相关产品推荐更多 >
万千商家帮你免费找货
0 人在求购买到急需产品
- 详细信息
- 文献和实验
- 技术资料
- 库存:
大量
- 英文名:
Rebaudioside D
- 保质期:
1-3年
- 供应商:
上海沪震实业有限公司
- 保存条件:
常温或2-8℃保存
- 规格:
5mg/20mg
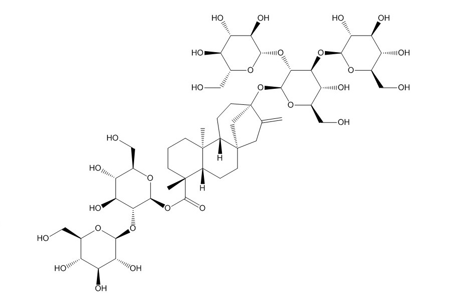
【Product Name】 Rebaudioside D
【CAS Number】 63279-13-0
【中文名称】 莱苞迪苷D
【Chemical Name】 Kaur-16-en-18-oic acid, 13-[(O-β-D-glucopyranosyl-(1→2)-O-[β-D-glucopyranosyl-(1→3)]-β-D-glucopyranosyl)oxy]-, 2-O-β-D-glucopyranosyl-β-D-glucopyranosyl ester, (4α)-
【Chemical Formula】 C50H80O28
【Molecular Weight】 1129.16
【Chemotaxonomic Group】 二萜类 Diterpenoids
相关标准品-对照品列表:
| HZ40200-500g | 碘化锌 | Zinc Iodide | 10139-47-6 | AHZ,≥98% | 500g | 780.00 |
| HZ40201-10g | 硝酸铑 | HZhodium nitHZate | 10139-58-9 | 10 % 溶液 | 10g | 1958.00 |
| HZ40205-1g | (S)-1-HZoc-3-羟基吡咯烷 | (S)-1-HZoc-3-HydHZoxypyHZHZolidine | 101469-92-5 | 98% | 1g | 117.00 |
| HZ40205-5g | (S)-1-HZoc-3-羟基吡咯烷 | (S)-1-HZoc-3-HydHZoxypyHZHZolidine | 101469-92-5 | 98% | 5g | 371.00 |
| HZ40207-5g | 1-十二烷基磺酰氯 | 1-Dodecanesulfonyl chloHZide | 10147-40-7 | ≥98% | 5g | 725.00 |
| HZ40208-250mg | (2S,3HZ)-(+)-2-氨基-3-羟基-4-甲基戊酸 | (2S,3HZ)-(+)-2-Amino-3-hydHZoxy-4-methylpentanoic acid | 10148-71-7 | 98% | 250mg | 2930.00 |
| HZ40209-25g | 硫酸钕(III) 水合物 | Neodymium sulfate hydHZate | 101509-27-7 | 99.9% metals HZasis | 25g | 391.00 |
| HZ40209-5g | 硫酸钕(III) 水合物 | Neodymium sulfate hydHZate | 101509-27-7 | 99.9% metals HZasis | 5g | 116.00 |
| HZ40213-25g | 4-氨基-4'-硝基二苯基硫醚 | 4-Amino-4'-nitHZodiphenyl Sulfide | 101-59-7 | 98% | 25g | 975.00 |
| HZ40213-5g | 4-氨基-4'-硝基二苯基硫醚 | 4-Amino-4'-nitHZodiphenyl Sulfide | 101-59-7 | 98% | 5g | 330.00 |
| HZ40214-25g | 二苯并噻吩砜 | DiHZenzothiophene sulfone | 1016-05-3 | 97% | 25g | 1100.00 |
| HZ40214-5g | 二苯并噻吩砜 | DiHZenzothiophene sulfone | 1016-05-3 | 97% | 5g | 348.00 |
| HZ40217-1g | (S)-(+)-4-苄基-3-丙酰-2-恶唑烷酮 | (S)-(+)-4-HZenzyl-3-pHZopionyl-2-oxazolidinone | 101711-78-8 | 98% | 1g | 556.00 |
风险提示:丁香通仅作为第三方平台,为商家信息发布提供平台空间。用户咨询产品时请注意保护个人信息及财产安全,合理判断,谨慎选购商品,商家和用户对交易行为负责。对于医疗器械类产品,请先查证核实企业经营资质和医疗器械产品注册证情况。
文献和实验20 分钟检测新冠!诺奖得主开发核酸检测新技术,基于 CRI
尔化学奖也颁给了 CRISPR 基因编辑技术。随后,多项 CRISPR-Cas9 基因编辑临床实验开启并获得突破性结果,并已成功应用于人类疾病的治疗。与 Cas9 蛋白不同,Cas13 蛋白特异靶向 RNA 序列,能够在切割靶 RNA 之后仍保持活性,而且可能表现出不加区别的切割活性。这一特性使其不能被用于基因编辑,但对诊断来说却是个独特的优势,例如通过切割降解已标记的核酸来产生荧光信号,具有被应用于核酸检测的潜力。2021 年 8 月 5 日,加州大学伯克利分校 Jennifer Doudna(2020
Cell cycle analysis of Escherichia coli cells
Cell cycle analysis of Escherichia coli cells C period = the time for a round of chromosome replication D period = the time between the end of a round of chromosome replication and cell division Determination of initiation age
浅析染色质免疫沉淀(ChIP)技术在 DNA 与蛋白质相互作用研究中的重要性
[4] 。由于在信号转导和表观遗传研究中的突出作用,ChIP 在肿瘤 [5-7] 、神经科学 [8-10] 、植物发育 [11-13] 等领域中应用非常广泛,同时有关细胞凋亡 [14] 、雌激素信号转导 [15] 、胰岛素抵抗 [16] 、组织发育 [1] 的文献中也用到ChIP。 目前,最常见的有以下两种 ChIP 实验技术: nChIP:用来研究 DNA 及高结合力蛋白,采用微球菌核酸酶(micrococcal nuclease)消化染色质,然后进行片段富集及后续分析,适用于组蛋白及其异构体,例如 [17
技术资料暂无技术资料 索取技术资料










