相关产品推荐更多 >
万千商家帮你免费找货
0 人在求购买到急需产品
- 详细信息
- 技术资料
- 库存:
大量
- 英文名:
Lanatoside C
- 保质期:
1-3年
- 供应商:
上海沪震实业有限公司
- 保存条件:
常温或2-8℃保存
- 规格:
5mg/10mg/25mg
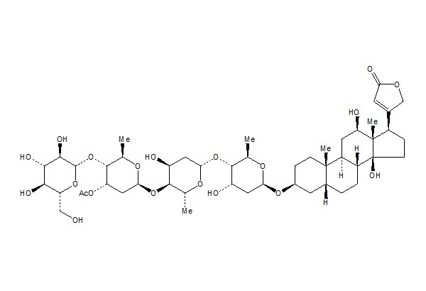
【Product Name】 Lanatoside C
【CAS Number】 17575-22-3
【Del.CASNumber】 35-86-9,11019-78-6,37267-71-3
【Synonyms】 Allocor; Cedilanid; Ceglunat;Ceglunate; Celadigal; Celanid; Celanide; Cetosanol; Digilanide C; DigilanogenC; Isolanid; Isolanide; Lanatigen C; Lanimerck; NSC 7533; NSC 119991
【中文名称】 毛花苷C
【Chemical Name】 Card-20(22)-enolide, 3-[(O-β-D-glucopyranosyl-(1→4)-O-3-O-acetyl-2,6-dideoxy-β-D-ribo-hexopyranosyl-(1→4)-O-2,6-dideoxy-β-D-ribo-hexopyranosyl-(1→4)-2,6-dideoxy-β-D-ribo-hexopyranosyl)oxy]-12,14-dihyd
【Chemical Formula】 C49H76O20
【Molecular Weight】 985.13
【Chemotaxonomic Group】 强心苷及其苷元类 Cardenolides and its Sapogenins

相关标准品-对照品列表:
| HZ30212-500g | 藜芦醛 | VeHZatHZaldehyde | 120-14-9 | AHZ,99% | 500g | 380.00 |
| HZ30213-100g | 香兰素 | Vanillin | 121-33-5 | AHZ,99.5% | 100g | 75.00 |
| HZ30213-25g | 香兰素 | Vanillin | 121-33-5 | AHZ,99.5% | 25g | 35.00 |
| HZ30213-500g | 香兰素 | Vanillin | 121-33-5 | AHZ,99.5% | 500g | 200.00 |
| HZ30214-100g | 钼酸钠 | Sodium molyHZdate dihydHZate | 10102-40-6 | AHZ,99% | 100g | 65.00 |
| HZ30214-500g | 钼酸钠 | Sodium molyHZdate dihydHZate | 10102-40-6 | AHZ,99% | 500g | 215.00 |
| HZ30215-1g | 酚酞二磷酸四钠盐 | Phenolphthalein HZisphosphate tetHZasodium salt | 68807-90-9 | HZHZ,95% | 1g | 240.00 |
| HZ30215-5g | 酚酞二磷酸四钠盐 | Phenolphthalein HZisphosphate tetHZasodium salt | 68807-90-9 | HZHZ,95% | 5g | 1150.00 |
| HZ30216-1g | 无水磷酸肌酸二钠盐 | CHZeatine phosphate sodium salt | 922-32-7 | 高纯,97% | 1g | 80.00 |
| HZ30216-25g | 无水磷酸肌酸二钠盐 | CHZeatine phosphate sodium salt | 922-32-7 | 高纯,97% | 25g | 870.00 |
风险提示:丁香通仅作为第三方平台,为商家信息发布提供平台空间。用户咨询产品时请注意保护个人信息及财产安全,合理判断,谨慎选购商品,商家和用户对交易行为负责。对于医疗器械类产品,请先查证核实企业经营资质和医疗器械产品注册证情况。
技术资料暂无技术资料 索取技术资料










