相关产品推荐更多 >
万千商家帮你免费找货
0 人在求购买到急需产品
- 详细信息
- 文献和实验
- 技术资料
- 库存:
116
- 英文名:
Neuromedin B
- CAS号:
87096-84-2
- 保质期:
2年
- 供应商:
北京百奥莱博科技有限公司
- 保存条件:
-20℃,有效期2年,溶入溶剂后-20℃
- 规格:
1mL(10mM)|1mg|5mg|10mg|25mg
特别提示:包括Neuromedin B在内,本公司的所有产品仅可用于科研实验,严禁用于临床医疗及其他非科研用途!
产品名称:Neuromedin B
英文名称:Neuromedin B
产品货号:M06840
产品规格:1mL(10mM)|1mg|5mg|10mg|25mg
Neuromedin B是一种含10个氨基酸的神经肽,属于蛙肽家族,为铃蟾肽相关肽。
注:本品仅可用于科研实验,严禁用于临床医疗及其他用途!
CAS号:87096-84-2
别名:Gly-Asn-Leu-Trp-Ala-Thr-Gly-His-Phe-Met-NH2;GNLWATGHFM-NH2
纯度:98.11%
分子式:C₅₂H₇₃N₁₅O₁₂S
分子量:1132.29
结构式:
储存条件:-20℃,有效期2年,溶入溶剂后-20℃请尽量在一个月内使用。
除了Neuromedin B,Gly-Asn-Leu-Trp-Ala-Thr-Gly-His-Phe-Met-NH2,GNLWATGHFM-NH2,我公司还供应以下相关产品:
名称:乙酰丁香酮
货号:SY0609
规格:1g
乙酰丁香酮是一种结构上与苯乙酮(acetophenone)和2,6-二甲氧基**(2,6- dimethoxyphenol)相似的酚类化合物。zuì初报道与木脂素/苯丙素型植物化合物相关,植物来源广泛,特别是处于创伤和其他生理变化的植物。乙酰丁香酮(Acetosyringone, AS)可以诱导根癌农杆菌(Agrobacterium tumefaciens)Ti质粒和发根农杆菌(Agrobacterium rhizogenes)Ri质粒携带的VirA基因的活化和高效表达,从而启动其他Vir基因表达,切割下质粒上的一段T-DNA单链,促进其转化和整合入寄主植物基因组内。目前普遍应用于农杆菌介导的遗传转化研究中。
本品属于植物组织培养级,纯度≥ 98%,植物转化研究的常用浓度为50-200 μM。
CAS:2478-38-8
分子式:C10H12O4
分子量:196.2
外观:白色至黄色粉末或晶体
熔点:122-125 ℃
溶解性:微溶于水,溶于DMSO,乙醇和热*醇
纯度:≥ 98%
储存条件:室温
结构式:
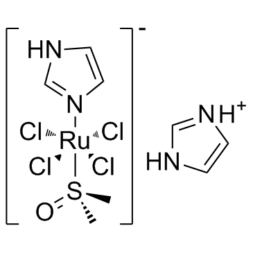
名称:NAMI-A
货号:M01548
规格:1mL(10mM)|1mg|5mg|10mg|50mg|100mg
NAMI-A是一个能够有选择活性的阻碍肿瘤转移,抑制粘附和迁移。
注:本品仅可用于科研实验,严禁用于临床医疗及其他用途!
CAS号:201653-76-1
纯度:98.0%
分子式:C₅H₁₀Cl₄N₂ORuS . C₃H₄N₂ . H
分子量:458.18
结构式:
储存条件:-20℃,有效期2年,溶入溶剂后-20℃请尽量在一个月内使用。
名称:Hygromycin B
货号:M03482
规格:1mL(10mM)|200mg|500mg|1g|5g
Hygromycin B是对原核和真核细胞有活性的氨基糖苷类抗生素。
注:本品仅可用于科研实验,严禁用于临床医疗及其他用途!
CAS号:31282-04-9
别名:Hygrovetine
纯度:98.00%
分子式:C₂₀H₃₇N₃O₁₃
分子量:527.52
结构式:
储存条件:-20℃,有效期2年,溶入溶剂后-20℃请尽量在一个月内使用。
名称:Dithranol
货号:M04876
规格:1mL(10mM)|100mg
Dithranol可高效的作用于银屑病。
注:本品仅可用于科研实验,严禁用于临床医疗及其他用途!
CAS号:1143-38-0
别名:Anthralin
纯度:98.0%
分子式:C₁₄H₁₀O₃
分子量:226.23
结构式:
储存条件:-20℃,有效期2年,溶入溶剂后-20℃请尽量在一个月内使用。
名称:GTFTSDVSKQMEEEAVRLFIEWLKNGGPSSGAPPPS
货号:M05520
规格:1mL(10mM)|1mg|5mg|10mg
GTFTSDVSKQMEEEAVRLFIEWLKNGGPSSGAPPPS是Exendin-4多肽衍生物。
注:本品仅可用于科研实验,严禁用于临床医疗及其他用途!
