万千商家帮你免费找货
0 人在求购买到急需产品
- 详细信息
- 文献和实验
- 技术资料
- 库存:
410
- 英文名:
Acetyl-11-keto-β-boswellic acid
- CAS号:
631-69-6
- 保质期:
长期
- 供应商:
北京百奥莱博科技有限公司
- 保存条件:
常温
特别声明:本产品及我公司所售其他产品均为科研类试剂产品,严禁用于药物、医疗及其他非科研用途。
北京百奥莱博公司供应包括11-羰基-β-乙酰乳香酸对照品品牌在内的化学标准品,化学对照品,杂志对照品,HPLC标准品,UV标准品等高品质标准品、对照品
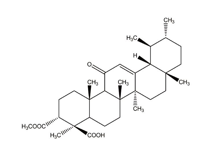
名称:11-羰基-β-乙酰乳香酸对照品品牌
产地:国产|进口
英文名:Acetyl-11-keto-β-boswellic acid
规格:20mg
编号:BP1342
品牌:百奥莱博
本品为11-羰基-β-乙酰乳香酸化学对照品,供含量测定用,含量以99.3%计,置五氧化二磷干燥器中减压干燥12小时后使用。
CAS号:631-69-6
分子式:C32H48O5
分子量:512.7
结构式:

包装:棕色瓶
规格:约20mg/支
储存条件:常温干燥保存
关于11-羰基-β-乙酰乳香酸对照品品牌的更详细说明,请致电我公司咨询,我们将以最饱满的热情为您提供解答,此外,我公司专业供应下列产品:
·甲醚化双环醇(双环醇杂质II)
编号:BP2153
英文名称:Methyetherfied bicyclol
规格:50mg/支
本品为双环醇杂质II(甲醚化双环醇)化学对照品,供HPLC法系统适用性试验用,使用前不需要干燥处理。
分子式:C20H20O9
分子量:404.37
结构式:

包装:棕色西林瓶
规格:50毫克/支
储存条件:遮光,密封保存
·盐*(代"酸")曲美他嗪杂质(六水哌*(代"嗪"))
编号:BP0976
英文名称:Trimetazidine Hydrochloride Impurity(Piperazin*(代"e") Hexahydrate)
规格:50mg/支
本品为双环醇杂质II(甲醚化双环醇)化学对照品,供HPLC法系统适用性试验用,使用前不需要干燥处理。
分子式:C20H20O9
分子量:404.37
结构式:

包装:棕色西林瓶
规格:50毫克/支
储存条件:遮光,密封保存
·盐*(代"酸")哌唑嗪
编号:BP0132
英文名称:Prazosin Hydrochloride
规格:100mg
本品为盐*(代"酸")哌唑嗪的化学对照品,供含量测定用。105℃干燥 2小时后使用。按C19H21N5O4·HCl计,供HPLC法测定,含量为99.9%;供UV法测定,含量为100.0%。
分子式:C19H21N5O4·HCl
分子量:419.87
CAS号:19237-84-4
包装及装量:棕色西林瓶装,每支约100毫克。
储存条件:避光,密封保存。
·苄*噻嗪
编号:BP0007
英文名称:Bendrofluazide
规格:100mg
本品为盐*(代"酸")哌唑嗪的化学对照品,供含量测定用。105℃干燥 2小时后使用。按C19H21N5O4·HCl计,供HPLC法测定,含量为99.9%;供UV法测定,含量为100.0%。
分子式:C19H21N5O4·HCl
分子量:419.87
CAS号:19237-84-4
包装及装量:棕色西林瓶装,每支约100毫克。
储存条件:避光,密封保存。
·吲哚美辛杂质I(2-甲基-5-甲氧基-1H-吲哚-3-乙酸)
编号:BP0962
英文名称:Indometacin Impurity I (2-(5-Methoxy-2-1H-indol-3-yl)acetic acid)
规格:50毫克/支
本品为吲哚美辛杂质I(2-甲基-5-甲氧基-1H-吲哚-3-乙酸)化学对照品,供检查用。室温减压干燥24小时后使用,供HPLC法测定,按C12H13NO3计,含量为100%。
CAS号:2882-15-7
分子式:C12H13NO3
分子量:219.24
包装:安瓿瓶
规格:约50毫克/支
储存条件:遮光,密闭,2~8℃保存。
11-羰基-β-乙酰乳香酸对照品品牌关键词:631-69-6,11-羰基-β-乙酰乳香酸,Acetyl-11-keto-β-boswellic acid
·芥酸甲酯
编号:BP2009
规格:1ml
本品为芥酸甲酯化学对照品,供山嵛酸甘油酯品种检查用,浓度约10mg/ml的正己烷溶液。
CAS号:1120-34-9
分子式:C23H44O2
分子量:352.59
包装及装量:棕色安瓿装,本品溶剂为正己烷,每支约1毫升
储存条件:避光,于-20℃保存。
注意事项:使用前不需干燥处理。
·五味子甲素
编号:BP1061
英文名称:Deoxyschizandrin
规格:20mg/支
本品为五味子甲素化学对照品,供薄层鉴别及含量测定用,使用前不需干燥处理,含量以99.3%计。
CAS号:61281-38-7
分子式:C24H32O6
分子量:416.50
结构式:

