相关产品推荐更多 >
万千商家帮你免费找货
0 人在求购买到急需产品
- 详细信息
- 技术资料
- 库存:
634
- 英文名:
NKP-1339
- CAS号:
197723-00-5
- 保质期:
2年
- 供应商:
北京百奥莱博科技有限公司
- 保存条件:
-20℃,有效期2年,溶入溶剂后-20℃
特别声明:本产品及我公司所售其他产品均为科研类试剂产品,严禁用于药物、医疗及其他非科研用途。
百奥莱博专业生产供应NKP-1339品牌,我公司销*(代"售")高质量、高纯度的生化试剂,同时价格极具竞争力,满心期待您的咨询订购。
名称:NKP-1339品牌
编号:M01328
规格:1mL(10mM)|5mg|10mg|50mg|100mg
英文名:NKP-1339
品牌:百奥莱博
产地:北京
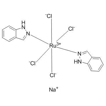
NKP-1339(IT-139)是一种钌-抗癌化合物复合体,靶点为转铁蛋白(transferrin)。
注:本品仅可用于科研实验,严禁用于临床医疗及其他用途!
CAS号:197723-00-5
别名:IT-139;KP-1339
纯度:98.32%
分子式:C₁₄H₁₂Cl₄N₄NaRu
分子量:502.14
结构式:

储存条件:-20℃,有效期2年,溶入溶剂后-20℃请尽量在一个月内使用。
除NKP-1339品牌外,我公司正在打折促销以下产品:
GL0222 STM溶液(pH7.4) 0.25M|2M 100ml
GL0675 苏木素无水乙醇溶液 5%|10% 100ml
SNM461 蛋白电泳预制胶(10-20%,10孔/15孔) Protein electrophoresis precast gels
GL1615 Tris-EDTA缓冲液(1×TE,pH7.4) 500ml
GL0491 酸性磷酸酶染色液(偶氮偶联法) 4×2ml|4×10ml|4×20ml
GL0947 结晶紫饱和甲醇溶液 100ml
SK070 谷*酸合成酶检测试剂盒 GOGAT Test Kit
GL1877 白蛋白检测试剂盒(*甲*(代"酚")紫比色法) 100T
GL0777 脂褐素染色液(醛品红法) 3×50ml
GL1205 STET裂解液(pH8.0) 100ml
GL0011 硫*(代"酸")卡那霉素溶液(10mg/ml) Kanamycin 10mg/ml 10ml
GL2110 过氧化*酶(CAT)检测试剂盒(钼酸铵比色法) 50T|100T
SNM319 谷丙转*酶测试盒(赖氏法) Alanine aminotransferase Assay Kit
GL1453 焦亚硫*(代"酸")*溶液 100× 10ml
GL0297 改良Krebs-Henseleit溶液(不含*) 500ml
SNM203 总超氧化物歧化酶测定试剂盒(WST-1法) Superoxide Dismutase (SOD) assay kit (WST-1 method)
SNM520 DNA ladder 1000 DNA ladder 1000
GL1706 *化*溶液(1mol/L) 500ml
GL0587 多聚甲醛-戊二醛混合固定液(4%/1%) 500ml
SNM404 1.5 M×Tris Buffer缓冲液(pH8.8) 1.5 M × Tris Buffer buffer
NKP-1339品牌关键词:NKP-1339,IT-139
GL0868 乙型肝炎病毒染色液(Shikata地衣红法) 3×50ml
GL1269 Kodak D-19显影粉剂 1L
GL0101 Spinner盐溶液(无酚红) 1×|10× 500ml
SNM061 糜蛋白酶测定试剂盒 Chymotrypsin assay kit
GL1137 ELISA包被缓冲液(1×) 100ml|500ml
GL1522 Tween20/TBS溶液(20×TBST,pH7.4) 500ml
GL0381 支原体染色液(Dienes染色液) 50ml|100ml
SNM262 C反应蛋白测定试剂盒(胶乳增强免疫比浊法) C -reactive protein Assay Kit
GL1377 Tricine-SDS-PAGE凝胶配制试剂盒 30T
GL1790 甲醛缓冲吸收液 100× 100ml|500ml
GL0681 曙红染色液(水溶) 5% 100ml
SNM463 蛋白电泳预制胶(4-20%,10孔/15孔) Protein electrophoresis precast gels
SK191 血*浓度检测试剂盒 Kit for detecting serum calcium concentration
GL2012 维生素C检测试剂盒(磷钼酸微板法) 100T
GL0950 噻嗪红染色液(0.2%) 100ml
SK073 NO含量检测试剂盒 NO assay kit
GL0182 RPMI 1640 Medium(含双抗) 500ml
SNM120 己糖激酶测定试剂盒(测组织、血清)(紫外比色法) Hexokinase assay kit
GL1208 λ稀释缓冲液(pH8.0) 100ml
GL0014 *霉素溶液(34mg/ml) Chloramphenicol 34mg/ml 10ml
GL0455 Bouin"s脱*液 500ml
SNM322 *测试盒(带标准)比色法(半自动生化仪) Calcium Assay Kit
NKP-1339品牌关键词:NKP-1339,IT-139
GL0749 *甲*(代"酚")紫-*百里酚蓝指示剂 100ml
SNM523 DNA损伤试剂盒(彗星电泳法) DNA damage Assay kit
GL1709 *化*乙醇溶液(1mol/L) 500ml
GL2083 α-羟丁酸脱*酶(α-HBD)检测试剂盒(速率比色法) 50T
GL1030 内源性亲和素封闭液 100ml
SK132 游离胆固醇含量检测试剂盒 Free Cholesterol Test Kit
GL1950 总胆红素(TBIL)检测试剂盒(BOD微板法) 100T
SNM180 苹果酸脱*酶测定试剂盒(测血清)(紫外比色法) Malate Dehydrogenase assay kit
GL1272 SSC缓冲粉剂(20×) 1L|10×1L|500g
GL0106 甲基纤维素溶液(2×,1.8%) 250ml
GL0543 Regaud固定液 500ml
SNM381 Tween-20 Tween-20
GL1525 CAPS转移缓冲液(小于10KD) 500ml
GL0385 白细胞稀释液(计数用) 100ml
GL0834 Gram碘液 100ml
SNM583 苹果酸脱*酶(MDH)(EC1.1.1.37) Malate dehydrogenase
GL1794 EDTA洗液(10%) 500ml
GL0685 碳酸*水溶液(1%) 500ml
GL1110 胰蛋白酶抗原修复液 100ml
SK194 血磷浓度检测试剂盒 Blood phosphorus concentration detection kit
GL2015 维生素C检测试剂盒(铜氧化比色法) 50T
SNM240 Xmol/L盐*(代"酸") Xmol/L hydrochloride
我公司强烈推荐细胞生物学试剂系列产品,热情期待您的咨询选购NKP-1339品牌。
风险提示:丁香通仅作为第三方平台,为商家信息发布提供平台空间。用户咨询产品时请注意保护个人信息及财产安全,合理判断,谨慎选购商品,商家和用户对交易行为负责。对于医疗器械类产品,请先查证核实企业经营资质和医疗器械产品注册证情况。
技术资料暂无技术资料 索取技术资料










