相关产品推荐更多 >
万千商家帮你免费找货
0 人在求购买到急需产品
- 详细信息
- 文献和实验
- 技术资料
- 库存:
大量
- 英文名:
Ophiopojaponin C
- 保质期:
1-3年
- 供应商:
上海沪震实业有限公司
- 保存条件:
常温或2-8℃保存
- 规格:
5mg
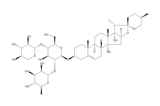
【Product Name】 Ophiopojaponin C
【CAS Number】 911819-08-4
【中文名称】 麦冬皂苷C
【Chemical Name】 β-D-Glucopyranoside, (3β,25R)-14,17-dihydroxyspirost-5-en-3-yl O-6-deoxy-α-L-mannopyranosyl-(1→2)-O-[β-D-xylopyranosyl-(1→4)]-
【Chemical Formula】 C44H70O18
【Molecular Weight】 887.02
【Chemotaxonomic Group】 甾体皂苷及其苷元类 Steroid Saponins and its Sapogenins

相关标准品-对照品列表:
| HZ24039-100ml | 丁香油 | Clove oil | 8000-34-8 | HZHZ,85% | 100ml | 50.00 |
| HZ24040-100ml | 对甲氧基苯甲醛 | Anisic aldehyde | 123-11-5 | 98% | 100ml | 105.00 |
| HZ24041-500ml | 水杨酸甲酯 | HZiHZch-Me | 119-36-8 | CP,98% | 500ml | 50.00 |
| HZ24042-500ml | 月桂氮卓酮 | LauHZocapHZam | 59227-89-3 | AHZ,99% | 500ml | 235.00 |
| HZ24043-250g | 硬脂酸甲酯 | Methyl SteaHZate | 112-61-8 | CP,98% | 250g | 110.00 |
| HZ24044-100g | 邻苯二酚 | 1,2-HZenzenediol | 120-80-9 | CP,98% | 100g | 70.00 |
| HZ24045-500ml | 邻苯二甲酸二甲酯 | Dimethyl phthalate | 131-11-3 | CP,99% | 500ml | 35.00 |
| HZ24046-5g | 硫酸阿托一水物 | 5908-99-6 | HZHZ,98% | 5g | 300.00 | |
| HZ24047-1g | 氯化铷 | HZuHZidium chloHZide | 7791-11-9 | SP,99.5% | 1g | 105.00 |
风险提示:丁香通仅作为第三方平台,为商家信息发布提供平台空间。用户咨询产品时请注意保护个人信息及财产安全,合理判断,谨慎选购商品,商家和用户对交易行为负责。对于医疗器械类产品,请先查证核实企业经营资质和医疗器械产品注册证情况。
文献和实验去抄两个数。分别以8,7除之,余数即指要调入乙组的第几个甲,余此类推。最后各组的鼠数就相等了。调整后各组鼠的编号为: 组别鼠的编号 甲组3 4 5 7 8 12 乙组1 2 6 9 10 11 (二)当分为三组时 例:设有雄性的SD大鼠12只,按体重大小依次编为1,2,3,…,12号,试用完全随机的方法,分为A、B、C三组。 分组方法:假设所定的点是随机数字表第40行17列的08,则从08开始,自左到右抄12个随机
-1&_user=10&_rdoc=1&_fmt=&_orig=search&_sort=d&_docanchor=&view=c&_searchStrId=1043936873&_rerunOrigin=google&_acct=C000050221&_version=1&_urlVersion=0&_userid=10&md5=c02b85af414e0f9ea2042b3757912f85 http://ccsb.dfci.harvard.edu/web/export/sites
- - - - 1× HEPES - - - - 15mM Activin A 100ng/ml 100ng/ml 100ng/ml 100ng/ml - C687 FGF-4 - - - 500ng/ml - CR08 Wnt3a - - - 500ng/ml - C06D/C18K Noggin - - - - 100ng/ml CB89
技术资料暂无技术资料 索取技术资料










