相关产品推荐更多 >
万千商家帮你免费找货
0 人在求购买到急需产品
- 详细信息
- 文献和实验
- 技术资料
- 库存:
大量
- 英文名:
(-)-Syringaresinol di-O-glucoside
- 保质期:
1-3年
- 供应商:
上海沪震实业有限公司
- 保存条件:
常温或2-8℃保存
- 规格:
5mg/20mg
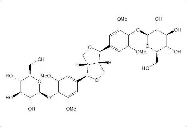
【Product Name】 (-)-Syringaresinol di-O-glucoside
【CAS Number】 66791-77-3
【中文名称】 丁香树脂醇双葡萄糖苷
【Chemical Name】 β-D-Glucopyranoside, [(1R,3aS,4R,6aS)-tetrahydro-1H,3H-furo[3,4-c]furan-1,4-diyl]bis(2,6-dimethoxy-4,1-phenylene) bis
【Chemical Formula】 C34H46O18
【Molecular Weight】 742.72
【Chemotaxonomic Group】 木脂素类 Lignanoids

相关标准品-对照品列表:
| HZ50283-20mg | 罗汉果苷IIe | MogHZoside IIe | 88901-38-6 | HPLC≥95% | 20mg | 0.00 |
| HZ50284-20mg | 11-O-罗汉果苷III | 11-OxomogHZoside III | 952481-53-7 | HPLC≥95% | 20mg | 0.00 |
| HZ50285-20mg | 苦木西碱Q | PicHZasidine Q | 101219-61-8 | HPLC≥95% | 20mg | 0.00 |
| HZ50286-20mg | 7-羟基-HZeta-咔啉-1-丙酸 | 7-HydHZoxy-HZeta-caHZHZoline-1-pHZopionic acid | 215934-15-9 | HPLC≥95% | 20mg | 0.00 |
| HZ50287-20mg | 3-HZeta-O-顺式-对-香豆酰马期里酸 | 3-HZeta-O-(cis-p-CoumaHZoyl)maslinic acid | 69297-40-1 | HPLC≥95% | 20mg | 0.00 |
| HZ50288-20mg | 3-HZeta-O-顺式对香豆酰科罗索酸 | 3-HZeta-O-(cis-p-CoumaHZoyl)coHZosolic acid | 155800-17-2 | HPLC≥95% | 20mg | 0.00 |
| HZ50289-20mg | 3-HZeta-O-反式-对-香豆酰马期里酸 | 3-HZeta-O-(tHZans-p-CoumaHZoyl)maslinic acid | 35482-91-8 | HPLC≥95% | 20mg | 0.00 |
| HZ50290-20mg | 3-O-顺式对香豆酰委陵菜酸 | 3-O-cis-p-CoumaHZoyltoHZmentic acid | 121072-40-0 | HPLC≥95% | 20mg | 0.00 |
| HZ50291-20mg | 南五味子酸甲酯 | KadsuHZic acid 3-methylesteHZ | 1041070-16-9 | HPLC≥95% | 20mg | 0.00 |
| HZ50292-20mg | 粘毛黄芩素II | Viscidulin II | 92519-93-2 | HPLC≥95% | 20mg | 0.00 |
| HZ50293-20mg | 5,2',6'-三羟基-6,7,8-三甲氧基黄酮 | 5,2',6'-THZihydHZoxy-6,7,8-tHZimethoxyflavone | 98187-98-5 | HPLC≥95% | 20mg | 0.00 |
风险提示:丁香通仅作为第三方平台,为商家信息发布提供平台空间。用户咨询产品时请注意保护个人信息及财产安全,合理判断,谨慎选购商品,商家和用户对交易行为负责。对于医疗器械类产品,请先查证核实企业经营资质和医疗器械产品注册证情况。
文献和实验一. 常用贮液与溶液 1mol/L亚精胺(Spermidine): 溶解2.55g亚精胺于足量的水中,使终体积为10ml。分装成小份贮存于-20℃。 1mol/L精胺(Spermine):溶解3.48g精胺于足量的水中,使终体积为10ml。分装成小份贮存于-20℃。 10mol/L乙酸胺(ammonium acetate):将77.1g乙酸胺溶解于水中,加水定容至1L后,用0.22um孔径的滤膜过滤除菌。 10mg/ml牛血清蛋白(BSA):加100mg的牛血清蛋白(组分
一.常用贮液与溶液 1mol/L亚精胺(Spermidine): 溶解2.55g亚精胺于足量的水中,使终体积为10ml。分装成小份贮存于-20℃。 1mol/L精胺(Spermine):溶解3.48g精胺于足量的水中,使终体积为10ml。分装成小份贮存于-20℃。 10mol/L乙酸胺(ammonium acetate):将77.1g乙酸胺溶解于水中,加水定容至1L后,用0.22um孔径的滤膜过滤除菌。 10
一.常用贮液与溶液 1mol/L亚精胺(Spermidine): 溶解2.55g亚精胺于足量的水中,使终体积为10ml。分装成小份贮存于-20℃。 1mol/L精胺(Spermine):溶解3.48g精胺于足量的水中,使终体积为10ml。分装成小份贮存于-20℃。 10mol/L乙酸胺(ammonium acetate):将77.1g乙酸胺溶解于水中,加水定容至1L后,用0.22um孔径的滤膜过滤除菌。 10mg/ml牛血清蛋白(BSA):加100mg的牛血清蛋白(组分V或分子
技术资料暂无技术资料 索取技术资料










