相关产品推荐更多 >
万千商家帮你免费找货
0 人在求购买到急需产品
- 详细信息
- 文献和实验
- 技术资料
- 库存:
100
- 供应商:
上海羽朵
- 英文名:
SAR125844
- 规格:
1g
| 中文名称: | SAR125844 |
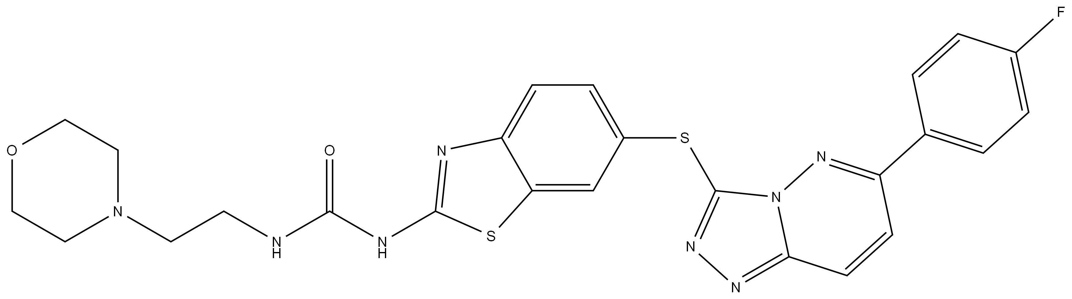
| 中文同义词: | 1-[6-[[6-(4-氟-苯基)[1,2,4]三唑并[4,3-B]哒嗪-3-基]硫基]-1,3-苯并噻唑-2-基]-3-[2-(吗啉-4-基)乙基]脲 |
| 英文名称: | SAR125844 |
| 英文同义词: | SAR125844;1-[6-[[6-(4-Fluorophenyl)[1,2,4]triazolo[4,3-b]pyridazin-3-yl]sulfanyl]-1,3-benzothiazol-2-yl]-3-[2-(morpholin-4-yl)ethyl]urea;SAR125884;SAR125844 /SAR-125844 |
| CAS号: | 1116743-46-4 |
| 分子式: | C25H23FN8O2S2 |
| 分子量: | 550.6309232 |
| EINECS号: | |
| 相关类别: | 抑制剂;- |
| Mol文件: | 1116743-46-4.mol |
![]() |
|
| ACALISIB (GS-9820) | 870281-34-8 |
| THZ1 | 1604810-83-4 |
| BRD73954 | 1440209-96-0 |
| 巴马司他 | 130370-60-4 |
| TAPI-1 | 171235-71-5 |
| 伊洛马司他 | 142880-36-2 |
| URMC-099 | 1229582-33-5 |
| A 77-01 | 607737-87-1 |
| FRAX486 | 1232030-35-1 |
| 2-[(2-氯-4-碘苯基)氨基]-N-(环丙基甲氧基)-3,4-二氟-苯甲酰胺 | 212631-79-3 |
| 坦度替尼 | 387867-13-2 |
风险提示:丁香通仅作为第三方平台,为商家信息发布提供平台空间。用户咨询产品时请注意保护个人信息及财产安全,合理判断,谨慎选购商品,商家和用户对交易行为负责。对于医疗器械类产品,请先查证核实企业经营资质和医疗器械产品注册证情况。
文献和实验CD46 分子 CD46 常用单克隆抗体或代号: HULYM5,J48 主要表达细胞: 广泛,Leu,Pt [NL] 分子质量(kDa)和结构: gp56- 66,膜辅助因子蛋白(MCP) 功 能: 调节补体活化,裂解C3b ,C4b膜辅助因子蛋白 CD46 Aka membrane cofactor protein (MCP) Cofactor for Factor
【求助】质粒有两个复制起始点,怎么复制呢?(red重组,pKD46质粒)
mnidr 我现在在做基因敲除,用的是red重组系统,pKD46质粒上携带有敲除所需的蛋白。pKD46质粒上有两个复制起始点Origin of Replication:repA101ts & oriR101 ;repA101ts是温度敏感型复制起始点。 有几个问题请教: 1.大家有用过这个pKD46的吗?oriR101是温度敏感型复制子还是条件诱导型复制子啊,我在网上查到它是温度敏感型复制起始点,我很不理解,为什么已经有一个温度
网络 四、膜辅蛋白(CD46) 膜辅蛋白(membrane cofactor protein,MCP)由Cole等(1985)应用C3b亲和层析在外周血淋巴细胞上发现的一种膜蛋白。由于其奇特的电泳特征,起初被命名为gp45-70,但进一步研究发现,它对I因子介导的对C3b和C4b的裂解有辅助活性,故更命为MCP。鉴于MCP
技术资料暂无技术资料 索取技术资料








