相关产品推荐更多 >
万千商家帮你免费找货
0 人在求购买到急需产品
- 详细信息
- 文献和实验
- 技术资料
- 库存:
大量
- 英文名:
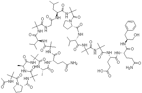
Alamethicin
- CAS号:
27061-78-5
- 保质期:
2年
- 供应商:
上海泽叶生物科技有限公司
- 保存条件:
2-8℃
- 规格:
5mg/10mg
| 分析标准品,Purity≥98% |
- 英文名:
- Alamethicin
- 别名:
- alamethicin from trichoderma viride; Alamethicin from Trichoderma viride; ALAMETHICINRESEARCH GRADE;
- CAS号:
- 27061-78-5
- 分子式:
- C92H150N22O25
- 分子量:
- 1964.31
- MDL:
- MFCD00151517
- 熔点: 255-270℃
- 储存条件: 2-8℃
- 来源: 合成
- 外观: 固体
- 溶解性: Soluble in DMSO and ethanol,Methanol
- 用途: Alamethicin is a monovalent cation ionophore which can mimic nerve action potential across artificial membranes. Alamethicin has also been used for studying membrane interactions of antimicrobial peptides.
- 标准样品是按一定步骤,由被授权单位制造,作为标准的产品。对照品是用于对照的产品,作为对照品,其材质、含量都不是重要的,是其他东西与它相比。标准物质是作为标准的物质,不一定是实物。
对照品和标准品一样是指国家药品标准中用于鉴别、检查、含量测定、杂质和有关物质检查等标准物质,它是国家药品标准不可分割的组成部分。国家药品标准物质是国家药品标准的物质基础,它是用来检查药品质量的一种特殊的专用量具;是测量药品质量的基准;也是作为校正测试仪器与方法的物质标准。在药品检验中,它是确定药品真伪优劣的对照,是控制药品质量必不可少的工具。
对照品或标准品混用,即将对照品或标准品用于不是其标定方法的含量测定,是药品检验中经常出现但未引起重视的一个问题[3]。尽管同一批对照品不同标定方法的含量有很好的相关性,但并不完全相同,有时差别会很大。头孢呋肟酯对照品,HPLC标定为96.9%,供含量测定用;UV为98.8%,供溶出度测定。虽然中国药典凡例明确规定卫生部所发对照品仅用于正文中所规定的分析方法。但由于:
(1)卫生部提供的对照品使用说明书不够详尽,大多无对照品质量要求及标定方法;
(2)对对照品或标准品的正确使用缺乏认识;
(3)日常科研中极难找到相应的对照品;
(4)中国药典正文中也常存在对照品混用的问题,如常将含量测定用的标准品或对照品用于溶出度检查,而含量测定方法与溶出度分析方法又不同,故极易引起混用。
风险提示:丁香通仅作为第三方平台,为商家信息发布提供平台空间。用户咨询产品时请注意保护个人信息及财产安全,合理判断,谨慎选购商品,商家和用户对交易行为负责。对于医疗器械类产品,请先查证核实企业经营资质和医疗器械产品注册证情况。
文献和实验指溶于膜的脂质内具有使离子容易透过膜的抗菌物质。例如,从放线菌中得到了一些抗菌物质,在线粒体中能以 10-9 M这样低的浓度,引起能量共轭的碱金属离子的蓄积,并可使由磷脂组成的人工膜的电导率显著增高。普雷斯曼( B. C. Pressman, 1968)认为,离子通透载体可分为以下三类:缬氨霉素型,聚乙烯的尼日利亚菌素型和环状多肽的丙甲菌素型。它们都具有环状结构,而且氧原子都朝向内侧排列,由于它与阳离子之间的偶极子作用,阳离子被包含在里面,通透载体向外侧伸出疏水基团,容易
在丙型与戊型肝炎实验室诊断技术建立之后,临床上仍有相当一部分(10%~20%)肝炎病例不能用现有的检测方法检出其病毒学标志。提示在已认识的甲、乙、丙、丁及戊型肝炎病毒之外,还存在其他尚未被发现的病原体。1995年发现的庚型肝炎病毒(HGV)或GBV-C虽能引起人类感染,但其致病性仍未确定,现有研究表明HGV/GBV-C不是非甲-戊型肝炎的主要病原。 1997年12月日本学者Nishizawa等[8]采用代表性差异分析法(representational
+ ,于是Na + 的浓度不断增加(倍增)。结果甲管中溶液自上而下的渗透浓度会越来越高,到甲管下端的弯曲部分时Na + 深夜逐渐下降,渗透浓度也相应下降。这样,不论是甲管还是乙管,从上而下来比较,溶液的渗透浓度均逐渐升高,即出现了逆流倍增现象,形成了渗透梯度。如果有渗透浓度较低的溶液从丙管向下流动,而且M 2 膜对水不能通透,对溶质不通透,水将因渗透作用而进入乙管。这样丙管内溶质的深夜将逐渐增加;从丙管下端流出的液体
技术资料暂无技术资料 索取技术资料










