相关产品推荐更多 >
万千商家帮你免费找货
0 人在求购买到急需产品
- 详细信息
- 文献和实验
- 技术资料
- 供应商:
22102
- 库存:
41085-99-8
- 英文名:
DiO,DiI DiD,DiS或DiR
- 规格:
100mg
DiA,DiI,DiO,DiD和DiR染料是用于标记细胞膜和其他疏水结构的亲脂荧光染料家族。当掺入膜中或与亲脂性生物分子如蛋白质结合时,这些对环境敏感的染料的荧光大大增强,尽管它们在水中是弱荧光的。它们具有高消光系数,极性依赖性荧光和短激发态寿命。一旦应用于细胞,这些染料在细胞质膜内横向扩散,导致整个细胞在其最佳浓度下均匀染色。 DiI(橙色荧光),DiO(绿色荧光),DiD(红色荧光)和DiR(深红色荧光)的独特荧光颜色为活细胞的多色成像和流式细胞分析提供了便利的工具。 DiO和DiI可分别与标准FITC和TRITC过滤器一起使用。其中DiD被633 nm He-Ne激光器激发,并且具有比DiI更长的激发和发射波长,为标记具有显着内在荧光的细胞和组织提供了有价值的替代方案。由于红外光通过细胞和组织的有效传输以及红外范围内的低水平自发荧光,DiR可用于体内成像或示踪。
DiI, DiO, DiD 和 DiR被激发后可以发出不同颜色的荧光,DiO和磷酯双层膜结合后的激发光谱和发射光谱参考下图。

DiO、DiI、DiD、DiR细胞膜荧光探针的光谱图
DiO, DiI, DiD 和 DiR几种细胞膜荧光探针的异同:
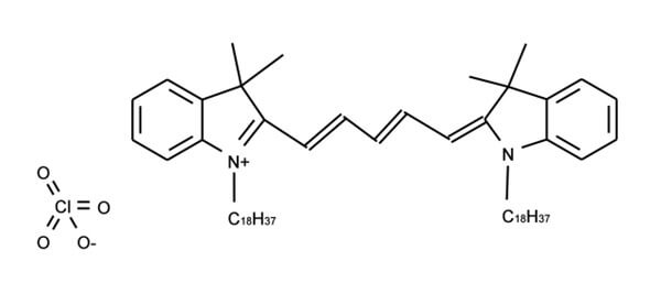
其中I、D、R分别代表了一个,两个,三个双键,它们是决定波长长度的关键,DiO, DiI, DiD 和 DiR这几款细胞膜荧光探针的结构式如下:
![]() |
![]() |
| DiO高氯酸盐结构式 | Dil高氯酸盐结构式 |
![]() |
![]() |
| DiD高氯酸盐结构式 | DiR碘化物结构式 |
DiO, DiI, DiD 和 DiR几种细胞膜荧光探针的异同:
| 名称 | 荧光颜色 | 应用 | 货号 |
| DiO(DiOC18(3)) | 绿色荧光 | ? DiO被广泛用于正向或逆向的,活的或固定的神经等细胞或组织的示踪剂或长期示踪剂,通常不会明显影响细胞的生存力,对于细胞膜染色的荧光强度通常要低于DiI,有时对于某些经过固定的组织的染色效果欠佳。? 还可以用于检测细胞的融合和粘附,检测发育或移植过程中细胞迁移。 | 22066 |
| DiI (DiIC18(3)) | 橙色荧光 | ? DiI被广泛用于正向或逆向的,活的或固定的神经等细胞或组织的示踪剂或长期示踪剂,通常不会影响细胞的生存力。? DiI除了最简单的细胞膜荧光标记外,还可以用于检测细胞的融合和粘附,检测发育或移植过程中细胞迁移,通过FRAP检测脂在细胞膜上的扩散,检测细胞毒性和标记脂蛋白等。 | 22102 |
| DiD (DiIC18(5)) | 红色荧光 | ? DID染料的染色效率高,均一,不易猝灭,无明显细胞毒性,且受自身荧光背景干扰小。? 目前DID已成功应用于多种细胞的体内示踪研究,如Treg细胞、间充质干细胞、肿瘤细 胞、造血干祖细胞等。 | 22033 |
| DiR (DiIC18(7)) | 深红色荧光 | ? DiR的红外荧光可以穿透细胞和组织,在活体成像中用来示踪。常用于标记细胞质膜。两个18-碳链插入到细胞膜,从而特定的、稳定的细胞染色,几乎不会发生细胞间的染料转移。可以用乙醇配置其储存液。? DiR 染色后可进行多聚甲quan(不可使用甲醇等其他试剂)的固定,但不建议在染色后进行透化的过程。 | 22070 |
