相关产品推荐更多 >
万千商家帮你免费找货
0 人在求购买到急需产品
- 详细信息
- 文献和实验
- 技术资料
- 库存:
大量
- 英文名:
Ophiogenin 3-O-α-L-rhamnopyranosyl-(1→2)-β-D-glucopyranoside
- 保质期:
1-3年
- 供应商:
上海沪震实业有限公司
- 保存条件:
常温或2-8℃保存
- 规格:
5mg/20mg
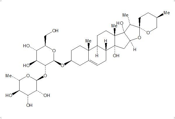
【Product Name】 Ophiogenin 3-O-α-L-rhamnopyranosyl-(1→2)-β-D-glucopyranoside
【CAS Number】 128502-94-3
【Del.CASNumber】 1868133-40-7
【Synonyms】 Ophiopogon Ra; Ophiopogon japonicus saponin 1; Ophiogenin 3-O-neohesperidoside;
【中文名称】 麦冬苷元-3-O-α-L-吡喃鼠李糖基(1→2)-β-D-吡喃葡萄糖苷
【Chemical Name】 4H-1-Benzopyran-4-one, 6-a-L-arabinopyranosyl-8-b-D-glucopyranosyl-5,7-dihydroxy-2-(4-hydroxyphenyl)-
【Chemical Formula】 C39H62O14
【Molecular Weight】 754.91
【Chemotaxonomic Group】 甾体皂苷及其苷元类 Steroid Saponins and its Sapogenins

相关标准品-对照品列表:
| HZ20084-500ml | HEPES缓冲液(10×,含钙镁) | \N | \N | 500ml | 340.00 | |
| HZ20085-500ml | HEPES缓冲液(1×HCMF,无钙镁) | \N | \N | 500ml | 220.00 | |
| HZ20086-500ml | HEPES缓冲液(10×HCMF,无钙镁) | \N | \N | 500ml | 340.00 | |
| HZ20087-500ml | HEPES缓冲液(1×HMF,无镁) | \N | \N | 500ml | 220.00 | |
| HZ20088-500ml | HEPES缓冲液(10×HMF,无镁) | \N | \N | 500ml | 340.00 | |
| HZ20089-10*1L | SpinneHZ盐粉剂(1×,含酚红) | \N | \N | 10*1L | 160.00 | |
| HZ20089-1L | SpinneHZ盐粉剂(1×,含酚红) | \N | \N | 1L | 20.00 | |
| HZ20091-10*1L | SpinneHZ盐粉剂(1×,无酚红) | \N | \N | 10*1L | 140.00 | |
| HZ20091-1L | SpinneHZ盐粉剂(1×,无酚红) | \N | \N | 1L | 20.00 | |
| HZ20093-500ml | SpinneHZ盐溶液(1×,含酚红) | \N | \N | 500ml | 100.00 | |
| HZ20094-500ml | SpinneHZ盐溶液(1×,无酚红) | \N | \N | 500ml | 90.00 | |
| HZ20095-500ml | SpinneHZ盐溶液(10×,含酚红) | \N | \N | 500ml | 220.00 |
风险提示:丁香通仅作为第三方平台,为商家信息发布提供平台空间。用户咨询产品时请注意保护个人信息及财产安全,合理判断,谨慎选购商品,商家和用户对交易行为负责。对于医疗器械类产品,请先查证核实企业经营资质和医疗器械产品注册证情况。
文献和实验α-D-甲基吡喃葡萄糖苷 苷由糖和非糖部分组成。非糖部分称为糖苷配基或苷元。糖和糖苷配基脱水后通过过“氧桥”连接,这种键称为苷键。由于单糖的环式结构有α-和β-两种构型,所以可生成α-和β-两种没构型的苷。天然苷多为β-构型。苷的名称是按其组成成分而命名的,并指出苷键和糖的构型。天然苷常按其来源而用俗名。 糖苷结构中已没有半缩醛羟基,在溶液中不能再转变成开链的醛式结构,所以糖工苷无还原性,也没有变旋现象。糖苷在中性或碱性环境中较稳定,但在酸性溶液中或在酶的作用
由三分子单糖以糖苷键连结而组成的化合物之总称。天然存在的三糖,有龙胆属(龙胆)根中的龙胆三糖,广泛分布于甘蔗等的棉子糖,以及松柏类分泌的松三糖和车前属(Plantago)种子中分离出的车前三糖(Planteose)等。其他,作为多糖部分水解产物的有麦芽三糖等,是根据结构进行系统命名的。如:棉子糖命名为O-α-D-半乳糖吡喃基-(1→6)-α-D-葡糖吡喃基-β-D-果糖呋喃苷。这是以苷(-side)作为词尾,最后的单糖还原基参于糖苷键,也就是表示非还原性三糖。
;在环平面上方者称为β型。 几种重要单糖的哈 沃斯式如下: 把具有呋喃环结构 的糖称为呋喃糖。 事实丰,形成吡喃环的各个原子,并不完全在一个平面上,而是以较稳定的椅型构象存在。因此,为了更合理地反映其结构,现在常用构象式来表示。α-D-和β-D-葡萄糖的构象式如下: α-D- 吡喃葡萄糖除C-1上的-OH连在α键上,其它三个碳上的-OH和-CH2OH都连在e键上,而β-D吡喃葡萄糖C
技术资料暂无技术资料 索取技术资料