包装:棕色安瓿瓶
装量:约20mg/支
储存条件:冷处(2-10℃)保存
·*雷他定
编号:BP0475
英文名称:Loratadine
规格:100mg
本品为*雷他定化学对照品,供含量测定用,按C22H23ClN2O2计,含量为100.0%,使用前不需干燥处理。
CAS号:79794-75-5
分子式:C22H23ClN2O2
分子量:382.89
结构式:

包装及装量:棕色西林瓶装,约100mg/支
储存条件:遮光,密封保存。
·地塞米松磷酸*杂质I
编号:BP2130
英文名称:Dexamethasone Sodium Phosphate Impurity I
规格:5mg/瓶
本品为地塞米松磷酸*杂质I化学对照品,供HPLC法有关物质检查用,以C22H30FNa2O11PS计,含量为87.5%,使用前不需干燥处理,仅供有关物质检查项下系统适用性试验杂质定位用。
分子式:C22H30FNa2O11PS
分子量:598.48
结构式:

包装:棕色西林瓶
规格:约5毫克/支
储存条件:-20℃,密闭保存
11-羰基-β-乙酰乳香酸对照品品牌关键词:631-69-6,11-羰基-β-乙酰乳香酸,Acetyl-11-keto-β-boswellic acid
本公司免费技术支持,由专业的技术人员和销*(代"售")人员为科研用户提供全面的技术支持和完善的售前、售中、售后服务。百奥莱博暑期大促,凡够买我司各种生物试剂、抗体、ELISA试剂盒、抗原、血清、血浆、11-羰基-β-乙酰乳香酸、脱纤维血、抗凝血、裂解血、分子生物学试剂、培养基等优质试剂,均可享受超低会员价,各种高品质科研试剂及各种规格包装均可定制,如有需要请联*(代"系")我们。
·生长激素(GH)
编号:BP1971
规格:3支/套,0.5ml/支
本品为生长激素质控血清(GH质控血清),供免疫测定用。
使用说明书
1、生长激素(GH)质控血清免疫测定用(批号:1807-0503)
是以GH纯品为原料加入至新鲜正常人混合血清制备而成。
2、本套质控血清为冻干品,3支/套,0.5ml/支。
3、使用时应用0.5ml去离子水将内容物完全溶解,充分混合后
使用。
4、质控血清I理论值为2.5ng/ml;质控血清Ⅱ理论值为11.5
ng/ml;质控血清Ⅲ理论值为40ng/ml。由于免疫分析体系不同,各
公
·硫必利杂质A(2-甲氧基-5-甲磺酰基*甲*(代"酸"))
编号:BP0360
英文名称:Tiapride Impurity A 【2-methoxy-5-(methylsulphonyl)benzoic acid】
规格:50mg
本品为硫必利杂质A,化学名称为2-甲氧基-5-甲磺酰基*甲*(代"酸"),供检查用。
分子式:C9H10O5S
分子量:230.24
包装及装量:棕色小瓶装,每支约50毫克。
储存条件:遮光、密闭保存。
注意事项:使用前不需干燥处理。
·去羟肌苷
编号:BP1842
