万千商家帮你免费找货
0 人在求购买到急需产品
- 详细信息
- 文献和实验
- 技术资料
- 库存:
337
- 英文名:
Liquidambaric acid
- CAS号:
4481-62-3
- 保质期:
长期
- 供应商:
北京百奥莱博科技有限公司
- 保存条件:
冷处(2-10℃
特别声明:本产品及我公司所售其他产品均为科研类试剂产品,严禁用于药物、医疗及其他非科研用途。
百奥莱博公司致力于为全国科研单位提供药典标准品、对照品、标准溶液、标准样品、对照培养基、国家标准品等可靠标准物质,其中北京促销路路通酸标准品价格的品质过硬,在广大科研人员中有口皆碑!
名称:北京促销路路通酸标准品价格
规格:约20mg/支
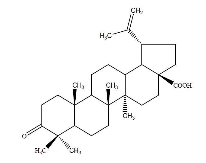
英文名:Liquidambaric acid
品牌:百奥莱博
本品为路路通酸化学对照品,供鉴别和含量测定用,含量以96.8%计,使用前不需干燥处理。
CAS号:4481-62-3
分子式:C30H46O3
分子量:454.68
结构式:

包装:棕色安瓿
规格:约20mg/支
储存条件:冷处(2-10℃)保存
更多有关北京促销路路通酸标准品价格的价格及使用说明等,请联*(代"系")我们的业务经理王欣女士咨询,我公司还销*(代"售")以下产品:
CYB161043 牛IgG(冻干粉)
固红GG盐 Ferrozine mono-sodiu*(代"m") salt 456-27-9
BTN70908 DNA PAGE胶回收试剂盒 PAGE DNABACK
ARB14182 大鼠脂肪酸elisa检测操作说明书
植物蛋白快速提取试剂盒(离心柱法) 50T|100 T
ARB11102 人金属硫蛋白2(MT2)定量分析 Human metallothionein 2,mt2 ELISA KIT
ARB13805 豚鼠转化生长因子β1(TGF-β1)ELISA检测服务 Guinea pig transforming growth factor β1,tgf-β1 ELISA KIT
HC0024 (正方斜口)细胞培养瓶
ARB11693 人硫氧化还原蛋白(Trx)酶免分析 Human thioredoxin,trx ELISA KIT
PY02-162 硫代硫*(代"酸")盐-柠檬酸盐-胆盐-蔗糖琼脂(TCBS) 250克
ARB11070 人轮状病毒抗体(RV-Ab)elisa检测
ARB13466 鸡极低密度脂蛋白(VLDL)含量检测 Chicken very low density lipoprotein,vldl ELISA KIT
北京促销路路通酸标准品价格关键词:Liquidambaric acid,路路通酸,4481-62-3
·地红霉素
编号:BP1663
英文名称:Dirithromycin
规格:100mg
本品为地红霉素化学对照品,供高效液相含量测定用,含量以16R-地红霉素(C42H78N2O14)计。
使用方法:使用前不需要干燥处理。精密称取适量,按质量标准规定的方法,配制至所需浓度的对照品溶液,立即使用。
储存条件:置5℃以下条件低温避光保存。启开安瓿后严密保持干燥,以防吸水。
·*苄西林
编号:BP1596
英文名称:Ampicillin
规格:100mg
本品为*苄西林对照品,供高效液相含量测定用,含量以*苄西林(C16H19N3O4S)计,使用前不需干燥处理。
使用方法:精密称取本品适量,按相关质量标准规定,溶解并稀释至所需浓度的溶液,立即使用。
储存条件:置4℃以下低温避光保存。
·白鲜碱
编号:BP1267
英文名称:Dictamnine
规格:20mg
本品为*苄西林对照品,供高效液相含量测定用,含量以*苄西林(C16H19N3O4S)计,使用前不需干燥处理。
使用方法:精密称取本品适量,按相关质量标准规定,溶解并稀释至所需浓度的溶液,立即使用。
储存条件:置4℃以下低温避光保存。
·月见草油
编号:BP1271
英文名称:Evening Primyrose Oil
规格:0.2ml
本品为*苄西林对照品,供高效液相含量测定用,含量以*苄西林(C16H19N3O4S)计,使用前不需干燥处理。
使用方法:精密称取本品适量,按相关质量标准规定,溶解并稀释至所需浓度的溶液,立即使用。
储存条件:置4℃以下低温避光保存。
·m-甲*(代"酚")-4-磺酸铵(聚甲*(代"酚")磺醛杂质)
编号:BP0739
英文名称:Policresulen Impurity
规格:30mg/支
本品为m-甲*(代"酚")-4-磺酸铵(聚甲*(代"酚")磺醛杂质)化学对照品,供HPLC检查用。供HPLC法测定,按C7H11NO4S计,含量为100%。
分子式:C7H11NO4S
分子量:205.23
包装及装量:棕色瓶,约30mg/支
储存条件:遮光,密封保存
注意事项:使用前不需干燥处理
北京促销路路通酸标准品价格关键词:Liquidambaric acid,路路通酸,4481-62-3
