相关产品推荐更多 >
万千商家帮你免费找货
0 人在求购买到急需产品
- 详细信息
- 文献和实验
- 技术资料
- 库存:
大量
- 英文名:
Betulin
- 保质期:
1-3年
- 供应商:
上海沪震实业有限公司
- 保存条件:
常温或2-8℃保存
- 规格:
5mg/20mg
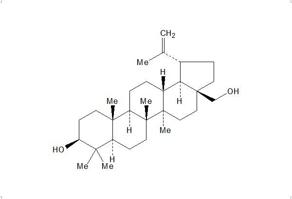
【Product Name】 Betulin
【CAS Number】 473-98-3
【Del.CASNumber】 1406-58-2,1192133-66-6,1417540-43-2
【Synonyms】 Betulin; Betulinol; Betulol; Betulenol; Trochol;Betulinic alcohol
【中文名称】 白桦酯醇
【Chemical Name】 Lup-20(29)-ene-3β,28-diol
【Chemical Formula】 C30H50O2
【Molecular Weight】 442.73
【Chemotaxonomic Group】 三萜类 Triterpenoids

相关标准品-对照品列表:
| HZ22246-100ml | 蔗糖溶液(20%) | \N | \N | \N | 100ml | 40.00 |
| HZ22247-100ml | 蔗糖溶液(40%) | \N | \N | \N | 100ml | 40.00 |
| HZ22248-100ml | 蔗糖溶液(5%) | \N | \N | \N | 100ml | 40.00 |
| HZ22249-100ml | 支原体染色液(Dienes染色液) | \N | \N | \N | 100ml | 300.00 |
| HZ22249-50ml | 支原体染色液(Dienes染色液) | \N | \N | \N | 50ml | 170.00 |
| HZ22250-3×50ml | 脂褐素染色液(醛品红法) | \N | \N | \N | 3×50ml | 410.00 |
| HZ22251-500ml | 中性福尔马林固定液(10%,HZNase fHZee) | \N | \N | \N | 500ml | 130.00 |
| HZ22252-500ml | 中性福尔马林固定液(11%) | \N | \N | \N | 500ml | 60.00 |
| HZ22252-5L | 中性福尔马林固定液(11%) | \N | \N | \N | 5L | 380.00 |
| HZ22253-500ml | 中性福尔马林固定液(12%) | \N | \N | \N | 500ml | 70.00 |
| HZ22253-5L | 中性福尔马林固定液(12%) | \N | \N | \N | 5L | 400.00 |
| HZ22254-500ml | 中性福尔马林固定液(13%) | \N | \N | \N | 500ml | 70.00 |
风险提示:丁香通仅作为第三方平台,为商家信息发布提供平台空间。用户咨询产品时请注意保护个人信息及财产安全,合理判断,谨慎选购商品,商家和用户对交易行为负责。对于医疗器械类产品,请先查证核实企业经营资质和医疗器械产品注册证情况。
文献和实验0.00 tgaagacccttgggaacaac RIGHT PRIMER 1258 20 59.94 50.00 3.00 0.00 tgtccttgaaactgaacccc 3 LEFT PRIMER 1021 20 59.94 50.00 4.00 0.00 gaagacccttgggaacaaca RIGHT PRIMER 1257 20 59.94 50.00 3.00 0.00 gtccttgaaactgaacccca 4 LEFT PRIMER 1020 20 59.94 50
、丙肝、丁肝患者;且前者ALT、TBiL明显高于后者;前者临床 表现为急性黄疸型肝炎,其ALT、TBiL分别为1257U/L,992U/L;5.69 mg/dl,4.72 mg/dl。后者临床表现为慢性肝炎和肝硬化腹水,其ALT、TBiL分别为143U/L,76U/L,286U/L;2.5 mg/dl,1.9 mg/dl,1.7 mg/dl。从我们的结果可以看出,甲肝、戊肝合并HGV感染组与未感染HGV组之间其ALT、TBiL没有显著性差异。甲肝、戊肝合并HGV感染组更多地表现为甲
Analyzing Molecular Interactions
. Nature 437:1173‐1178. Schwikowski, B., Uetz, P., and Fields, S. 2000. A network of protein‐protein interactions in yeast. Nat. Biotechnol. 18:1257‐1261
技术资料暂无技术资料 索取技术资料










