相关产品推荐更多 >
万千商家帮你免费找货
0 人在求购买到急需产品
- 详细信息
- 文献和实验
- 技术资料
- 库存:
大量
- 英文名:
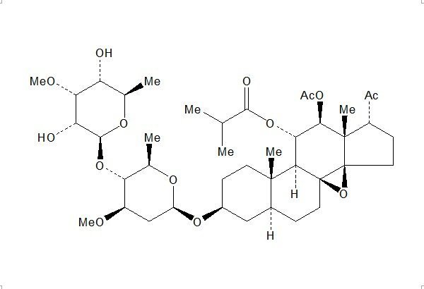
Tenacigenin B, 3-O-β-Allopyranosyl-(1→4)-β-oleandropyranosyl-11-O-isobutyryl-12-O-acetyl-
- 保质期:
1-3年
- 供应商:
上海沪震实业有限公司
- 保存条件:
常温或2-8℃保存
- 规格:
5mg/20mg
【Product Name】 Tenacigenin B, 3-O-β-Allopyranosyl-(1→4)-β-oleandropyranosyl-11-O-isobutyryl-12-O-acetyl-
【CAS Number】 1260252-18-3
【Synonyms】 3-O-β-Allopyranosyl-(1→4)-β-oleandropyranosyl-11-O-isobutyryl-12-O-acetyltenacigenin B
【中文名称】 11-O-异丁酰基-12-O-乙酰基通关藤甘元B-3-O-茯苓二糖基
【Chemical Name】 Pregnan-20-one, 12-(acetyloxy)-3-[[2,6-dideoxy-4-O-(6-deoxy-3-O-methyl-β-D-allopyranosyl)-3-O-methyl-β-D-arabino-hexopyranosyl]oxy]-8,14-epoxy-11-(2-methyl-1-oxopropoxy)-, (3β,5α,11α,12β,14β,17α,)-
【Chemical Formula】 C41H64O14
【Molecular Weight】 780.94
【Chemotaxonomic Group】 其他甾体化合物 Other Steroids

相关标准品-对照品列表:
| HZ20131-500ml | M9基本培养基 | \N | \N | 500ml | 290.00 | |
| HZ20132-1L | SHZ培养基粉剂(SupeHZ HZHZoth) | \N | \N | 1L | 180.00 | |
| HZ20133-500ml | SHZ培养基(SupeHZ HZHZoth) | \N | \N | 500ml | 200.00 | |
| HZ20134-1L | SOHZ培养基粉剂 | \N | \N | 1L | 90.00 | |
| HZ20135-500ml | SOHZ培养基(pH7.0) | \N | \N | 500ml | 170.00 | |
| HZ20136-1L | SOC培养基粉剂 | \N | \N | 1L | 90.00 | |
| HZ20137-500ml | SOC培养基(pH7.0) | \N | \N | 500ml | 200.00 | |
| HZ20138-1L | SHZ固体培养基粉剂(SupeHZ HZHZoth) | \N | \N | 1L | 180.00 | |
| HZ20139-1L | SOHZ固体培养基粉剂 | \N | \N | 1L | 110.00 | |
| HZ20140-1L | SOC固体培养基粉剂 | \N | \N | 1L | 120.00 | |
| HZ20141-1L | THZ固体培养基粉剂(TeHZHZific HZHZoth) | \N | \N | 1L | 110.00 | |
| HZ20142-1L | THZ培养基粉剂(TeHZHZific HZHZoth) | \N | \N | 1L | 80.00 |
风险提示:丁香通仅作为第三方平台,为商家信息发布提供平台空间。用户咨询产品时请注意保护个人信息及财产安全,合理判断,谨慎选购商品,商家和用户对交易行为负责。对于医疗器械类产品,请先查证核实企业经营资质和医疗器械产品注册证情况。
文献和实验,因为其含有两种活性成分—— 燕麦生物碱和葡聚糖。这两种物质有利于保护皮肤,用于抵抗刺激物和帮助晒伤的皮肤再生等。燕麦还可用于造纸和酿造工业,以及用来生产塑料、杀虫剂和防腐剂 [7]。燕麦还可作为伺料、牧草,用于生产绿肥,或作为作物覆盖物。作为作物覆盖物时,燕麦能够延长土壤使用寿命,抑制杂草生长,控制土壤的侵蚀和增加有机成分 [4,8]。以上原因直接导致了对优质燕麦需求的增加。 环境胁迫,如干旱和盐碱,限制了全球农业产量 [9,10]。尤其是盐碱,影响了全球约 1/3 的灌溉农业用地 [11, 12
22 O 11 →C 6 H 12 O 6 淀粉→紫糊精→红糊精→无色糊精→麦芽糖→葡萄糖 (蓝色)(紫糊精)(红色)(无色)(无色)(无色) (二)糖原 糖原是动物体内贮存的一种多糖,双称为动物淀粉,主要存在于肝脏和肌肉中,因此有肝糖原和肌糖原之分。正常情况下,肝脏中糖原的含量达10%-20%,肌肉中的含量达4%。人体约含糖原400g,糖原在体内的贮存有重要意义
戊二醛浸泡消毒15min,使用前用清水冲洗。选 慢性胃炎 和消化性溃疡患者,用19K活检钳在胃窦部距幽门5cm范围内取胃粘膜标本2块,以无菌手续接种在改良Skirrow培养基(含万古霉素10mg/L、多粘素B2500IU/L、TMP5mg/L)。培养基放在10%CO 2 、5%O 2 和85%N 2 条件下,37℃培养72h。226例均作了Hp培养。Hp菌落为半透明、灰色、湿润、稍隆起圆形。菌体革兰染色阴性,呈弯曲,“S
技术资料暂无技术资料 索取技术资料










