相关产品推荐更多 >
万千商家帮你免费找货
0 人在求购买到急需产品
- 详细信息
- 文献和实验
- 技术资料
- 库存:
大量
- 英文名:
Rhodojaponin II
- 保质期:
1-3年
- 供应商:
上海沪震实业有限公司
- 保存条件:
常温或2-8℃保存
- 规格:
5mg/20mg
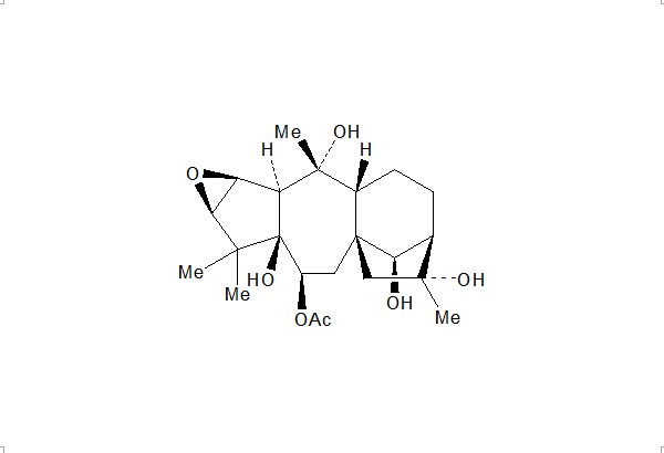
【Product Name】 Rhodojaponin II
【CAS Number】 26116-89-2
【Synonyms】 Rhodojaponin II; Rhodojaponin III 9-acetate
【中文名称】 闹羊花毒素II
【Chemical Name】 Grayanotoxane-5,6,10,14,16-pentol, 2,3-epoxy-, 6-acetate, (2β,3β,6β,14R)- (9CI)
【Chemical Formula】 C22H34O7
【Molecular Weight】 410.51
【Chemotaxonomic Group】 二萜类 Diterpenoids

相关标准品-对照品列表:
| HZ21112-100ml | 二苯胺试剂(1%) | \N | \N | 100ml | 130.00 | |
| HZ21113-100ml | 二苯胺试剂(1.5%) | \N | \N | 100ml | 140.00 | |
| HZ21114-100ml | 甘油溶液(75%,无菌) | \N | \N | 100ml | 70.00 | |
| HZ21115-100T | 溴化乙锭清除液 | \N | \N | 100T | 240.00 | |
| HZ21115-50T | 溴化乙锭清除液 | \N | \N | 50T | 130.00 | |
| HZ21117-50ml | 细菌冻存液 | \N | \N | 50ml | 70.00 | |
| HZ21118-50ml | 即用型细菌冻存液 | \N | \N | 50ml | 90.00 | |
| HZ21119-50ml | pH标准缓冲溶液(pH=4.00) | \N | \N | 50ml | 50.00 | |
| HZ21120-100ml | pH标准缓冲溶液(pH=4.00) | \N | \N | 100ml | 70.00 | |
| HZ21121-100ml | pH标准缓冲溶液(pH=6.86) | \N | \N | 100ml | 70.00 |
风险提示:丁香通仅作为第三方平台,为商家信息发布提供平台空间。用户咨询产品时请注意保护个人信息及财产安全,合理判断,谨慎选购商品,商家和用户对交易行为负责。对于医疗器械类产品,请先查证核实企业经营资质和医疗器械产品注册证情况。
文献和实验和10%胎牛血清时效果好? 如果目的蛋白是一个后期蛋白,它将与蛋白酶一起表达,这些蛋白酶将会作用于目的蛋白。在加有血清的培养基中,这些蛋白酶将作用到血清中的蛋白,从而使目的蛋白产品保持完好。在无血清配方中,蛋白酶作用的唯一底物是你的目的蛋白。为了避免这一问题,加入一些蛋白酶抑制剂或加入少量的血清(少于1%),让血清给蛋白酶提供作用底物。 20、如何检测内毒素(热源)水平? LAL(Limulus Amebocyte Lysate)试验是可用的最敏感和特异的检测细菌内毒素
2, 其它稳定剂和增强剂 三DNA提取相关产品 1.柱式小量质粒DNA抽提纯化试剂盒:MTL001-1 50次 79元 2.DNA胶回收试剂盒: MTL002-1 50次 89元 3.动物DNAout(动物DNA提取试剂盒):3670-10 10 ml 90元 4.植物DNAout(植物DNA提取试剂盒):3672-10 10次 90元 5.血液DNAout(血液DNA提取试剂盒): 3671-10 10 次 90元 6.革氏阴性细菌DNAout提取试剂盒: 3673-10 10 次 90元
【分享】★【生物化学与分子生物学讨论版】★FTP(219.231.165.19:21)资源列表及账号密码更新处
(2 folders, 0 files, 0 bytes, 798.89 MB in total.) │?│?├─Gene7中文版 (2 folders, 1 files, 25.39 MB, 364.78 MB in total.) │?│?│?│?Gene 7中文版-南开大学.rar 25.39 MB │?│?│?├─gene 7翻译 (0 folders, 34 files, 143.37 MB, 143.37 MB in total.) │?│?│?└─genes VII图片——wukun
技术资料暂无技术资料 索取技术资料










