相关产品推荐更多 >
万千商家帮你免费找货
0 人在求购买到急需产品
- 详细信息
- 文献和实验
- 技术资料
- 英文名:
Anti-Ceftiofur monoclonal antibody
- 保存条件:
-20°
抗头孢噻呋单克隆抗体说明书
【中文名称】抗头孢噻呋单克隆抗体
【英文名称】Anti-Ceftiofur monoclonal antibody
【货 号】LD-KSS-1047-2
【来 源】Balb/c 小鼠
【亚 型】IgG
【物理性状】液体,避免反复冻融
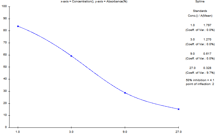
【ELISA 效价】 0.005M PBS 体系下1:400000 以上
【IC50】4-5 ppb
【Elisa 灵敏度】0.5ppb
【胶体金灵敏度】20ppb,完全消线
【蛋白浓度】4.5mg/ml
【缓冲液】0.01M PBS PH7.4
【储存条件】-20℃以下
【有效期】3 年,避免反复冻融
【有效期】5 年,-70℃以下保存
【相关产品】抗氨苄西林单克隆抗体;抗头孢噻呋单克隆抗体;抗头孢喹肟单克隆抗体;抗头孢匹林单克隆抗体;抗头孢氨苄单克隆抗体;抗潮霉素B单克隆抗体;抗杆菌肽单克隆抗体;抗多粘菌素B单克隆抗体;抗氨苄青霉素单克隆抗体;抗环孢菌素A单克隆抗体;抗甲氧氯普胺单克隆抗体;抗甲氧苄啶单克隆抗体;抗多粘菌素E单克隆抗体
风险提示:丁香通仅作为第三方平台,为商家信息发布提供平台空间。用户咨询产品时请注意保护个人信息及财产安全,合理判断,谨慎选购商品,商家和用户对交易行为负责。对于医疗器械类产品,请先查证核实企业经营资质和医疗器械产品注册证情况。
文献和实验密切相关。七十年代,研究人员用凝胶梯度电泳等 生物 化学方法发现了几十种血小板表面膜蛋白,其中一组被称为糖蛋白I(glycoprotein I, GPⅠ)复合物的膜蛋白与血小板“粘附”功能有关。这组复合物又可分为GPⅠb-Ⅸ复合物和GPⅠa-Ⅱa 复合物两类。1979年,笔者赴法进修血液学,有机会通过杂交瘤技术,鉴定出国际上第一个抗血小板膜糖蛋白I的单克隆抗体(AN51)。这株单克隆抗体(以下简称“单抗” ),与正常血小板特异性结合后,血小板就不能通过vW因子“粘附”到破损
网络 抗幽门螺杆菌单克隆抗体的制备和临床应用 Marshall等于1983年首次从胃粘膜组织中分离到幽门螺杆菌(Helicobacter pylori,Hp),并报道和B型胃炎及消化性溃疡密切相关。目前鉴定和诊断Hp感染有许多方法,但受种种因素制约,但结果受到一定影响。目前制备抗Hp单克隆抗体(Hp-mAb)的资料不多,Hp-mAb免疫过氧
到最大残留限量(MRL)标准,但未被广泛使用。目前国内对青霉素残留的检测几乎都是借鉴国外的HPLC方法 [7] ,而使用青霉素单克隆抗体的免疫学方法检测青霉素残留尚未见报道。本研究旨在应用杂交瘤技术建立能稳定分泌抗氨苄青霉素(AMP)单克隆抗体的杂交瘤细胞株,为下一步建立氨苄青霉素快速检测方法奠定基础。 1 材料与方法 1.1 材料 氨苄青霉素(AMP)、牛血清白蛋白(BSA)、弗氏佐剂、PEG溶液、辣根过氧化物酶(HRP)标记的羊抗
技术资料暂无技术资料 索取技术资料










