存:20℃,避光规格:HPLC≥98% 20mg/支
青素;青素B英文名称:Artemisinin, arteannuin B; B保存:20℃,避光规格:HPLC≥98% 20mg/支
野马追内A英文名称:Eupatorium lindleyanum lactone A保存:20℃,避光规格:HPLC≥98% 20mg/支
紫云英苷;黄芪苷、莰非3O葡萄糖英文名称:Astragalin; Huang Qigan, kaempferol, 3O glucose保存:20℃,避光规格:HPLC≥98% 20mg/支
3,29二酰栝楼仁三英文名称:3,29 two benzoyl Trichosanthes Jen three alcohol保存:20℃,避光规格:HPLC≥98% 10mg/支
冬绿苷英文名称:Gaultherin保存:20℃,避光规格:HPLC≥98% 20mg/支
褪黑素;松果体素;; 褪黑色素英文名称:Melatonin; Melatonin; Melatonin;保存:20℃,避光规格:HPLC≥98% 20mg/支
绞股蓝皂苷英文名称:Gypenosides保存:20℃,避光规格:UV≥98% 20mg/支
35286-58-9地榆皂苷I、地榆苷Ⅰ、枸骨甙7、苦丁冬青苷HDACH1 细胞命运决定因子DACH1抗体 0.2ml Famciclovir
DRG1 GTP发育调控结合蛋白1抗体 0.2ml Fludarabine Phosphate
DNAJB4/HSP40 homolog 热休克蛋白家族40抗体 0.1ml Penciclovir
DAL1/EPB41L3 细胞骨架4.1蛋白家族DAL1抗体 0.2ml Itraconazole
MIG6/ERRFI1 有丝分裂原诱导基因6抗体 0.2ml Itraconazole
EXTL 外生性骨疣样蛋白2抗体 0.2ml Fluconazole
FBXO31 F-box蛋白家族FBXO31抗体 0.2ml Fluconazole
FLCN/BHD/Folliculin 卵巢滤泡激素抗体(BHD综合征) 0.1ml Ziprasidone HCl
价格实惠,我们是有多年销售经验的生物试剂公司,对于同行业的市场,具有独到的判断力,欢迎广大客户与我司取得联系,并询问实时报价;
保质保量,我司严格按照国家关于标准品、对照品的标准和要求进行,操作规范,检测严格;
种类齐全,有植物标准品(对照品)、中药标准品(对照品)以及其他标准品,更多信息可以与我司销售客服联系;
服务周到,我们对售前和售后进行全程跟踪,如遇什么问题,我们都会尽力帮您解决。
| 产品名称 | 35286-58-9地榆皂苷I、地榆苷Ⅰ、枸骨甙7、苦丁冬青苷H |
| 英文名称 | Ziyuglycoside I |
| 规格 | 10mg/20mg/50mg |
英文名称 Ziyuglycoside I
分 子 量: 766.96
CAS NO.: 35286-58-9
纯 度: ≥98%
分子式: C41H66O13
性状: 白色晶体
规格: 10mg/20mg/50mg,可按客户需求包装!