我公司依托国内外技术研发人才的优势,公司的销*(代"售")额保持高速增长,企业规模不断扩大,拥有专业的技术研发团队,长期致力于ELISA试剂盒、生物试剂(包括)的研发,为客户提供引物设计与合成、免疫组化、PCR定量服务等一系列实验代测服务。
CBZ-L-色*酸 Pentadecanoic acid 7432-21-5
ARB10084 人CXC趋化因子受体1(CXCR1)酶标法分析 Human cxc-chemokine receptor 1,cxcr1 ELISA KIT
ARB13477 鸡转化生长因子β2(TGF-β2)含量分析 Chicken transforming growth factor β2,tgf-β2 ELISA KIT
细胞核提取试剂盒 50T|100T
F030230 HRP标记兔抗人IgG抗体 Rabbit Anti-Human IgG*HRP
对硝基*(代"*")-N-乙酰-α-D-*基葡萄糖苷 28-Homobrassinolide 10139-02-3
BTN100885 X-Gal干粉 X -Gal Powder
"
辛乙*(代"烯")二醇单正十二烷基酯 dITP,3Na 3055-98-9
ARB12398 大鼠视黄醇结合蛋白(RBP)酶免分析 Rat retinol-binding protein,rbp ELISA KIT
PY02-179 硝酸盐*化*培养基基础(无*化*) 10克
J0203 兔抗人血清白蛋白抗血清 1ml/10ml
路路通酸的不同等级:
除了优级纯、分析纯、化学纯、实验试剂外,目前市场上尚有:基准试剂(PT):专门作为基准物用,可直接配制标准溶液。光谱纯试剂(SP):表示光谱纯净。但由于有机物在光谱上显示不出,所以有时主成分达不到99.9%以上,使用时必须注意,特别是作基准物时,必须进行标定。纯度远高于优级纯的试剂叫做高纯试剂(≥ 99.99%)。
一般化学试剂的品级:一级试剂、二级试剂、三级试剂、四级试剂
国内标准名称:优级纯(保证试剂)、分析纯、化学纯 、实验试剂
国内标签颜色:绿色、红色、蓝色、中黄色
我公司主要从事免疫学、分子生物学和常规生化试剂的研发、销*(代"售")。并代理销*(代"售")R&D、Sigma、Amresco 、Gibco、Pharmacia、HyClone、GIBCO等多个国外知名品牌,致力于为广大高校、科研院所和企事业单位提供一流的科研试剂和完善的技术服务,满足生物化学、分子生物学 、细胞生物学、免疫学等生物科技实验需求。 公司主要产品:试剂盒:路路通酸、ELISA试剂盒、分子生物学试剂、细胞凋亡试剂盒。各种动物血清:NBQQ、HyClone、GIBCO胎牛血清。抗体:进口原装抗体、进口分装抗体、单克隆抗体、多克隆抗体、一抗、二抗。 我们立足于生命科学领域,全力打造高品质生物科技产品链和技术服务链,立志成为生命科学研究领域的问题解决专家。
我公司生产供应销*(代"售")的标准品对照品正全品类优惠促销,十分期待您的咨询选购北京促销路路通酸标准品价格。
风险提示:丁香通仅作为第三方平台,为商家信息发布提供平台空间。用户咨询产品时请注意保护个人信息及财产安全,合理判断,谨慎选购商品,商家和用户对交易行为负责。对于医疗器械类产品,请先查证核实企业经营资质和医疗器械产品注册证情况。
文献和实验【求助】克隆100个已知序列的基因于带有绿色荧光蛋白的载体中需要多少时间和经费?
个和12,000个,其中11,000个克隆的表达已经通过Western Blot的验证。这些克隆以2种形式提供:一种是在表达的蛋白C末端带Myc-DDK(即FLAG)标签,一种是带GFP标签。这些cDNA克隆均构建于pCMV6入门载体上,可方便转换至其他目的载体。 按照其网页上的促销价:900RMB/clone × 100 = 9万RMB, 直接买,不用等时间,就可搞定,批量买估计还可以讲价,关键的是品质有保证。 注:非公司托儿,因前段时间帮朋友筹划项目专门研究
至010-80485460或E-mail至 liuyu@genomics.cn。010-80485460或E-mail至liuyu@genomics.cn。培训费用:全程培训(讲座+实验): 3500元/人,学生为 2900元/人。 注:学生报到请带学生证培训费用包含会务费、资料费、餐费。培训期间公司协助安排住宿,费用自理。 三、相关促销政策 参加本届培训班的学员可以享受公司提供的常规技术服务八折优惠。优惠有效时间2013.10.17-2013.12.31 四、汇款信息 账号
北京时间 7 月 12 日,中国科学院深圳先进技术研究院司同课题组与伊利诺伊大学厄巴纳-香槟分校 Jonathan V. Sweedler 教授团队合作,在 FASEB J 国际学术期刊上发表研究论文 Profiling of D-alanine production by the microbial isolates of rat gut microbiota。 文章建立了酶法定性快筛和手性色谱-质谱联用(chiral LC-MS/MS)准确定量的两级分析方法,对 38 株大鼠肠菌产
技术资料暂无技术资料 索取技术资料









