相关产品推荐更多 >
万千商家帮你免费找货
0 人在求购买到急需产品
- 详细信息
- 技术资料
- 库存:
111
- 英文名:
Emeramide
- CAS号:
351994-94-0
- 保质期:
2年
- 供应商:
北京百奥莱博科技有限公司
- 保存条件:
-20℃,有效期2年,溶入溶剂后-20℃
- 规格:
1mL(10mM)|100mg|500mg
特别提示:包括Emeramide在内,本公司的所有产品仅可用于科研实验,严禁用于临床医疗及其他非科研用途!
产品名称:Emeramide
英文名称:Emeramide
产品货号:M02624
产品规格:1mL(10mM)|100mg|500mg
Emeramide是一种新型的脂溶性硫醇氧化还原抗氧化剂和重金属螯合剂。
注:本品仅可用于科研实验,严禁用于临床医疗及其他用途!
CAS号:351994-94-0
别名:BDTH2
分子式:C₁₂H₁₆N₂O₂S₂
分子量:284.4
结构式:
储存条件:-20℃,有效期2年,溶入溶剂后-20℃请尽量在一个月内使用。
除了Emeramide,BDTH2,我公司还供应以下相关产品:
名称:肝素溶液
货号:SNM070
规格:10ml
肝素是一种含有硫酸基团的粘多糖,带有强大的负电荷,具有加强抗凝血酶III灭活丝氨酸蛋白酶的作用,从而阻止凝血酶的形成,并有阻止血小板聚集等多种抗凝作用。肝素管一般用于生化及血流变的检测,是电解质检测的zuì佳选择,检验血标本中的钠离子时,不能使用肝素钠,以免影响检测结果。也不能用于白细胞计数和分类,因肝素会引起白细胞聚集。
名称:巴比*钠/盐酸缓冲液
货号:SNM245
规格:500ml
名称:前列腺素EP2受体拮抗剂(PF-04418948)
货号:M00755
规格:1mL(10mM)|5mg|10mg|50mg
PF-04418948是一种新型有效的选择性前列腺素EP2受体拮抗剂,IC50为16nM,比作用于EP1,EP3,EP4,DP1和CRTH2受体选择性高2000多倍。
注:本品仅可用于科研实验,严禁用于临床医疗及其他用途!
CAS号:1078166-57-0
纯度:99.60%
分子式:C₂₃H₂₀FNO₅
分子量:409.41
结构式:
储存条件:-20℃,有效期2年,溶入溶剂后-20℃请尽量在一个月内使用。
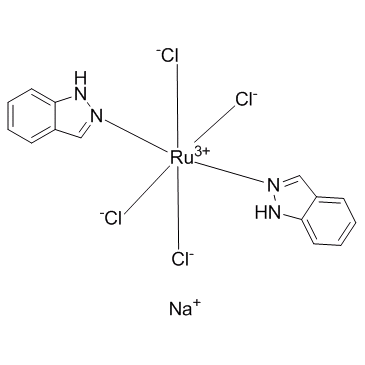
名称:NKP-1339
货号:M01328
规格:1mL(10mM)|5mg|10mg|50mg|100mg
NKP-1339(IT-139)是一种钌-抗癌化合物复合体,靶点为转铁蛋白(transferrin)。
注:本品仅可用于科研实验,严禁用于临床医疗及其他用途!
CAS号:197723-00-5
别名:IT-139;KP-1339
纯度:98.32%
分子式:C₁₄H₁₂Cl₄N₄NaRu
分子量:502.14
结构式:
储存条件:-20℃,有效期2年,溶入溶剂后-20℃请尽量在一个月内使用。
名称:PA-824
货号:M03617
规格:1mL(10mM)|10mg|50mg|100mg
PA-824(Pretomanid)可作用于肺结核,MIC为<1μg/mL。
注:本品仅可用于科研实验,严禁用于临床医疗及其他用途!
CAS号:187235-37-6
别名:PA824;PA 824;Pretomanid;(S)-PA 824
纯度:99.54%
分子式:C₁₄H₁₂F₃N₃O₅
分子量:359.26
结构式:
储存条件:-20℃,有效期2年,溶入溶剂后-20℃请尽量在一个月内使用。
名称:Imidazolidinyl urea
货号:M04010
规格:1mL(10mM)|1g
Imidazolidinyl urea是一种化妆品中使用的抗菌防腐剂,用作甲醛释放剂。
注:本品仅可用于科研实验,严禁用于临床医疗及其他用途!
CAS号:39236-46-9
分子式:C₁₁H₁₆N₈O₈
分子量:388.29
结构式:
储存条件:-20℃,有效期2年,溶入溶剂后-20℃请尽量在一个月内使用。
名称:Sulfalene
货号:M04293
规格:1mL(10mM)|10mg|50mg|100mg
Sulfalene是一种抗疟药。
注:本品仅可用于科研实验,严禁用于临床医疗及其他用途!
CAS号:152-47-6
别名:Sulfametopyrazine;AS-18908
分子式:C₁₁H₁₂N₄O₃S
分子量:280.3
结构式:
储存条件:-20℃,有效期2年,溶入溶剂后-20℃请尽量在一个月内使用。
名称:1alpha, 24, 25-Trihydroxy VD2
货号:M05576
规格:1mg|5mg
1alpha,24,25-Trihydroxy VD2是维生素D类似物。
注:本品仅可用于科研实验,严禁用于临床医疗及其他用途!
CAS号:457048-34-9
分子式:C₂₈H₄₄O₄
分子量:444.65
结构式:
储存条件:-20℃,有效期2年,溶入溶剂后-20℃请尽量在一个月内使用。
名称:DNA蓝色荧光染料(Hoechst 33258 analog)
货号:M07085
规格:1mL(10mM)|5mg|10mg|50mg|100mg
Hoechst33258类似物是DNA蓝色荧光染料。
注:本品仅可用于科研实验,严禁用于临床医疗及其他用途!
CAS号:258843-62-8
纯度:99.96%
分子式:C₂₉H₃₀N₆O₃
分子量:510.59
结构式:
储存条件:-20℃,有效期2年,溶入溶剂后-20℃请尽量在一个月内使用。
名称:4-Methylbenzylidene camphor
货号:M07355
规格:1mL(10mM)|1g|5g
4-Methylbenzylidene camphor(4-MBC;Enzacamene)是一个有机的樟脑衍生物,应用于化妆品行业的保护皮肤抵抗紫外线的能力,特别是紫外线B辐射。
注:本品仅可用于科研实验,严禁用于临床医疗及其他用途!
CAS号:36861-47-9
别名:4-MBC;Enzacamene
纯度:99.10%
分子式:C₁₈H₂₂O
分子量:254.37
结构式:
储存条件:-20℃,有效期2年,溶入溶剂后-20℃请尽量在一个月内使用。
风险提示:丁香通仅作为第三方平台,为商家信息发布提供平台空间。用户咨询产品时请注意保护个人信息及财产安全,合理判断,谨慎选购商品,商家和用户对交易行为负责。对于医疗器械类产品,请先查证核实企业经营资质和医疗器械产品注册证情况。
技术资料暂无技术资料 索取技术资料
Emeramide
¥380 - 3800










