相关产品推荐更多 >
万千商家帮你免费找货
0 人在求购买到急需产品
- 详细信息
- 文献和实验
- 技术资料
- 库存:
大量
- 英文名:
3-O-Acetyl-16α-hydroxydehydrotrametenolic acid
- 保质期:
1-3年
- 供应商:
上海沪震实业有限公司
- 保存条件:
常温或2-8℃保存
- 规格:
5mg/10mg/25mg
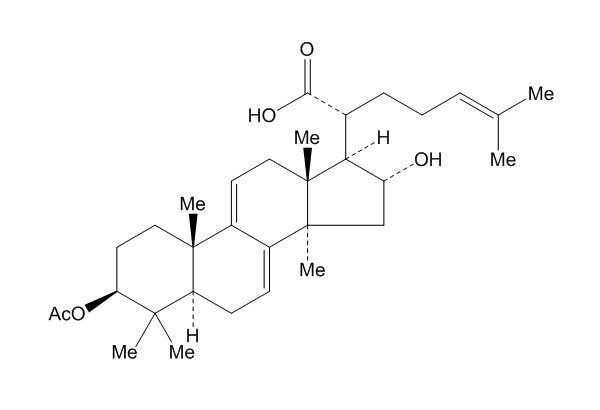
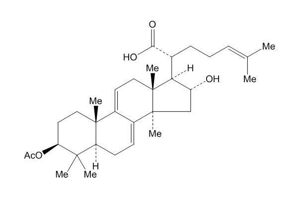
【Product Name】 3-O-Acetyl-16α-hydroxydehydrotrametenolic acid
【CAS Number】 168293-14-9
【Synonyms】 3-O-Acetyl-16α-hydroxydehydrotrametenolicacid; 3-O-Acetyl-16α-hydroxy-7,11-didehydrotrametenolicacid
【中文名称】 3-O-乙酰基-16α-羟基松苓新酸
【Chemical Name】 Lanosta-7,9(11),24-trien-21-oicacid, 3-(acetyloxy)-16-hydroxy-, (3β,16α)-
【Chemical Formula】 C32H48O5
【Molecular Weight】 512.73
【Chemotaxonomic Group】 三萜类 Triterpenoids

相关标准品-对照品列表:
| HZ25066-20mg | 乌头 | Aconitine | 302-27-2 | HPLC≥98% | 20mg | 360.00 |
| HZ25067-20mg | 新乌头 | Mesaconitine | 2752-64-9 | HPLC≥98% | 20mg | 700.00 |
| HZ25068-20mg | 次乌头 | Hypaconitine | 6900-87-4 | HPLC≥98% | 20mg | 700.00 |
| HZ25069-5mg | 印乌头 | Indaconitine | 4491-19-4 | HPLC≥98% | 5mg | 1000.00 |
| HZ25070-20mg | 滇乌头 | Yunaconitine | 70578-24-4 | HPLC≥98% | 20mg | 1100.00 |
| HZ25071-20mg | 苯甲酰乌头原碱 | HZenzoylaconine | 466-24-0 | HPLC≥98% | 20mg | 1200.00 |
| HZ25072-20mg | 苯甲酰新乌头原碱 | HZenzoylmesaconine | 63238-67-5 | HPLC≥98% | 20mg | 1200.00 |
| HZ25073-20mg | 苯甲酰次乌头原碱 | HPLC≥98% | 20mg | 1200.00 | ||
| HZ25074-20mg | 乌头原碱 | Aconine | 509-20-6 | HPLC≥98% | 20mg | 950.00 |
| HZ25075-10mg | 新乌头原碱 | HPLC≥98% | 10mg | 3500.00 | ||
| HZ25076-10mg | 次乌头原碱 | HPLC≥98% | 10mg | 3500.00 | ||
| HZ25077-5mg | 粗茎乌头甲 | CHZassicauline A | 79592-91-9 | HPLC≥98% | 5mg | 3000.00 |
风险提示:丁香通仅作为第三方平台,为商家信息发布提供平台空间。用户咨询产品时请注意保护个人信息及财产安全,合理判断,谨慎选购商品,商家和用户对交易行为负责。对于医疗器械类产品,请先查证核实企业经营资质和医疗器械产品注册证情况。
文献和实验(CH2)3COOH大枫子油酸(2)脂肪的种类 脂肪有两种分类法,一种是根据其化学结构,另一种是根据其来源。脂肪的化学组成是甘油与三分子高级脂肪酸,故又称为甘油三酯,其结构如下CH2─O─CO─R1 │ CH─O─CO─R2 │ CH2─O─CO─R3R1、R2及R3分别代表三分子脂肪酸的羟基,根据它们是否相同将脂肪分成单纯甘油酯和混合甘油酯两类。如果其中三分子脂肪酸是相同的,构成的脂肪称为单纯甘油酯,如三油酸甘油酯。如果是不同的,则称为混合甘油酯,如α-软脂酸-β-油酸-α'-硬脂
kinases activate the serine/threonine kinases M n k l and M n k 2 . EMBO J. 16, 1909-1920. 13. Fujita, H., Fujita, H., Takemura, M., et al. (2003) A n ArabidopsisM A D S - b o x protein, A G L 2 4 , is specifically bound to and phosphorylated
作用 [ 2,3] 。据估计,与不同种类质体结合的蛋白质共计 2000~4000 种。其中约 550 种是含有 α 螺旋的跨膜蛋白或者膜结合蛋白 [4] ,而叶绿体基质则含有多于 1000 种的蛋白质。到目前为止,已经有许多研究对拟南芥类囊体和叶绿体膜蛋白质组进行了详细的探讨 [5~13] 。 本章介绍的叶绿体分离方法主要是基于 David Christopher 博士[14] 以拟南芥为材料所发展出来的一种方法,同时还参考了一些已经发表的从豌豆和菠菜中分离叶绿体的方法 [ 15
技术资料暂无技术资料 索取技术资料










