万千商家帮你免费找货
0 人在求购买到急需产品
- 详细信息
- 文献和实验
- 技术资料
- 库存:
739
- 英文名:
Daunorubicin
- CAS号:
20830-81-3
- 保质期:
长期
- 供应商:
北京百奥莱博科技有限公司
- 保存条件:
置2-8℃
特别声明:本产品及我公司所售其他产品均为科研类试剂产品,严禁用于药物、医疗及其他非科研用途。
北京百奥莱博公司供应包括北京促销柔红霉素标准品价格在内的化学标准品,化学对照品,杂志对照品,HPLC标准品,UV标准品等高品质标准品、对照品
名称:北京促销柔红霉素标准品价格
规格:50mg
产地:国产|进口
品牌:百奥莱博
英文名:Daunorubicin
本品为柔红霉素化学对照品,供HPLC法含量测定用,以C27H29NO10计,每支含柔红霉素为19.6mg,使用前不需干燥处理。整支溶解使用。
CAS号:20830-81-3
分子式:C27H29NO10·HCl
分子量:563.98
结构式:

包装:白色西林瓶
规格:约20mg/支
储存条件:置2-8℃遮光保存。
更多有关北京促销柔红霉素标准品价格的价格及使用说明等,请联*(代"系")我们的业务经理王欣女士咨询,我公司还销*(代"售")以下产品:
·4-差向四环素
编号:BP1588
英文名称:4-Epitetracycline
规格:50mg
本品为4-差向四环素标准品,供盐*(代"酸")四环素品种 HPLC系统适用性用。
使用方法:精密称取本品适量,按相关质量标准的规定,溶解并稀释至所需浓度的溶液,立即使用。
储存条件:置5℃以下低温避光保存。开启安瓿后严密保持干燥,以防吸水。
注意事项:使用前不需干燥处理。
·对二甲*基*甲醛
编号:BP1083
英文名称:P-dimethylaminobenzaldehyde
规格:20mg
本品为对二甲*基*甲醛化学对照品,供内标用,含量以99.4%计。
分子式:C9H11NO
分子量:149.19
包装及装量:棕色瓶。
储存条件:干燥密闭保存。
注意事项:使用前无需处理。
·小牛血去蛋白提取物
编号:BP1838
英文名称:Deproteinized Calf Blood Extractives
规格:2ml/支
本品为小牛血去蛋白提取物化学对照品,供活力测定系统适用性试验用,使用时将总固体含量稀释至40mg/ml。
包装:棕色安瓿
规格:194mg/ml(总固体),2ml/支
储存条件:遮光,2-8℃保存
·*唑西林
编号:BP1635
英文名称:Oxacillin
规格:100mg/支
本品为*唑西林化学对照品,含量以*唑西林C19H18N3NaO5S计,供*唑西林*品种含量测定用。
分子式:C19H18N3NaO5S·H2O
分子量:441.44
结构式:
包装及装量:安瓿;约100mg/支
储存条件:置4℃以下条件低温避光保存。
北京促销柔红霉素标准品价格关键词:20830-81-3,柔红霉素,Daunorubicin
我公司是一家集研发、销*(代"售")、实验室技术服务于一体的高科技企业。 多年来一直处于行业前沿。我们专业经营培养基、生化试剂、柔红霉素、进口ELISA试剂盒、化工产品、实验室消耗品、实验室耗材以及实验室器材。产品涉及分子生物学、细胞生物学、细菌学、遗传学、免疫学、生物化学、蛋白质学、细胞治疗等领域。
·甲基斑蝥胺
编号:BP0365
英文名称:Methylcantharidinimde
规格:50mg
·山姜素
编号:BP1059
英文名称:Alpinetin
规格:约20mg/支
本品为山姜素化学对照品,供鉴别和含量测定用,使用前不需干燥处理。含量以97.5%计。
CAS号:38748-32-2
分子式:C16H14O4
分子量:270.28
结构式:

包装:棕色安瓿瓶
装量:每支约20mg
储存条件:常温保存
·*化可的松琥珀酸*
编号:BP0290
英文名称:Hydrocortisone Sodium Succinate
规格:100mg/支
本品为*化可的松琥珀酸*的化学对照品,按C25H33NaO8计,供HPLC法测定,含量为99.6%。
分子式:C25H33NaO8
分子量:484.52
CAS号:125-04-2
包装及装量:棕色小瓶装,每支约100毫克。
储存条件:遮光,密封保存。
注意事项:本品有引湿性,干燥并放置至室温后应立即称量,对照品溶液需临用新制。105℃干燥3小时后使用。
·异丙托*铵
编号:BP0400
英文名称:Ipratropium Bromide
规格:100mg
本品为*化可的松琥珀酸*的化学对照品,按C25H33NaO8计,供HPLC法测定,含量为99.6%。
分子式:C25H33NaO8
分子量:484.52
CAS号:125-04-2
包装及装量:棕色小瓶装,每支约100毫克。
储存条件:遮光,密封保存。
注意事项:本品有引湿性,干燥并放置至室温后应立即称量,对照品溶液需临用新制。105℃干燥3小时后使用。
·新品红
编号:BP1488
英文名称:New Fuchsin
规格:约20mg/支
本品为新品红化学对照品。
CAS号:3248-91-7
分子式:C22H24N3Cl
分子量:365.9
结构式:

