相关产品推荐更多 >
万千商家帮你免费找货
0 人在求购买到急需产品
- 详细信息
- 文献和实验
- 技术资料
- 库存:
100
- 供应商:
上海羽朵
- 英文名:
GGTI298
- 规格:
1g
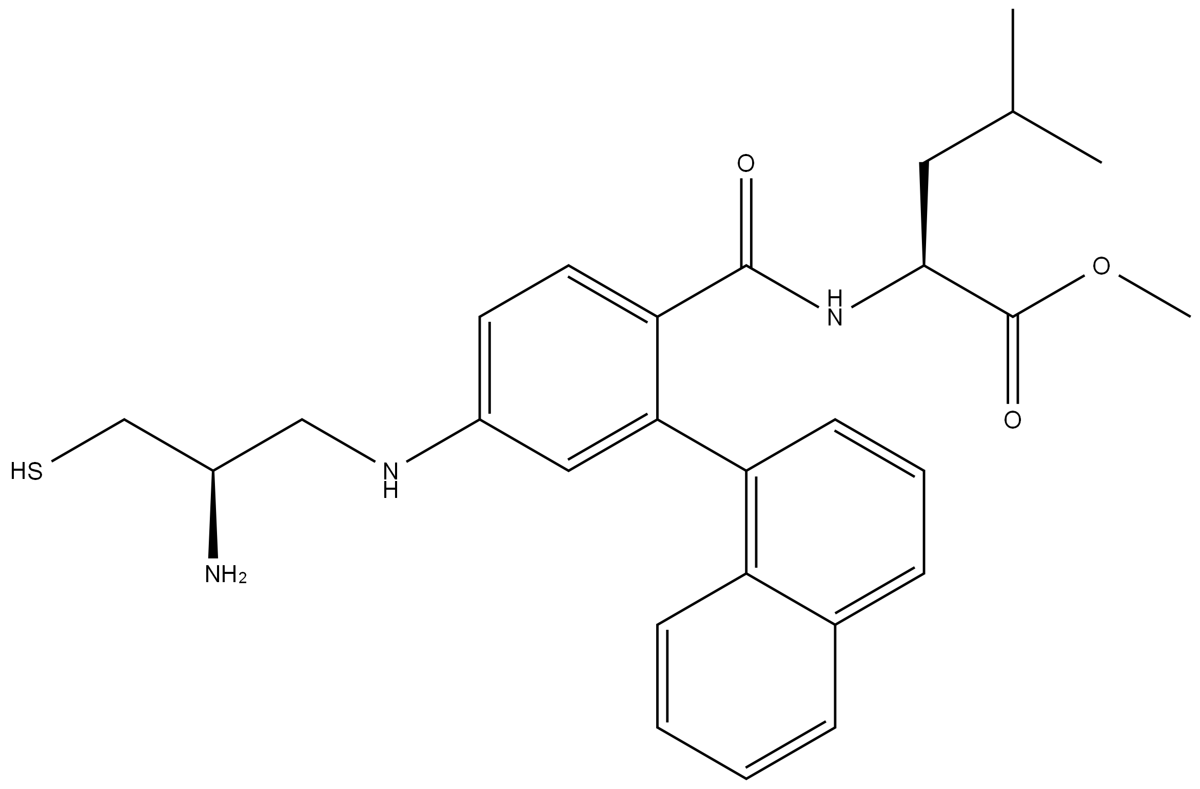
| 中文名称: | CS-2228 |
| 中文同义词: | CS-2228 |
| 英文名称: | GGTI-298 |
| 英文同义词: | GGTI-298;N-[[4-(2-(R)-AMINO-3-MERCAPTOPROPYL)AMINO]-2-NAPHTHYLBENZOYL]LEUCINE METHYL ESTER TRIFLUOROACETATE SALT;N-4-[2(R)-AMINO-3-MERCAPTOPROPYL]AMINO-2-NAPHTHYLBENZOYL-(L)-LEUCINE METHYL ESTER, TFA;GGTI-298 trifluoroacetate salt;N-[[4-(2-(R)-Amino-3-mercaptopropyl)amino]-2-naphthylbenzoyl]leucine methyl ester trifluoroacetate salt;N-[4-[2(R)-Amino-3-mercaptopropyl]amino-2-(1-naphthalenyl)benzoyl]-L-leucinemethylestertrifluoroacetatesalt;GGTI298 (GGTI-298;GGTI298 (CF3CO2H)salt |
| CAS号: | 180977-44-0 |
| 分子式: | C29H34F3N3O5S |
| 分子量: | 593.66 |
| EINECS号: | |
| 相关类别: | A cell-permeable, prodrug form of the GGTase I inhibitor GGTI-297. |
| Mol文件: | Mol File |
![]() |
|
| CS-2257 | |
| GSK2981278 | 1474110-21-8 |
| CS-2265 | 1652591-81-5 |
| CS-2243 | 1910124-24-1 |
| 2-(1,3-二甲基-2,6-二氧代-2,3-二氢-1H-嘌呤-7(6H)-基)-N-(4-异丙基-苯基)乙酰胺 | 349085-38-7 |
| CS-2239 | 173529-10-7 |
| CS-2230 | 23146-22-7 |
| 1-(2,4-DICHLOROBENZOYL)-1H-BENZOTRIAZOLE | 200626-61-5 |
| 3-氯-N-[2-氧代-2-[[(1S)-1-苯基乙基]氨基]乙基]苯甲酰胺 | 1802326-66-4 |
| 1-[N,O-二(5-异喹-啉磺酰基)-N-甲基-L-型酪氨酸]-4-苯基哌嗪 | 127191-97-3 |
风险提示:丁香通仅作为第三方平台,为商家信息发布提供平台空间。用户咨询产品时请注意保护个人信息及财产安全,合理判断,谨慎选购商品,商家和用户对交易行为负责。对于医疗器械类产品,请先查证核实企业经营资质和医疗器械产品注册证情况。
文献和实验CD44/CD44R 分子 CD44 常用单克隆抗体或代号: GRHL1,Hermes,F10- 44- 2(Pgp- 1H- CAM,ECM- RⅢ) 主要表达细胞: Leu,上皮,Fb,RBC[AS] 分子质量(kDa)和结构: gp80- 95 功 能: 粘附ECM,T细胞活化,淋巴细胞归位受体,归位到HEV CD44R 常用单克隆抗体或代号: FM11,24
对CD44的研究时间较长、较深入亦较广泛。已知其为分布极为广泛的细胞表面跨膜糖蛋白,主要参与异质性粘附,即肿瘤细胞与宿主细胞和宿主基质的粘附,异质性粘附在肿瘤细胞侵袭转移中起促进作用。 人类CD44基因位于11号染色体短臂,全长约50kb,共由20个高度保守的外显子组成,每个外显子长度70-210bp不等,中间由长短不一的内含子分隔。CD44基因的20个外显子按照转录方式不同可分为组成型外显子(C)和变异型拼接外显子(V)两大类。组成型外显子共有10个,存在
IF 44!哈佛最新研究:坚持 6 种健康生活方式,长新冠风险可降低一半
的发生仍然没有明确的策略。 2023 年 2 月 6 日,哈佛大学陈曾熙公共卫生学院领导的团队在 JAMA Internal Medicine(IF = 44.409)杂志上线发表了一篇研究论文 Adherence to Healthy Lifestyle Prior to Infection and Risk of Post–COVID-19 Condition。研究结果表明,遵循健康生活方式大多数方面的女性,与没有任何健康生活方式的女性相比,患长期 COVID 的风险约为一半。即健康的生活
技术资料暂无技术资料 索取技术资料









