万千商家帮你免费找货
0 人在求购买到急需产品
- 详细信息
- 询价记录
- 文献和实验
- 技术资料
- 库存:
764
- 英文名:
Liquiritin
- CAS号:
551-15-5
- 保质期:
长期
- 供应商:
北京百奥莱博科技有限公司
- 保存条件:
冷处(2-10℃
特别声明:本产品及我公司所售其他产品均为科研类试剂产品,严禁用于药物、医疗及其他非科研用途。
北京百奥莱博公司供应包括北京促销甘草苷标准品价格在内的化学标准品,化学对照品,杂志对照品,HPLC标准品,UV标准品等高品质标准品、对照品
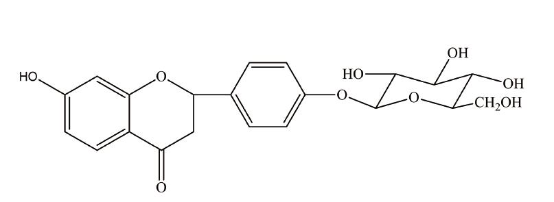
名称:甘草苷
编号:BP1237
产地:国产|进口
英文名:Liquiritin
本品为甘草苷化学对照品,供含量测定用,含量以93.1%计,使用前不需干燥处理。
CAS号:551-15-5
分子式:C21H22O9
分子量:418.39
结构式:

包装:棕色安瓿瓶
规格:约20mg/支
储存条件:冷处(2-10℃)保存
关键词:551-15-5,Liquiritin,甘草苷
想要了解更多关于北京促销甘草苷标准品价格的价格、品牌、厂家、说明书、促销信息,请和我们联*(代"系")。此外我公司还销*(代"售")下面的产品:
| 编号 | 名称 |
| BP1050 | 绿原酸 |
| BP1055 | 大黄素甲醚 |
| BP1218 | L-谷*酸 |
| BP1841 | 甘精胰岛素 |
| BP0159 | 碘化* |
| BP1696 | 2-乙基己酸 |
| BP1972 | 促卵泡生成素(FSH) |
| BP0994 | 碘帕醇杂质A |
| BP1869 | 马尿酸 |
| BP2091 | 可压性蔗糖 |
| BP1065 | 东莨菪内酯 |
| BP0417 | 甲磺酸罗哌卡因 |
| BP0475 | *雷他定 |
| BP0903 | 依达拉奉杂质 |
| BP0693 | 泛硫乙*(代"胺") |
| BP1511 | 牡荆素葡萄糖苷 |
| BP0542 | 塞克硝唑 |
| BP2025 | 甘油 |
| BP0557 | 酒石酸托特罗定 |
| BP1738 | 大观霉素 |
| BP0484 | 泛昔洛韦 |
| BP1684 | 利福喷丁 |
| BP1140 | 银杏内酯C |
| BP1506 | 异荭草苷 |
| BP2076 | 二甲硅油30000 |
| BP2150 | 盐*(代"酸")托烷司琼β-异构体 |
| BP0485 | 替米沙坦 |
| BP1983 | 前列腺特异性抗原 |
| BP0759 | *甲酰化地*雷他定 |
| BP0187 | 富马酸*马斯汀 |
| BP2149 | 盐*(代"酸")特拉唑嗪杂质IV |
| BP1259 | 甲基丁香酚 |
| BP0283 | 卡莫* |
| BP1089 | 柠檬苦素(吴茱萸内酯) |
| BP0869 | *膦酸二* |
风险提示:丁香通仅作为第三方平台,为商家信息发布提供平台空间。用户咨询产品时请注意保护个人信息及财产安全,合理判断,谨慎选购商品,商家和用户对交易行为负责。对于医疗器械类产品,请先查证核实企业经营资质和医疗器械产品注册证情况。
- 作者
- 内容
- 询问日期
文献和实验【求助】克隆100个已知序列的基因于带有绿色荧光蛋白的载体中需要多少时间和经费?
个和12,000个,其中11,000个克隆的表达已经通过Western Blot的验证。这些克隆以2种形式提供:一种是在表达的蛋白C末端带Myc-DDK(即FLAG)标签,一种是带GFP标签。这些cDNA克隆均构建于pCMV6入门载体上,可方便转换至其他目的载体。 按照其网页上的促销价:900RMB/clone × 100 = 9万RMB, 直接买,不用等时间,就可搞定,批量买估计还可以讲价,关键的是品质有保证。 注:非公司托儿,因前段时间帮朋友筹划项目专门研究
至010-80485460或E-mail至 liuyu@genomics.cn。010-80485460或E-mail至liuyu@genomics.cn。培训费用:全程培训(讲座+实验): 3500元/人,学生为 2900元/人。 注:学生报到请带学生证培训费用包含会务费、资料费、餐费。培训期间公司协助安排住宿,费用自理。 三、相关促销政策 参加本届培训班的学员可以享受公司提供的常规技术服务八折优惠。优惠有效时间2013.10.17-2013.12.31 四、汇款信息 账号
北京时间 7 月 12 日,中国科学院深圳先进技术研究院司同课题组与伊利诺伊大学厄巴纳-香槟分校 Jonathan V. Sweedler 教授团队合作,在 FASEB J 国际学术期刊上发表研究论文 Profiling of D-alanine production by the microbial isolates of rat gut microbiota。 文章建立了酶法定性快筛和手性色谱-质谱联用(chiral LC-MS/MS)准确定量的两级分析方法,对 38 株大鼠肠菌产
技术资料暂无技术资料 索取技术资料










