相关产品推荐更多 >
万千商家帮你免费找货
0 人在求购买到急需产品
- 详细信息
- 文献和实验
- 技术资料
- 库存:
240
- 英文名:
(E)-2-Decenoic acid
- CAS号:
334-49-6
- 保质期:
2年
- 供应商:
北京百奥莱博科技有限公司
- 保存条件:
-20℃
特别声明:本产品及我公司所售其他产品均为科研类试剂产品,严禁用于药物、医疗及其他非科研用途。
百奥莱博专业生产供应(E)-2-Decenoic acid厂家价格,我公司销*(代"售")高质量、高纯度的生化试剂,同时价格极具竞争力,满心期待您的咨询订购。
名称:(E)-2-Decenoic acid厂家价格
规格:1mL(10mM)|25mg
品牌:百奥莱博
产地:国产|进口
英文名:(E)-2-Decenoic acid
编号:M02141
(E)-2-decanoic acid(trans-2-Decenoic Acid)是蜂王浆中的一种脂肪酸。
注:本品仅可用于科研实验,严禁用于临床医疗及其他用途!
CAS号:334-49-6
别名:trans-2-Decenoic acid
分子式:C₁₀H₁₈O₂
分子量:170.25
结构式:

储存条件:-20℃,有效期2年,溶入溶剂后-20℃请尽量在一个月内使用。
我公司的(E)-2-Decenoic acid厂家价格,性价比高,货期短,送货上门,欢迎您来电咨询购买,另外,我公司还生产供应销*(代"售")下列产品:
ARB12191 大鼠白细胞活化黏附因子(ALCAM)代做ELISA实验 Rat activated leukocyte cell adhesion molecule,alcam ELISA KIT
L-谷*酸二乙酯盐*(代"酸")盐 4-Nitrobenzoic acid 1118-89-4
PY08-082 胰蛋白胨大豆琼脂平板 9CM 10皿/盒,用于药品中需氧微生物总数测定
107021-38-5 x-α-gal
BTN60604 DEPC水 DEPC-Treated Water
ARB11755 人锚蛋白B(Ank-B)ELISA代测服务 Human ankyrin b,ank-b ELISA KIT
ARB10467 人白三烯C4(LTC4)含量分析 Human leukotriene c4,lt-c4 ELISA KIT
谷*酰胺转移酶 Potassium acetate 80146-85-6
Carnoy固定液 100ml|500ml
ARB11968 大鼠CD8分子(CD8)含量检测 Rat cluster of differentiation 8,cd8 ELISA KIT
亚麻酸 Flavourzyme 463-40-1
2,6-二叔丁基对甲*(代"酚") Aldolase from rabbit muscle 128-37-0
ARB11404 人神经胶质纤维酸性蛋白(GFAP)Elisa定量检测 Human glial fibrillary acidic protein,gfap ELISA KIT
(E)-2-Decenoic acid厂家价格关键词:E,(E)-2-Decenoic acid,trans-2-Decenoic acid,334-49-6
·TRPV4拮抗剂(GSK2193874)
编号:M02944
英文名称:GSK2193874
规格:1mL(10mM)|2mg|5mg|10mg|25mg|50mg|100mg
GSK2193874是具有的有效的选择性TRPV4拮抗剂,作用于rTRPV4和hTRPV4,IC50分别为2nM和40nM。
注:本品仅可用于科研实验,严禁用于临床医疗及其他用途!
CAS号:1336960-13-4
纯度:98.91%
分子式:C₃₇H₃₈BrF₃N₄O
分子量:691.62
结构式:

储存条件:-20℃,有效期2年,溶入溶剂后-20℃请尽量在一个月内使用。
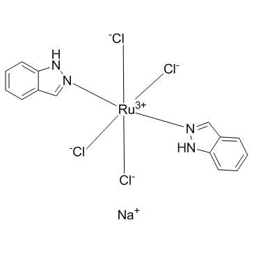
·NKP-1339
编号:M01328
英文名称:NKP-1339
规格:1mL(10mM)|5mg|10mg|50mg|100mg
NKP-1339(IT-139)是一种钌-抗癌化合物复合体,靶点为转铁蛋白(transferrin)。
注:本品仅可用于科研实验,严禁用于临床医疗及其他用途!
CAS号:197723-00-5
别名:IT-139;KP-1339
纯度:98.32%
分子式:C₁₄H₁₂Cl₄N₄NaRu
分子量:502.14
结构式:

储存条件:-20℃,有效期2年,溶入溶剂后-20℃请尽量在一个月内使用。
(E)-2-Decenoic acid厂家价格关键词:E,(E)-2-Decenoic acid,trans-2-Decenoic acid,334-49-6
·AMPA/kainate受体拮抗剂(CNQX)
编号:M06094
英文名称:CNQX
规格:1mL(10mM)|5mg|10mg|25mg|50mg|100mg
CNQX(FG9065)是高效的AMPA/kainate受体拮抗剂。
注:本品仅可用于科研实验,严禁用于临床医疗及其他用途!
CAS号:115066-14-3
别名:FG9065
纯度:98.05%
分子式:C₉H₄N₄O₄
分子量:232.15
结构式:

储存条件:-20℃,有效期2年,溶入溶剂后-20℃请尽量在一个月内使用。
·MITF抑制剂(ML329)
编号:M07206
英文名称:ML329
规格:1mL(10mM)|5mg|10mg|25mg|50mg|100mg
ML329是MITF的小分子抑制剂,抑制TRPM-1启动子活性的IC50值为1.2μM。
注:本品仅可用于科研实验,严禁用于临床医疗及其他用途!
CAS号:19992-50-8
纯度:98.0%
分子式:C₁₆H₁₂N₂O₄S
分子量:328.34
结构式:

储存条件:-20℃,有效期2年,溶入溶剂后-20℃请尽量在一个月内使用。
·mTOR抑制剂(XL388)
编号:M01448
英文名称:XL388
规格:1mL(10mM)|2mg|5mg|10mg|50mg|100mg
XL388是ATP竞争性mTOR选择性抑制剂,IC50为9.9nM,相对于与PI3K相关的激酶有1000倍的选择性。
注:本品仅可用于科研实验,严禁用于临床医疗及其他用途!
CAS号:1251156-08-7
纯度:98.76%
分子式:C₂₃H₂₂FN₃O₄S
分子量:455.5
结构式:

储存条件:-20℃,有效期2年,溶入溶剂后-20℃请尽量在一个月内使用。
北京百莱博科技有限公司专业生产细胞生物学试剂产品,欢迎来电咨询选购(E)-2-Decenoic acid厂家价格。
风险提示:丁香通仅作为第三方平台,为商家信息发布提供平台空间。用户咨询产品时请注意保护个人信息及财产安全,合理判断,谨慎选购商品,商家和用户对交易行为负责。对于医疗器械类产品,请先查证核实企业经营资质和医疗器械产品注册证情况。
文献和实验亚油酸 linol( e) ic acid CH3 ( CH2 ) 4 CH= CHCH2 CH=CH( CH2 ) 7 COOH,脂肪酸的一种。为以甘油酯形态构成的亚麻仁油、棉籽油之类的干性油、半干性油的主要成分。占棉籽油、向日葵种子油、芝麻油的总脂肪酸的 40— 60%,占花生油、橄榄油的总脂肪酸的 25%左右。因为在空气中易氧化变硬,所以也称为干性酸,含干性酸多的油亦称为干性油.
一种二元饱和脂肪酸,亦称为lepargylic acid或 anchoic acid。产生于腐败的油酸等中。维卡迪等( P. E. Verkade et al, 1933)把 C11 饱和脂肪酸的甘油三酯投与狗或人等生物体,从其尿中找到 C11 , C9 (壬二酸)以及 C7 的二元羧酸,所以开始认为 C8 以上的脂肪酸在生物体内首先进行ω氧化。接着反复进行β氧化。 HOOC( CH2 ) 5 COOH
事实,但对把这些于无脊椎动物所观察到的情况普遍推及到脊椎动物方面,而 H. E. Ziegler和 A. W. Goette根据种种研究的结果提出了反证。对于两栖类有尾类的 W. Vogt( 1929)的精密的研究实验,认定体腔说是完全不能成立的。另外把现在有关羊膜类的胚胎学见解使之与体腔说统一起来也几乎是不可能的。
技术资料暂无技术资料 索取技术资料