用途: 用于科研研究、鉴定、药理实验等
熔点: 214~216℃
溶解性: 可溶于甲醇、DMSO等溶剂,不溶于油醚、正丁基仿。
提取来源: 冬青科植物冬青(I. pubescens Hook. et Arn.)、地榆
药理药效: 地榆皂苷I具有收缩血管,止血,抗真菌的作用。
鉴别方法: NMR; MS
检测方法: C1 8柱 ;流动相 :甲醇 水 (5 9∶4 1) ;流速 1 0mL•min- 1 ;检测器 :Sedex 5 5蒸发光散射检测器。
贮存条件: 低温冷藏,避光,密封,干燥
注意事项: 无
有效期限: 2年
供货能力: 现货,可根据可以客户需求批量定制
标准品或对照品的管理规范:
1.规范购入使用台账,严格表明购入时间、批号、来源、数量、使用期限等内容;申购的标准品或对照品的批号要与新颁布标准品或对照品批号相符;
2.严格按照规定条件进行储存,标准品或对照品的状极不稳定,对储存条件和方式非常苛刻;
3.规范管理和使用:
(1)严格按照说明书要求,由于标准品或对照品的不稳定性,若不安产品说明书的要求操作,极易造成较大的误差,从而影响检测结果;
(2)称量精密准确,标准品和对照品的含量测定要求不同,对精密性的要求很高;
(3)对于长期贮存的制备品,应充分考虑各方面的影响因素,规范操作;
(4)同时配制两份对照溶液以控制检验误差,由于现在药品的标准含量测定方法较多采用对照比较法,在测定过程中,仅配制一份对照溶液容易造成因配制对照溶液过程出现偏差;
(5)自行标定的标准品或对照品,严格规范操作,保证标准的可靠传递,并保证其可溯源性和准确性。
注意事项:
1、保存
请按照说明书的规定进行保存,一般放置于干燥阴凉处为宜;
注意产品的使用期限,过期变质的产品不宜使用。
2.使用
不同对照品性状不同,一般有以下几种使用形式:
(1)无需处理,直接使用;
(2)样品有引湿性,建议开封后一次性用完;
(3)热稳定样品,每支含水量不均匀,干燥三小时后再使用;
(4)热不稳定样品,每支含水量不均匀,减压干燥后使用;干燥温度若无特别说明,一般为室温(10-30℃)
(5)样品含水量较大,且每支含水量不均匀,临用前先自测水分。
以下是 35286-58-9地榆皂苷I、地榆苷Ⅰ、枸骨甙7、苦丁冬青苷H的相关产品:
Folium nelumbinis荷叶染料法PCR鉴定试剂盒 英文名称 4-Methylumbelliferone分 子 量: 176.17CAS NO.: 90-33-5纯 度: ≥98%分子式: C10H8O3
Folium nelumbinis荷叶PCR鉴定试剂盒 英文名称 Vinblastine sulfate分 子 量: 909.05CAS NO.: 143-67-9纯 度: ≥98%分子式: C46H60N4O13S
Folium nelumbinis荷叶LAMP鉴定试剂盒 英文名称 3β-Hydroxy-5α-lanosta-7,9(11),24-trien-21-oic acid分 子 量: 454.693CAS NO.: 29220-16-4纯 度: ≥98%分子式: C30H46O3
Folium mori桑叶探针法PCR鉴定试剂盒 英文名称 7,8-Dihydroxy-2-phenyl-4H-chromen-4-one分 子 量: 254.2375CAS NO.: 38183-03-8纯 度: ≥98%分子式: C15H10O4
Folium mori桑叶染料法PCR鉴定试剂盒 英文名称 cis-9-Octadecenoic acid分 子 量: 282.46CAS NO.: 112-80-1纯 度: ≥98%分子式: C18H34O2
1(3Chlorophenyl)4(3chloropropyl)pip hydrochloride1(3)4(3丙)嗪52605524保存:20℃,避光
2(Aminomethyl)1ethylpyrrolidineN2氨26116121保存:20℃,避光
L()10Camphorsulfonyl chloride()10樟酰39262221保存:20℃,避光
Z(1R,S)cis2,2dimethyl3(2,2chloro3,3,3trifluoro1propenyl)cyclopropanecarboxylic acid功夫72748357保存:20℃,避光
3ACETOXY2BUTANONE3酰24906245保存:20℃,避光
Propargite克螨特2312358保存:20℃,避光
