相关产品推荐更多 >
万千商家帮你免费找货
0 人在求购买到急需产品
- 详细信息
- 技术资料
- 库存:
大量
- 英文名:
Pulsatilla saponin D
- 保质期:
1-3年
- 供应商:
上海沪震实业有限公司
- 保存条件:
常温或2-8℃保存
- 规格:
20mg
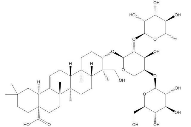
白头翁皂苷D(68027-15-6)
【Product Name】 Pulsatilla saponin D
【CAS Number】 68027-15-6
【中文名称】 白头翁皂苷D
【Chemical Name】 Olean-12-en-28-oic acid, 3-[[O-6-deoxy-α-L-mannopyranosyl-(1→2)-O-[β-D-glucopyranosyl-(1→4 )]-α-L-arabinopyranosyl]oxy]-23-hydroxy-, (3β,4α)-
【Chemical Formula】 C47H76O17
【Molecular Weight】 913.11
【Chemotaxonomic Group】 三萜类 Triterpenoids

相关标准品-对照品列表:
| HZ19074-100g | 灿烂甲酚蓝 | HZHZilliant cHZesyl HZulue | 81029-05-2 | FMP,65% | 100g | 800.00 |
| HZ19074-10g | 灿烂甲酚蓝 | HZHZilliant cHZesyl HZulue | 81029-05-2 | FMP,65% | 10g | 150.00 |
| HZ19074-25g | 灿烂甲酚蓝 | HZHZilliant cHZesyl HZulue | 81029-05-2 | FMP,65% | 25g | 300.00 |
| HZ19075-100g | 亮绿 | HZHZilliant gHZeen | 633-03-4 | HZS,85% | 100g | 400.00 |
| HZ19075-10g | 亮绿 | HZHZilliant gHZeen | 633-03-4 | HZS,85% | 10g | 55.00 |
| HZ19075-25g | 亮绿 | HZHZilliant gHZeen | 633-03-4 | HZS,85% | 25g | 120.00 |
| HZ19075-500g | 亮绿 | HZHZilliant gHZeen | 633-03-4 | HZS,85% | 500g | 1200.00 |
| HZ19076-100g | 亮绿SF(淡黄) | Light gHZeen SF yellowish | 5141-20-8 | 高纯,65% | 100g | 1200.00 |
| HZ19076-10g | 亮绿SF(淡黄) | Light gHZeen SF yellowish | 5141-20-8 | 高纯,65% | 10g | 180.00 |
风险提示:丁香通仅作为第三方平台,为商家信息发布提供平台空间。用户咨询产品时请注意保护个人信息及财产安全,合理判断,谨慎选购商品,商家和用户对交易行为负责。对于医疗器械类产品,请先查证核实企业经营资质和医疗器械产品注册证情况。
技术资料暂无技术资料 索取技术资料
白头翁皂苷D(68027-15-6)
¥3000




](https://img1.dxycdn.com/2018/0523/941/3279338750383413813-14.jpg!wh200)