英文名称:Didanosine
规格:100mg
本品为去羟肌苷化学对照品,供去羟肌苷含量测定用,含量为99.4%,使用前不需干燥。
分子式:C10H12N4O3
分子量:236.23
包装:棕色小瓶
规格:每瓶约100mg
储存条件:避光,阴凉干燥处保存。
11-羰基-β-乙酰乳香酸等科研试剂品质优良,受到广大科研工作者的一致肯定和赞许。质量品牌保证,价格公正,倾力为国内国外生命科学研究人员提供一流的产品。欢迎来电咨询!
我公司所售科研每月均有新品促销,您可对我公司网站时刻进行关注,在促销期间购买您所需产品,价格更优惠。11-羰基-β-乙酰乳香酸质量保证,品质已经得到广大客户的认可,您可放心,且我公司有专门的售后部门对客户进行全线跟踪,全程免费技术指导。欢迎询价详谈!
我公司正在打折促销标准品对照品全系列产品,恭候您的咨询选购11-羰基-β-乙酰乳香酸对照品品牌。
风险提示:丁香通仅作为第三方平台,为商家信息发布提供平台空间。用户咨询产品时请注意保护个人信息及财产安全,合理判断,谨慎选购商品,商家和用户对交易行为负责。对于医疗器械类产品,请先查证核实企业经营资质和医疗器械产品注册证情况。
文献和实验酸、乙酰熊果酸α,β[3]等,其中三萜酸类,特别是乌索酸和齐墩果酸,具有抗菌、抗肝炎、抗肿瘤、降血糖血脂、增强免疫功能等多种药理作用,已引起人们广泛的关注[5,6]。为此,我们以毛泡桐叶为原料,采用“醇提凝析法”提取分离乌索酸[5,6],并建立 RP-HPLC 测定分析乌索酸含量的方法,为开发利用丰富的毛泡桐药用植物资源提供科学依据。 1 器材与方法 1.1 材料 毛泡桐叶采自江西宜春市宜春学院北校区,经江西省天然药物活性成分研究重点实验室鉴定为紫花毛泡桐P
氢原子和两个相邻α-碳原子组成的一个平面单位。 4,蛋白质二级结构(protein在蛋白质分子中的局布区域内氨基酸残基的有规则的排列。常见的有二级结构有α-螺旋和β-折叠。二级结构是通过骨架上的羰基和酰胺基团之间形成的氢键维持的。 5,蛋白质三级结构(protein tertiary structure):蛋白质分子处于它的天然折叠状态的三维构象。三级结构是在二级结构的基础上进一步盘绕,折叠形成的。三级结构主要是靠氨基酸侧链之间的疏水相互作用,氢键,范德华力和盐键维持的。 6,蛋白质四
在蛋白质分子中的局布区域内氨基酸残基的有规则的排列。常见的有二级结构有α-螺旋和β-折叠。二级结构是通过骨架上的羰基和酰胺基团之间形成的氢键维持的。 5,蛋白质三级结构(protein tertiary structure): 蛋白质分子处于它的天然折叠状态的三维构象。三级结构是在二级结构的基础上进一步盘绕,折叠形成的。三级结构主要是靠氨基酸侧链之间的疏水相互作用,氢键,范德华力和盐键维持的。 6,蛋白质四级结构(protein quaternary structure):多亚基蛋白质的三维
技术资料暂无技术资料 索取技术资料










