相关产品推荐更多 >
万千商家帮你免费找货
0 人在求购买到急需产品
- 详细信息
- 技术资料
- 库存:
100
- 供应商:
上海羽朵
- 英文名:
Exatecan Mesylate
- 规格:
1g
| 中文名称: | EXATECAN MESILATE |
| 中文同义词: | 依沙替康甲磺酸盐;依喜替康甲磺酸盐 |
| 英文名称: | Exatecan mesilate |
| 英文同义词: | Exatecan mesilate;DX 8951f;Exatecan Meslate |
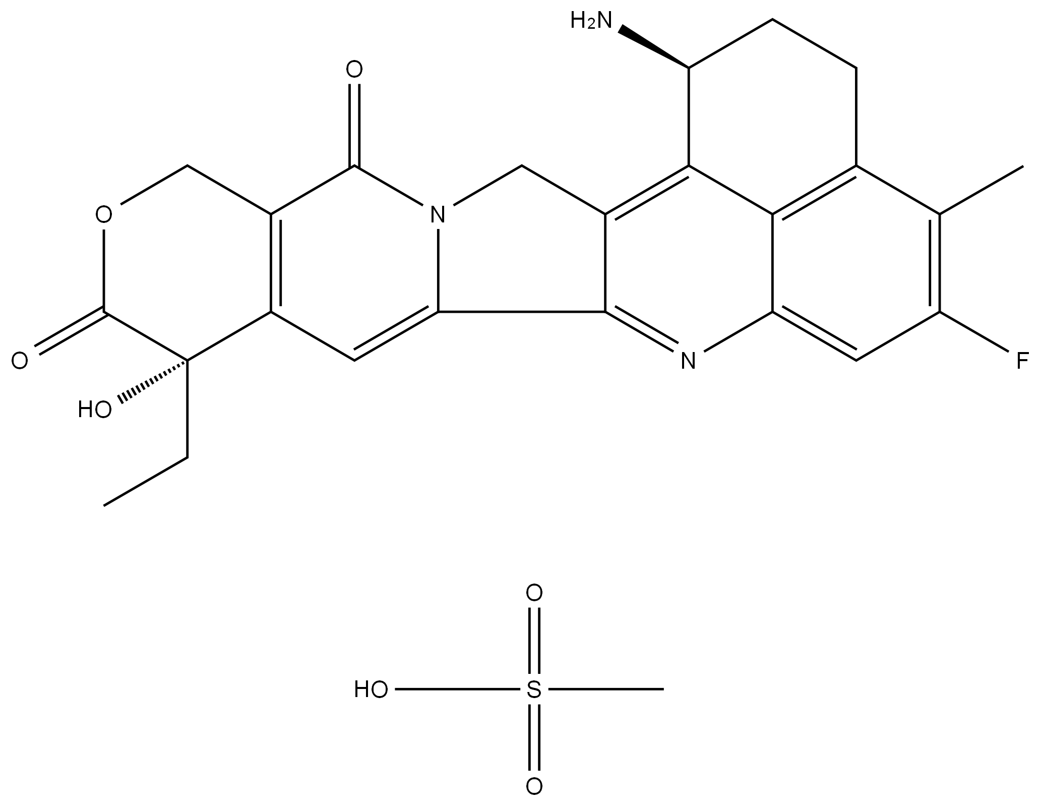
| CAS号: | 169869-90-3 |
| 分子式: | C25H26FN3O7S |
| 分子量: | 531.5532432 |
| EINECS号: | -0 |
| 相关类别: | - |
| Mol文件: | 169869-90-3.mol |
![]() |
|
| CS-2624 | 2003234-63-5 |
| CS-2639 | 1345982-69-5 |
| CS-2620 | 877387-37-6 |
| 3-(4-甲氧基-2-甲基苯基)-2,5-二甲基-N-[(1S)-1-(3-甲基-1,2,4-恶二唑-5-基)丙基]吡唑并[1,5-A]嘧啶-7-胺 | 885220-61-1 |
| CS-2625 | 1589527-65-0 |
| N/A | 1025967-78-5 |
| CS-2622 | 1879887-96-3 |
| CS-2631 | 1433497-19-8 |
| 蓝木定制的新产品 | 2088939-99-3 |
| 硫酸单[(1R,2S,5R)-7-氧代-2-[(4-哌定基氨基)羰基]-1,6-二氮杂双环[3.2.1]辛-6-基]酯 | 1174018-99-5 |
| CPDB5078 | 1434635-54-7 |
风险提示:丁香通仅作为第三方平台,为商家信息发布提供平台空间。用户咨询产品时请注意保护个人信息及财产安全,合理判断,谨慎选购商品,商家和用户对交易行为负责。对于医疗器械类产品,请先查证核实企业经营资质和医疗器械产品注册证情况。
技术资料暂无技术资料 索取技术资料
Exatecan Mesylate 169869-90-3
询价