包装及装量:棕色瓶,约20mg/支
储存条件:干燥密闭保存
注意事项:使用前无需处理,本品为新品红、品红I和品红II的混合物,新品红约占71.5%
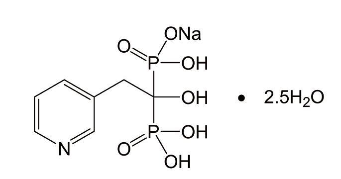
·利塞膦酸*
编号:BP0474
英文名称:Sodium Risedronate
规格:100mg
本品为利塞膦酸*化学对照品,供含量测定用,使用前不需干燥处理,供UV法测定,按C7H10NO7P2Na计,含量为87.6%。
CAS号:115436-72-1
分子式:C7H10NO7P2Na·2.5H2O
分子量:350.14
结构式:

包装及装量:棕色西林瓶,约100mg/支
储存条件:遮光,密封保存
北京促销柔红霉素标准品价格关键词:20830-81-3,柔红霉素,Daunorubicin
我公司是一家生物高新技术企业,主要从事免疫学、分子生物学和常规生化试剂的研发、销*(代"售")。致力于为广大高校、科研院所和企事业单位提供一流的科研试剂和完善的技术服务,满足生物化学、分子生物学 、柔红霉素、细胞生物学、免疫学ELISA试剂盒等生物科技实验需求。我们诚以100%的热情换您100%的满意!
Tris-硼*(代"酸")电泳粉剂(5×TBE) 1L
3-*基异丁酸 Benzenesulfinic acid sodiu*(代"m") salt 144-90-1
25389-94-0 Kanamycin 硫*(代"酸")卡那霉素
司盘85 D-Cycoloserine 26266-58-0
ARB11667 人维生素C(VC)elisa检测操作说明书 Human vitamin c,vc ELISA KIT
ARB11202 人组织蛋白去乙酰化酶(HD)Elisa方法检测 Human Histone deacetylase,hd ELISA KIT
9012-76-4 壳聚糖
N6-*甲酰基腺嘌呤 Ethanethioamide 4005-49-6
2×Taq PCR Mastermix
77-92-9 Citric acid 柠檬酸
ARB10706 人多巴胺脱羧酶(DDC)含量测试 Human dopamine decarboxylase,ddc ELISA KIT
*水溶液 0.1%|0.3%|0.5%|1% 500ml
ARB14246 大鼠受体相互作用丝*酸苏*酸激酶3(RIPK3)含量检测
J0304 兔抗马IgG(H+L)抗血清 1ml/10ml
芴甲氧羰酰基-N-甲基-L-缬*酸 PTA 84000-11-3
F030638 FITC标记山羊人IgM抗体 Polyclonal Goat Anti-Human IgG FC*FITC
PY02-414 MEE肉汤 250克
ARB12389 大鼠肿瘤坏死因子相关凋亡诱导配体3(TRAIL-R3)elisa检测操作说明书 Rat tumor necrosis factor-related apoptosis-inducing ligand 3,trail r3 ELISA KIT
柔红霉素上架一个月之内参与新品促销活动,新老客户订购此产品均可享受会员优惠,若您是我们的诚信会员,还可享受我司的VIP专线服务与优惠,欢迎来电咨询、订购您所需产品。
我公司正在优惠促销标准品对照品等系列产品,期待您的咨询选购北京促销柔红霉素标准品价格。
风险提示:丁香通仅作为第三方平台,为商家信息发布提供平台空间。用户咨询产品时请注意保护个人信息及财产安全,合理判断,谨慎选购商品,商家和用户对交易行为负责。对于医疗器械类产品,请先查证核实企业经营资质和医疗器械产品注册证情况。
文献和实验【求助】克隆100个已知序列的基因于带有绿色荧光蛋白的载体中需要多少时间和经费?
个和12,000个,其中11,000个克隆的表达已经通过Western Blot的验证。这些克隆以2种形式提供:一种是在表达的蛋白C末端带Myc-DDK(即FLAG)标签,一种是带GFP标签。这些cDNA克隆均构建于pCMV6入门载体上,可方便转换至其他目的载体。 按照其网页上的促销价:900RMB/clone × 100 = 9万RMB, 直接买,不用等时间,就可搞定,批量买估计还可以讲价,关键的是品质有保证。 注:非公司托儿,因前段时间帮朋友筹划项目专门研究
至010-80485460或E-mail至 liuyu@genomics.cn。010-80485460或E-mail至liuyu@genomics.cn。培训费用:全程培训(讲座+实验): 3500元/人,学生为 2900元/人。 注:学生报到请带学生证培训费用包含会务费、资料费、餐费。培训期间公司协助安排住宿,费用自理。 三、相关促销政策 参加本届培训班的学员可以享受公司提供的常规技术服务八折优惠。优惠有效时间2013.10.17-2013.12.31 四、汇款信息 账号
北京时间 7 月 12 日,中国科学院深圳先进技术研究院司同课题组与伊利诺伊大学厄巴纳-香槟分校 Jonathan V. Sweedler 教授团队合作,在 FASEB J 国际学术期刊上发表研究论文 Profiling of D-alanine production by the microbial isolates of rat gut microbiota。 文章建立了酶法定性快筛和手性色谱-质谱联用(chiral LC-MS/MS)准确定量的两级分析方法,对 38 株大鼠肠菌产
技术资料暂无技术资料 索取技术资料










