相关产品推荐更多 >
万千商家帮你免费找货
0 人在求购买到急需产品
- 详细信息
- 文献和实验
- 技术资料
- 库存:
100
- 供应商:
上海羽朵
- 英文名:
LY2886721
- 规格:
1g
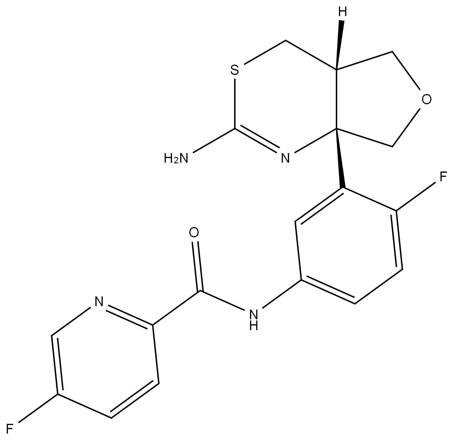
| 中文名称: | N-[3-[(4AS,7AS)-2-氨基-4A,5-二氢-4H-呋喃并[3,4-D][1,3]噻嗪-7A(7H)-基]-4-氟-苯基]-5-氟-2-吡啶甲酰胺 |
| 中文同义词: | CS-367;N-[3-[(4AS,7AS)-2-氨基-4A,5-二氢-4H-呋喃并[3,4-D][1,3]噻嗪-7A(7H)-基]-4-氟-苯基]-5-氟-2-吡啶甲酰胺;LY 2886721盐酸 |
| 英文名称: | LY2886721 |
| 英文同义词: | LY2886721;N-[3-[(4aS,7aS)-2-Amino-4a,5-dihydro-4H-furo[3,4-d][1,3]thiazin-7a(7H)-yl]-4-fluorophenyl]-5-fluoro-2-pyridinecarboxamide;N-(3-((4aS,7aS)-2-aMino-4a,5,7,7a-tetrahydro-4H-furo[3,4-d][1,3]thiazin-7a-yl)-4-fluorophenyl)-5-fluoropicolinaMide;LY2886721/LY-2886721;LY2886721 HCL SALT;LY2886721HCL;N-[3-[(4aS,7aS)-2-Amino-4a,5-dihydro-4H-furo[3,4-d][1,3]thiazin-7a(7H)-yl]-4-fluorophenyl]-5-fluoro-2-pyridinecarboxamide LY2886721;LY2886721, >=98% |
| CAS号: | 1262036-50-9 |
| 分子式: | C18H16F2N4O2S |
| 分子量: | 390.41 |
| EINECS号: | |
| 相关类别: | 信号转导通路激酶抑制剂;小分子抑制剂,天然产物;其他;-;Inhibitors |
| Mol文件: | 1262036-50-9.mol |
![]() |
|
| LY294002/PI3K抑制剂 | 154447-36-6 |
| 4-氟-N-甲基-N-[1-[4-(1-甲基-1H-吡唑-5-基)-1-酞嗪基]-4-哌定基]-2-(三氟甲基)苯甲酰胺 | 1258861-20-9 |
| (1R,2S,4R,5R,6R)-2-[[(2S)-2-氨基-1-氧代丙基]氨基]-4-(1H-1,2,4-三唑-5-基硫基)-双环[3.1.0]己烷-2,6-二甲酸铵盐水合物 | 1311385-32-6 |
| 8-苯基-2-(1-哌嗪基)-4H-1-苯并吡喃-4-酮 | 154447-38-8 |
| LY 364947 | 396129-53-6 |
| (1R,4S,5S,6S)-4-氨基-2-硫杂双环[3.1.0]己烷-4,6-二甲酸 2,2-二氧化物 | 635318-11-5 |
| (AS)-N-[(1S)-2-[[(7S)-6,7-二氢-5-甲基-6-氧代-5H-二苯并[B,D]氮杂卓-7-基]氨基]-1-甲基-2-氧代乙基]-3,5-二氟-ALPHA-羟基苯乙酰胺 | 209984-57-6 |
| 他斯索兰 | 519055-62-0 |
| 马西替坦 | 441798-33-0 |
| LY 2157299 | 700874-72-2 |
| N-[5-溴-4-甲基-2-[(2S)-2-吗啉甲氧基]苯基]-N'-(5-甲基-2-吡嗪基)脲 | 911222-45-2 |
风险提示:丁香通仅作为第三方平台,为商家信息发布提供平台空间。用户咨询产品时请注意保护个人信息及财产安全,合理判断,谨慎选购商品,商家和用户对交易行为负责。对于医疗器械类产品,请先查证核实企业经营资质和医疗器械产品注册证情况。
文献和实验刘淼清 在园中看到关于LY294002和Wortmannin区别。(建议用LY,主要原因有两个,一,Wortmannin相对来说要贵好多;二,更重要的,Wortmannin半衰期很短,如果没记错的话大概只有8-10小时,所以如果处理时间久的话,药物浓度下降很快。有篇文献研究了Wortmannin的半衰期,有兴趣可以去查查看,应该是2005年的文献。 ) 这篇文献不知有哪位战友知道。 第二 LY294002的半衰期是多少
olivial 最近在做细胞内信号转导通路PI-3K-Akt,关于它的抑制剂LY 294002的配制,说明书上写用DMSO,在做实验时设了vehicle(含等量DMSO)组,但发现DMSO对细胞(小胶质细胞)有影响,且DMSO与干预药有协同作用,MTT结果显示DMSO浓度>=0.1%即对细胞造成损伤,而任何浓度DMSO(0.01%~0.1%)都与干预药有协同作用,乙醇的结果亦如此。所以想请教,大家在配LY时是怎么配的?在使用LY时是否遇到了上述问题
Determining Ligand Specificity of Ly49 Receptors
Ly49 receptors in rodents, like KIR in humans, play an integral role in the regulation of NK cell activity. Some inhibitory Ly49 are known to interact with specific MHC I alleles to maintain tolerance to self tissues, and NK activation
技术资料暂无技术资料 索取技术资料








![N-[3-[(4AS,7AS)-2-氨基-4A,5-二氢-4H-呋喃并[3,4-D][1,3]噻嗪-7A(7H)-基]-4-氟苯基]-5-氟-2-吡啶甲酰胺](https://img1.dxycdn.com/p/s14/2024/0422/939/6338155481256632871.gif)