5Sulfosalicylic acid dihydrate5水杨5965833保存:20℃,避光
2Thiophenemethylamine227757853保存:20℃,避光
NACaryBalair氏运送培养保存:20℃,避光
1Adamantyl methyl ketone1金刚1660044保存:20℃,避光
BOCNMETYROHBOCNMETYROHDCHA95105252保存:20℃,避光
1Docosanol1二十二661198保存:20℃,避光
Phenanthrenequinone菲醌30993保存:20℃,避光
Cyclobutanemethanol环4415821保存:20℃,避光
4,4'Dichlorobenzophenone4,4'二二90982保存:20℃,避光
马兜铃内酰英文名称:Aristololactam保存:20℃,避光规格:HPLC≥98% 20mg/支
芹菜素7OβD喃葡萄糖苷(大英文名称:Apigenin 7O beta D glucopyranoside (big保存:20℃,避光规格:HPLC≥98% 20mg/支
α香附英文名称:Alpha cyperone保存:20℃,避光规格:HPLC≥98% 20mg/支
黄腐英文名称:Xanthohumol保存:20℃,避光规格:HPLC≥98% 20mg/支
盐根英文名称:Emetine hydrochloride保存:20℃,避光规格:HPLC≥98% 20mg/支
路路通;桦木;白桦脂英文名称:Passepartout acid; betulinic acid; betulinic acid保存:20℃,避光规格:HPLC≥98% 20mg/支
欧夹竹桃苷 ,夹竹桃苷英文名称:Oleandrin, oleander保存:20℃,避光规格:HPLC≥98% 20mg/支
青英文名称:Artemisinic acid保存:20℃,避光规格:HPLC≥98% 20mg/支
青素;青素B英文名称:Artemisinin, arteannuin B; B保存:20℃,避光规格:HPLC≥98% 20mg/支
野马追内A英文名称:Eupatorium lindleyanum lactone A保存:20℃,避光规格:HPLC≥98% 20mg/支
紫云英苷;黄芪苷、莰非3O葡萄糖英文名称:Astragalin; Huang Qigan, kaempferol, 3O glucose保存:20℃,避光规格:HPLC≥98% 20mg/支
3,29二酰栝楼仁三英文名称:3,29 two benzoyl Trichosanthes Jen three alcohol保存:20℃,避光规格:HPLC≥98% 10mg/支
冬绿苷英文名称:Gaultherin保存:20℃,避光规格:HPLC≥98% 20mg/支
褪黑素;松果体素;; 褪黑色素英文名称:Melatonin; Melatonin; Melatonin;保存:20℃,避光规格:HPLC≥98% 20mg/支
绞股蓝皂苷英文名称:Gypenosides保存:20℃,避光规格:UV≥98% 20mg/支
35286-58-9地榆皂苷I、地榆苷Ⅰ、枸骨甙7、苦丁冬青苷HDACH1 细胞命运决定因子DACH1抗体 0.2ml Famciclovir
DRG1 GTP发育调控结合蛋白1抗体 0.2ml Fludarabine Phosphate
DNAJB4/HSP40 homolog 热休克蛋白家族40抗体 0.1ml Penciclovir
DAL1/EPB41L3 细胞骨架4.1蛋白家族DAL1抗体 0.2ml Itraconazole
MIG6/ERRFI1 有丝分裂原诱导基因6抗体 0.2ml Itraconazole
EXTL 外生性骨疣样蛋白2抗体 0.2ml Fluconazole
FBXO31 F-box蛋白家族FBXO31抗体 0.2ml Fluconazole
FLCN/BHD/Folliculin 卵巢滤泡激素抗体(BHD综合征) 0.1ml Ziprasidone HCl
风险提示:丁香通仅作为第三方平台,为商家信息发布提供平台空间。用户咨询产品时请注意保护个人信息及财产安全,合理判断,谨慎选购商品,商家和用户对交易行为负责。对于医疗器械类产品,请先查证核实企业经营资质和医疗器械产品注册证情况。
技术资料暂无技术资料 索取技术资料
35286-58-9地榆皂苷I、地榆苷Ⅰ、枸骨甙7、苦丁冬青苷H厂家
询价