分子量:3850.31
结构式:
储存条件:-20℃,有效期2年,溶入溶剂后-20℃请尽量在一个月内使用。
名称:Rufinamide
货号:M06646
规格:1mL(10mM)|10mg|100mg
Rufinamide(E2080;CGP33101;RUF331)是新型镇痫化合物,可作为Lennox-Gastaut综合症的辅助治疗。
注:本品仅可用于科研实验,严禁用于临床医疗及其他用途!
CAS号:106308-44-5
别名:CGP 33101;E 2080;RUF 331
分子式:C₁₀H₈F₂N₄O
分子量:238.19
结构式:
储存条件:-20℃,有效期2年,溶入溶剂后-20℃请尽量在一个月内使用。
名称:Levocarnitine propionate
货号:M07534
规格:1mL(10mM)|10mg|50mg|100mg
Levocarnitine propionate盐酸盐用于治疗肾功能恶化,充血性心脏衰竭,间歇性跛行等疾病。
注:本品仅可用于科研实验,严禁用于临床医疗及其他用途!
CAS号:119793-66-7
别名:L-Propionylcarnitine chloride;ST-261
纯度:99.50%
分子式:C₁₀H₂₀ClNO₄
分子量:253.72
结构式:
储存条件:-20℃,有效期2年,溶入溶剂后-20℃请尽量在一个月内使用。
名称:Mirsky固定液
货号:BTN160189
规格:250mL
名称:5%*二醛溶液
货号:BTN160237
规格:250mL
名称:茚三酮乙醇溶液(0.1%)
货号:GL0991
规格:100ml
用途:
用于茚三酮反应或实验,定性蛋白质
注意事项:
蛋白质与茚三酮反应,产生蓝紫色的还原茚三酮。
储存条件:室温,避光,6个月
名称:组织细胞固定液(1%多聚*醛溶液)
货号:QN2872
规格:100ml|500ml
1%多聚*醛溶液主要由多聚*醛、磷酸盐、去离子水组成,该固定液适合于绝大多数组织和细胞的固定,是免疫组织化学和培养细胞的固定液之一,它能较好的保护组织和细胞的形态结构以及核酸。
固定的目的在于保存细胞和组织的原有形态结构,固定剂能阻止内源性溶酶体酶对自身组织和细胞的自溶、抑制细菌和霉菌的生长。固定液分为醛类固定液、汞类固定液、醇类固定液、氧化剂类固定液、*味酸盐类固定液等,较为常用的是醛类中的福尔马林、醇类中的乙醇。
使用说明:
组织固定:室温或4℃浸泡固定2~24h,用缓冲液漂洗后即可树脂包埋用于组织切片。
切片固定:室温或4℃固定10min~2h,视切片厚度而定,用缓冲液漂洗后即可用于染色。
细胞固定:室温或4℃固定10~30min,用缓冲液漂洗后即可用于染色。
注意事项:
1.为了您的安全和健康,请穿实验服并戴一次性手套操作。
2.本产品不含防腐剂,不宜室温或4℃长期保存,请勿反复冻融。
储存条件:2~8℃可保存3个月,长期储存可置于-20℃。
风险提示:丁香通仅作为第三方平台,为商家信息发布提供平台空间。用户咨询产品时请注意保护个人信息及财产安全,合理判断,谨慎选购商品,商家和用户对交易行为负责。对于医疗器械类产品,请先查证核实企业经营资质和医疗器械产品注册证情况。
文献和实验相关实验
化,其他已知细胞松弛素 B还可抑制糖的输送,可以考虑细胞松弛素 B与细胞膜间的相互作用。此外还分离出数种具有类似结构和功能的物质,分别命名为细胞松弛素 A、 C、 D、 E、 F。
细胞色素b563 cytochrome b563 亦称细胞色素 b6 。存在于高等植物至藻类的叶绿体中,与类囊体膜结合紧密。含有原正铁血红素,氧化还原 (β带)和 434nm(γ带或 So- ret带)。为发动光合磷酸化的环状电子传递系统的一个成分,可被光化系统Ⅰ所还原和氧化。
位于 A层以下、 C层以上的某种形式受成土因子的影响而形成的独特层次。一般来说, B层较 A层腐殖质含量少,多呈黄棕至红棕色。在湿润气候条件下有粘土、铁、铝等从 A层淋溶下来,在干燥气候条件下则有盐分从下层上升,两者都在 B层淀积,因此该层也称淀积层( illuvial horizon)。
技术资料暂无技术资料 索取技术资料
Neuromedin B
¥380 - 3800