细胞膜荧光探针产品优点:
1. 应用广泛:主要作用是标记细胞膜,用于活的或固定的神经元等细胞或组织的长期示踪剂,同时还可以标记其他疏水结构,例如外泌体
2. 不会影响细胞的生存力
3. 体外培养的条件下可以存活很长时间
4. 在经过固定的神经元细胞膜上的迁移速率为 0.2-0.6mm/day
5. 在活的神经元细胞膜上的的迁移速率为 6mm/day
关于细胞膜荧光探针的使用技巧:
1.DiI 可以溶解于无水乙醇、DMSO 和 DMF,溶解度约为 1-2.5mg/ml,发现较难溶解时可以适当用超声处理以促进溶解。
2.用于细胞膜荧光标记时,DiI 的常用浓度为 1-25μM,最常用的浓度为 5-10 μM。
3. DiI 可以直接染色活的细胞或组织,染色时间通常为 5-20 分钟。
4. 染固定的细胞时,通常使用 4%多ju甲醛进行固定,使用其它不适当的固定液会导致荧光背景较高。
Di家族细胞膜荧光探针选择小tips:
DiI, DiO, DiD 和 DiR均可染色活细胞或固定细胞及组织(请您根据您的需求选择相应的探针),DiI比DiO荧光更亮;DiD,DiR(D12731)波长更长,更适合组织染色;
DiR应用实列赏析:
![]() |
![]() |
![]() |
![]() |
![]() |
![]() |
风险提示:丁香通仅作为第三方平台,为商家信息发布提供平台空间。用户咨询产品时请注意保护个人信息及财产安全,合理判断,谨慎选购商品,商家和用户对交易行为负责。对于医疗器械类产品,请先查证核实企业经营资质和医疗器械产品注册证情况。
文献和实验,也可使流动性加大。 生物膜适宜的流动性是体现生物膜正常功能的必要条件,在一定范围内,膜流动性增加,有利于膜中酶分子的扩散和旋转运动,使酶活性增加。一些载体蛋白分子的运动性也取决于膜中脂类分子的流动性。研究发现肿瘤对化疗药物产生的耐药性主要与细胞膜P糖蛋白过度表达谷胱甘肽及其相关酶系活性改变有关,也有许多研究表明耐药细胞膜流动性较亲代敏感细胞明显增加。另有实验研究发现腹水癌细胞的恶性程度随着膜流动性的增加而增加,白血病及转移的肿瘤细胞的膜流动性远远高于非转移细胞。因此,对敏感及耐药的肿瘤细胞膜
相关专题 细胞荧光探针北欧广泛应用于测定细胞总量、干细胞体外实验、追踪活细胞行踪,细胞荧光探针有许多种,由于篇幅原因这就主要介绍以下三种:细胞增殖示踪荧光探针CFDA SE、活细胞荧光示踪探针VFSE 450、DiI(细胞膜 红色荧光探针)。 细胞增殖示踪荧光探针 CFDA SE CFDA SE的全称为Carboxyfluorescein diacetate, succinimidyl ester,是一种
主要分为两大类,第一类是 PKH67(绿色荧光)/PKH26(红色荧光),由于它们可以与外泌体的脂质双层膜稳定结合,所以染色效果较好,应用较广泛。 图1 PKH67 标记的外泌体与神经元之间相互作用 Acta Neuropathol Commun. 2018 Feb 15;6(1):10. 图2 PKH26 标记的外泌体与 MDA‐MB‐231 细胞共培养 Cancer Sci. 2019 Oct;110(10):3173-3182. 第二类是 Di 系列的亲脂性染料,包括DiI(橙色荧
技术资料暂无技术资料 索取技术资料




















