相关产品推荐更多 >
万千商家帮你免费找货
0 人在求购买到急需产品
- 详细信息
- 技术资料
- 库存:
100
- 供应商:
上海羽朵
- 英文名:
吡柔比星 Pirarubicin
- 规格:
1g
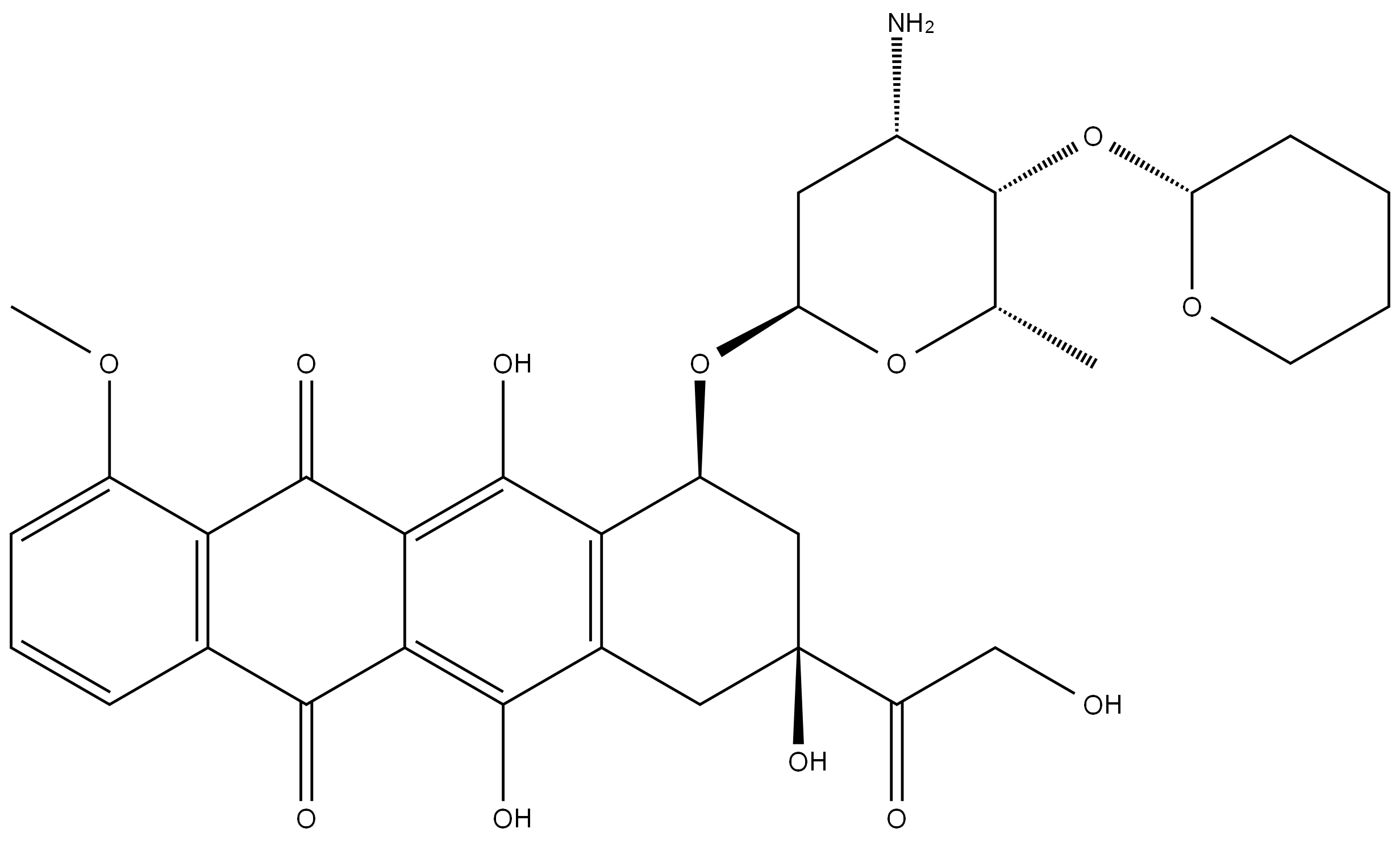
| 中文名称: | 吡柔比星 |
| 中文同义词: | 呲柔比星;吡柔比星;CS-702;吡柔比星/吡喃阿霉素;吡喃阿霉素、吡柔比星;吡喃阿霉素 |
| 英文名称: | Pirarubicin |
| 英文同义词: | THP-ADM;THEPRUBICIN;(8s-cis)-droxyacetyl)-1-methoxy;(8S,10S)-10-[[3-Amino-2,3,6-trideoxy-4-O-[(2R)-tetrahydro-2H-pyran-2-yl]-a-L-lyxo-hexopyranosyl]oxy]-7,8,9,10-tetrahydro-6,8,11-trihydroxy-8-(2-hydroxyacetyl)-1-methoxy-5,12-naphthacenedione;Tepirubicin;Therarubiein;THP-adriamycin;(8S,10S)-10-[(2S,4S,5S,6S)-4-Amino-6-methyl-5-[(2S)-oxan-2-yl]oxy-oxan-2-yl]oxy-6,8,11-trihydroxy-8-(2-hydroxyacetyl)-1-methoxy-9,10-dihydro-7H-tetracene-5,12-dione |
| CAS号: | 72496-41-4 |
| 分子式: | C32H37NO12 |
| 分子量: | 627.64 |
| EINECS号: | |
| 相关类别: | 抗生素;其它抗生素;药物;信号转导通路激酶抑制剂;医药中间体;抗肿瘤;小分子抑制剂,天然产物;医药原料药;原料药【仅供科研】;DNA损伤;化合物;科研原药系列;抗肿瘤-;BICINS比星类产品(Anti-cancer);医用原料-;Intermediates & Fine Chemicals;Pharmaceuticals;API;Inhibitors;Chiral Reagents |
| Mol文件: | 72496-41-4.mol |
![]() |
|
| 蛋白磷酸酯酶-1(抗原) | 172889-26-8 |
| N-羟基-N'-3-吡啶基辛二酰胺 | 382180-17-8 |
| N-(3,5-二氯-2-甲氧基-苯基)-4-甲氧基-3-(1-哌嗪基)苯磺酰胺 盐酸盐 | 402713-80-8 |
| SB-3CT | 292605-14-2 |
| 5-[2-[4-[2-(二甲基氨基)乙氧基]苯基]-5-(4-吡啶基)-1H-咪唑-4-基]-2,3-二氢-1-茚酮肟 | 405554-55-4 |
| N/A | 459147-39-8 |
| Volasertib (BI 6727) | 755038-65-4 |
| VX11E | 896720-20-0 |
| ACP-196 | 1420477-60-6 |
| AMG319 | 1608125-21-8 |
| AMG-337 | 1173699-31-4 |
风险提示:丁香通仅作为第三方平台,为商家信息发布提供平台空间。用户咨询产品时请注意保护个人信息及财产安全,合理判断,谨慎选购商品,商家和用户对交易行为负责。对于医疗器械类产品,请先查证核实企业经营资质和医疗器械产品注册证情况。
技术资料暂无技术资料 索取技术资料
吡柔比星 Pirarubicin 72496-41-4
询价









